[a / b / c / d / e / f / g / gif / h / hr / k / m / o / p / r / s / t / u / v / vg / vm / vmg / vr / vrpg / vst / w / wg] [i / ic] [r9k / s4s / vip] [cm / hm / lgbt / y] [3 / aco / adv / an / bant / biz / cgl / ck / co / diy / fa / fit / gd / hc / his / int / jp / lit / mlp / mu / n / news / out / po / pol / pw / qst / sci / soc / sp / tg / toy / trv / tv / vp / vt / wsg / wsr / x / xs] [Settings] [Search] [Mobile] [Home]
Board
Settings Mobile Home
/b/ - Random
The stories and information posted here are artistic works of fiction and falsehood.
Only a fool would take anything posted here as fact.

Name
Options
Comment
Verification
4chan Pass users can bypass this verification. [Learn More] [Login]
File
  • Please read the Rules and FAQ before posting.

08/21/20New boards added: /vrpg/, /vmg/, /vst/ and /vm/
05/04/17New trial board added: /bant/ - International/Random
10/04/16New board for 4chan Pass users: /vip/ - Very Important Posts
[Hide] [Show All]


Janitor application acceptance emails are being sent out. Please remember to check your spam box!


[Advertise on 4chan]


File: file.png (47 KB, 416x708)
47 KB
47 KB PNG
The differential form of Gauss’s Law states that the divergence of an electric force field is proportional to the ratio between the total electric charge being considered & the permittivity of free space:
∇ · E = ρ/Ɛo

In terms of the magnetic vector potential:
∇ · (− ∂A/∂t ) = ρ/Ɛo
∂/∂t (∇ · A) = -ρ/Ɛo
∂ϕ/∂t = − β/Ɛo · ρ
[where (A) is the magnetic vector potential, (ϕ) is the electric potential field, (ρ) is charge density, (Ɛo) is the permittivity of free space, & (t) is time]


This first implies that if the gravitational potential in a region varies linearly over time, a corresponding “virtual” charge density (ρ) is induced within that region.
Second, charges themselves generate a continually changing gravitational potential.
Since [∇ · E = 0] for regions containing no charge, [∂ϕ/∂t] is like- wise null in those regions.
In the case of a single electron, a closed region just beside it will have no changing gravitational potential generated by that charge, while a small region which does contain the electron will indeed have one.
This would still hold true if the region were shrunk to the very surface of the electron.

Now lets do something.
Take the volume integral of both sides:

∫ ∂/∂t (∇ · A)dτ = ∫ -ρ/Ɛo · dτ
V V

∂/∂t · Ao(t) = -q/Ɛo
G/β · ∂/∂t · m(t) = q/Ɛo
[where (q) is charge, (m) is mass, & (G) is the gravitational constant]


What then is charge?
It is mass cycling through time.
Positive charges cycle one way, negative the opposite way.
Mass and charge both have concentric equipotential shells, its just that for charges, some fundamental constituent field "cycles" through time.
Thus if you were to place an electron in a “time vacuum” its charge would become mass, and likewise if mass were somehow given "temporal momentum" or something similar, it would become charge.
>>
File: file.png (129 KB, 802x464)
129 KB
129 KB PNG
Image related- onward, relate to deriving the transverse and longitudinal wave equations for the magnetic vector potential.

Both the electric and magnetic wave equations can be derived from this. What we visualize as electric and magnetic field fluctuating into each other while propagating through space as part of an EM wave, may in actuality be a single magnetic vector potential wave. In fact, the primacy of the vector potential demands that it be more “real” than either, with the electric and magnetic components just being derived abstractions. This is important because one of the arguments that there is no ether was made on the basis that magnetic and electric fields can sustain each other while traveling through a vacuum, but if the real wave is a single vector potential wave without a supporting partner, then there must be a medium of propagation. In fact, the vector potential itself being made of scalar superpotential shows that, ultimately, even transverse EM waves are naught but ripples in a scalar field.

captcha: HHHPRA
>>
File: file.png (39 KB, 589x273)
39 KB
39 KB PNG
>>942166643
>>
File: file.png (229 KB, 700x607)
229 KB
229 KB PNG
>>942166643
Transverse.
>>
File: file.png (329 KB, 711x751)
329 KB
329 KB PNG
Longitudinal.
>>
File: file.png (166 KB, 700x821)
166 KB
166 KB PNG
Long. Cont.
>>
File: file.png (133 KB, 688x560)
133 KB
133 KB PNG
On "Displacement Current" as plausible deniability for gravitational wave generation.
>>
>>942166092
I have a fuckload of respect for anyone who actually understands all this.
>>
>>942166951
In an ideal situation, the magnetic field lines cancel out completely, yet the inner sphere still transfers electrical energy to the outer sphere via displacement current, showing the latter is accomplished via electrogravitation. The closest conventional science comes to this description is in calling it “electrostatic coupling” but that’s a euphemism that avoids addressing a seeming violation of Maxwell’s fourth equation. Yes, the electric field is the mediator, but its dynamic nature and radial or unidirectional geometry makes it identically a longitudinal magnetic vector potential wave or electrogravitational wave.

To summarize, a longitudinal ~A wave has electric and gravitational aspects, while a transverse wave has electric and magnetic aspects. When an electric field changes over time without also producing a changing magnetic field, it produces a changing gravitational field instead. Energy radiated this way is electrogravitic, and the transmission of this energy was termed “displacement current” by Maxwell without his knowing its true nature.
>>
>>942166976
Thanks anon, understanding the truth of our world and advancing our species is my passion. I hope to one day open source all of the black-site technologies and expose the century long obfuscation and secrecy of scientific truth within the community.

In the 1920's, some really smart nuts got together came to understand a mechanism which would allow them to fluctuate relative gravity through manipulation o fields of 'potential' which underlie electromagnetic force fields.

They understood that the untimely release of this understanding would for all intents and purposes result in a marginal collapse of society as most of the infrastructure which had already been laid out, ran and operated on coal and steam generated electricity. The nuanced mechanisms of society were and still are mediated by a delicate balance of supply and demand, wages, prices, inflation rates and the value of goods are all rooted in the intrinsic value of what it takes to produce those things.

Had the understanding that gravity could be manipulated by means of pulsed, diverging, voltage differentials, the energy market would have become oversaturated, the price of energy would go down drastically causing the value of energy to plummet, resulting in goods which base their value on the value of energy to also plummet, and you have an avalanche effect which rolls until something stops it.

I don't care however. I'm not some big oil company who would rather milk the planet dry and line my pockets before switching to alternative means of energy production behind the guise of maintaining a stable economy. I don't care if society falls, it would humble everyone, and anyone capable enough to survive something like that is also capable of rebuilding something better.
>>
Anon, did you just drop the theoretical basis of electrogravitic propulsion? What amounts of energy would be required for an experimental demonstration?
>>
the answer is 42
>>
File: file.png (5 KB, 224x51)
5 KB
5 KB PNG
>>942168354
Here is the my understanding of the gravitational force field, and the gravitational potential.

There is nothing truly new in the equations given so far concerning the scalar superpotential, magnetic vector potential, electric scalar potential, electric force field, or magnetic force field. All of them you will find in, or can derive from, standard electrodynamics textbooks and the works of James Clerk Maxwell. Now, if a gradient creates ~A, curl of ~A creates ~B, and time rate of change creates ~E, then what might divergence of ~A create? Here is where my Scalar Superpotential Theory departs from mainstream science by making one key postulate:

>Divergence of the magnetic vector potential is proportional to the gravitational potential.

(image related) where β is a constant of proportionality and “∇^2χ” is the Laplacian of the scalar superpotential signifying whether χ at a given point is greater or less than the surrounding χ. This is the central postulate of my theory. It implies that gravity arises from compression or rarefaction in the superpotential. One example: when the vector potential surrounding an electric current is directed inward toward a common center. Gravity can therefore be neutralized by decompressing the ether, say through an outward current flow that pushes ether outward from a central point. Gravitational potential is analogous to air pressure. This is different from the gravitational force field, which is analogous to wind. Just as difference in air pressure creates wind, so does change in the gravitational potential over some distance produce a gravitational force field that imparts acceleration to free falling objects.
>>
File: file.png (148 KB, 622x288)
148 KB
148 KB PNG
>>942168943
Cont.
>>
File: file.png (199 KB, 616x690)
199 KB
199 KB PNG
Gravitational Vector Potential
>>
File: file.png (69 KB, 615x399)
69 KB
69 KB PNG
>>942169026
Cont.
>>
File: file.png (3 KB, 129x69)
3 KB
3 KB PNG
The 'scalar superpotential' is the substrate of physicality, the ether permeating and underlying the universe, from which all matter and force fields derive.

It is a scalar field, meaning each point in that field has one value associated with it. This value is the degree of magnetic flux at that point, whose unit is the Weber. This is not the magnetic force field we all know, composed of vectors whose units are Wb/m^2, but a magnetic flux field of scalar values whose unit of measure is simply Wb.

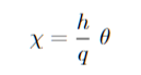
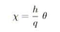
Its symbol is χ (Greek letter chi). Scalar superpotential may be written as: χ = χ(x, y, z, t), an equation assigning a flux value to each coordinate in spacetime.

By itself, the absolute flux value has no direct physical significance in terms of measurable forces, however it is closely associated with the quantum phase θ of a wave function as follows: (Image related)


So its effects are limited to the quantum domain and determine the degree of intersection and interaction between different probable realities. However, certain distortions in its distribution do give rise to measurable forces.
>>
File: file.png (229 KB, 623x634)
229 KB
229 KB PNG
Coupling Scalar Superpotential with Magnetic Vector Potential
>>
File: file.png (140 KB, 626x372)
140 KB
140 KB PNG
Coupling Scalar Superpotential with Electric Scalar Potential
>>
File: file.png (141 KB, 625x680)
141 KB
141 KB PNG
The Electric Field
>>
File: file.png (293 KB, 623x608)
293 KB
293 KB PNG
The Magnetic Field
>>
File: file.png (309 KB, 1175x663)
309 KB
309 KB PNG
The Superpotential Function of Gravity
>>
File: file.png (345 KB, 614x666)
345 KB
345 KB PNG
Electric Singularities (point charges)
>>
File: file.png (259 KB, 632x579)
259 KB
259 KB PNG
>>942169535
Cont.
>>
File: file.png (394 KB, 1318x784)
394 KB
394 KB PNG
>>942169561
Cont.

Instead of charge being spread out through some finite volume and thus being a regular charge density, the delta function packs the charge into an infinitesimal point at the origin, for it is zero everywhere except at the origin. Either gives the same divergence.
>>
File: file.png (245 KB, 1206x691)
245 KB
245 KB PNG
Magnetic Singularities
>>
File: file.png (154 KB, 623x755)
154 KB
154 KB PNG
>>942169718
Cont.

Since δ2(s) has units of inverse area, the curl represents flux per unit area, which is in agreement with the magnetic field B = ∇ × A being a magnetic flux density with units Wb/m2.

So an irrotational vector potential produces a magnetic field, but only in the form of a flux line at the center of rotation. Everywhere else, the curl is zero. In other words, the entire magnetic field is concentrated into a singularity string, just as the charge density in the previous example was concentrated into a single point. We see this same phenomenon in superfluids, in which irrotational vortices or singularity strings arise when stirred. This suggests the ether in which magnetic flux lines exist may actually be a superfluid.
>>
File: file.png (561 KB, 1261x684)
561 KB
561 KB PNG
Superpotential Function of a Magnetic Field
>>
File: file.png (412 KB, 1248x713)
412 KB
412 KB PNG
Gravitational Flux
>>
File: file.png (88 KB, 611x383)
88 KB
88 KB PNG
Potentials Without Force Fields

By setting the electric field equation to zero, we can get an idea of some hidden potential fields, ones that can piggyback on existing electric fields or be present where none are evident.

The equation **E(x, y, z, t) = −∇φ = 0** shows that a scalar potential field **φ(x, y, z, t)** can be free of forces as long as it has no gradients. This leaves two possibilities:

**φ = φ0** (voltage is absolute and constant in time and uniform in space)

**φ = φ(t)** (voltage is uniform in space but varies with time)

The first seems insignificant beyond perhaps indicating the fundamental “clock speed” of the universe, but the second says that if the voltage field (electric scalar potential) has no gradients, it can still change over time and therefore contain a signal that would be undetectable to most modern instruments. One example would be the field inside a hollow metal sphere or cage given a pulsed voltage; the field inside would be uniform in voltage, thus lacking an electric field, but the voltage would nonetheless pulse with the signal.
>>
File: file.png (105 KB, 625x467)
105 KB
105 KB PNG
Potentials Without Magnetic Fields
>>
File: file.png (124 KB, 624x256)
124 KB
124 KB PNG
Potentials Without Gravitational Fields
>>
File: file.png (384 KB, 1257x565)
384 KB
384 KB PNG
The Superpotential free of Emergent Potentials
>>
Aside from the magnetic, electric, and gravitational force fields, there are plenty other possible distortions of the ether including:

>1) uniform and constant χ
>2) uniform and time-varying χ
>3) uniform and constant ϕ
>4) uniform and time-varying ϕ
>6) uniform and constant Ā
>7) non-uniform but constant Ā (for no electric field)
>8) curl-free Ā (for no magnetic field)
>9) divergence-free Ā (for no gravity field)
>10) uniform and constant ∇ · Ā
>11) uniform and time-varying ∇ · Ā

These are exotic fields that, if technologically employed, would allow for time rate alteration, wormhole engineering, time travel, superluminal communication, antigravity, and free energy from the harvesting of time flow.
>>
File: file.png (889 KB, 1327x805)
889 KB
889 KB PNG
ON THE ISSUE WITH GAUGE FREEDOM
>(Important)
>>
In conclusion...

Every mass has a gravitational field, but whereas the force fields from all masses in the universe cancel each other out, the gravitational potentials do not. So the combined potential fields from all masses in the universe create an ambient potential throughout the universe. Therefore all masses are immersed in the gravitational potential of all other masses. The interaction between a mass and this ambient field is what leads to inertial effects.

Moving with constant speed and direction does nothing but change the locally experienced value of total gravitational potential. Each velocity comes with its own value of potential. This has the effect of dilating time and contracting length relative to slower moving or stationary observers, as predicted by Special Relativity.

Accelerating through this field creates a compression of the field in front of the mass and expansion in the back. The accelerating mass then exists within a field gradient, meaning a gravitational potential that is no longer uniform. This creates a gravitational force field pointing opposite the direction of motion. That causes the mass to resist acceleration, which is the basic inertial property of mass.
>>
>>942170676
Cont.

As for circular movement and centrifugal force, note that each distance from the center of curvature has a different velocity. Consider a spinning disk: the edge is moving faster than points closer to the center. Since with each velocity comes a different gravitational potential, a gradient in the gravitational potential exists between center and edge of the disk. Therefore, circular motion creates a local gravitational force field pulling outward and away from the center. And that is centrifugal force, another byproduct of inertial resistance to changes in motion.

All these inertial phenomena ultimately depend on masses in the rest of the universe, as stated in Mach's Principle, because it is the combined gravitational potential of these that leads to resistance to changes of motion by individual masses.

With the postulate that the gravitational potential is the divergence in the vector potential, that all masses in the universe create an ambient potential, and the wave equation for the scalar superpotential, in the end I have derived the Equivalence Principle, Mach's Principle, and Newton's First and Second Laws.

I have much more in depth elaboration and mathematics which explains how these phenomena fit into my framework:

>Electro-Gravitational Potential

>Relativity & Time Dilation

>Ambient Gravitational Potential

>Mach’s Principle

>Uniform & Circular Velocity

>Time Dilation and Scale Contraction

>Acceleration and Inertia

Here is a disc'ord contact if anyone is curious or has questions: #gerr._.
>>
nice anon.
all laws of physics can be bent, bent hard.
ever heard of the craft that can operate without momentum (sharp sudden turns), have larger insides than outside (space distortion), and can go in lava, water, air and space?
you may like walter russel, robert otey , and die glocke
http://entityart.co.uk/electric-universe-free-energy-solar-system-hollow-earth-part-1/
https://web.archive.org/web/20210309104743/http://www.feandft.com/


>>942170442
>wormhole, antigravity, free energy, time travel, telepathy
yes these are all unironically real and valid, can confirm

It's not my path to be a full time true physicist, but I like to watch people moving things in the right direction. good luck
>>
I haven't used my physics degree in 5 years, but I'll have to give this thread a read and see how much I remember/can similarly derive (and how much, if any, you're bullshitting us.)
Thanks for the reminder I shouldn't just let work snuff my soul out of me, but to enjoy the act of learning and science again, anon.
>>
[slams hands on desk]
What about anti-matter or spin!
>>
>>942178139
Antimatter involves mass cycling time oppositely to matter, while spin represents intrinsic vorticity in χ around particle singularity.
>>
>>942178242
Cont.

Antimatter: If matter charge arises from mass (m) cycling forward in time as q = dm/dt > 0, antimatter cycles oppositely: q = dm/dt < 0, reversing temporal phase in scalar field oscillations.
Spin: Intrinsic spin s = ℏ/2 as vorticity in superpotential χ: ∇×∇χ = s/ρ * n^ at particle singularity, with winding number n = 1/2 for fermions.
>>
>>942178285
I never even heard of "dark matter" until after I became a Mathematical savant, but studied Physics for fun before that.

Bridging dynamic to binary to deduce chaos theory, to deduce what can and cannot so "chaos".
>>
>>942166976
It's crazy siencey perpetual motion machine type bullshit
>>
>>942178571
>Claims to know what's being shared
>attempts to spell "sciencey" but fails

>uses the word "sciencey"

low-IQ-retard/10
>>
>>942178615
>posted unironically
sigh
https://www.urbandictionary.com/define.php?term=sience
>>
>>942178682
>considers niche urban dictionary definitions as well known among individuals with well endowed prefrontal cortexes
>>
File: retard.jpg (46 KB, 698x500)
46 KB
46 KB JPG
>>942178571
>>
>>942178571
>perpetual motion machine
Cyclic universe theory proves this is not only posssible, proven the existence of the universe itself. Where is all the "dark matter"?
>>
>>942178736
>well endowed prefrontal cortexes
lost
>>
>>942178942
You could've just said I was right
>>
File: 1591215121109.jpg (35 KB, 300x450)
35 KB
35 KB JPG
>>942178977
Whats your Physics background, private?
>>
>>942179005
What meds are you not taking namefag?
>>
File: 1669170315922995.png (130 KB, 761x359)
130 KB
130 KB PNG
>>942179059
That is not a Physics background.

What is you Physics background?
>>
>>942178958
>cant perceive a periphrastic, ironic euphemism or circumlocutory phrasing

Diagnosis: illiterate
>>
File: cV1ha2D.gif (1.82 MB, 400x220)
1.82 MB
1.82 MB GIF
>>
>>942179104
Is this not simply photon wavelength coherence resulting in beam formation?
>>
File: maxresdefault-357149095.jpg (108 KB, 1280x720)
108 KB
108 KB JPG
>>942179087
>>
>>942179141
I cant remember, I looked it up when I found it, found no links, then looked it up several years later and found a bunch of stuff. Been years since. I kept it to close that puzzle. I just posted it because it was in my pile of pics.
>>
>>942179115
Your dead thread is echoing
>>
File: 2023-12-22_02.58.57.jpg (89 KB, 720x720)
89 KB
89 KB JPG
>>942179208
Noooticing things, nothing much.
[puts hands in pockets, kicks a pebble]
>>
if i spin a big magnet can i time travel
>>
>>942179263
cause electrons have mass and therefore warp spacetime with gravity
>>
>>942179214
Reality is God's echo chamber.
>>
File: 2023-09-20_08.59.00.jpg (44 KB, 720x720)
44 KB
44 KB JPG
>>942179239
[whistles nonchalantly in the shadows]
>>
File: wayne's-world-party.gif (1.48 MB, 498x281)
1.48 MB
1.48 MB GIF
>>942179284
>>942179208
>>
>>942179121
Tide goes in, tide goes out. You can't explain that
>>
>>942179273
Simply no.

Gravitational flux does not depend on the distribution of mass, only the amount.

Gravitational force averages out over given distances and obeys the inverse square law.

https://en.wikipedia.org/wiki/Inverse-square_law
>>
>>942179340
what if i create a gravitational singularity by ripping apart spacetime with fast movin gravity
>>
>>942179367
Paradoxical impossibility with no answer because the question is self contradictory.
>>
>>942179381
explain or autism
>>
>>942179367
You can rip apart space time by compressing a massive body beyond its so called swartzchild limit, thus creating a black hole, a region of space time cut off from the rest of the universe.
>>
>>942179421
:thinking:
>>
>>942179427
I have a theory involving altering the rate of time flow for the skin layer of electrons on a conducting frame, coaxing them into becoming subatomic black holes which would line the outer hull of something like a spaceship, cutting it off from spacetime allowing for superluminal travel.
>>
File: 2022-09-30_18.06.54.jpg (38 KB, 720x720)
38 KB
38 KB JPG
>>942179321
Yes. Looking for correlations in coral shell formations and subatomic gravitational measuents, as life is a reflection of physics in equalibrium.

Many fields had to be updated, medical was included. This is where all this MAHA stuff is coming from.
>>
>>942166816
this is not Lorentz force?
>>
>>942179519
Do you have any works published on this field
>>
>>942179519
>This is where all this MAHA stuff is coming from
>>
File: 4f5-3523949906.png (206 KB, 680x577)
206 KB
206 KB PNG
>>942179657
>>
>>942179472
Any scientific conferences you can recommend?
>>
>>942167054
>displacement current
yo wtf, aint that potential; voltage. fucking meassure voltage at the plug makes life easier but fucks with my head on these closed systems
>electrogravitational wave.
electro -imbalance of electrons creating potential for work
gravity - attraction of two masses
wave - 3d interpretation of uniform progress
its not some form of surface tension created by the 4th state of matter plasma but the momentary loss of electron creating an attraction as "current moves"/"work done"?
>>
File: 2025-02-19_08.34.23.jpg (67 KB, 720x720)
67 KB
67 KB JPG
>>942179657
Why would I publish what the masses wouldnt understand? Only a handful of people are and I follow their works in their respective fields as it relates to my works as I travel the world doing field research on endless things.

I just left Kabul, Afghanistan and am now in Chiang Mai, Thailand doing Atomic Cognition research connecting some things together.
>>
>>942179953
>I just left Kabul
>>942179698
I wonder if this was connected...
(They are, so is Mormon Church, ISIS, Gaza, Abraham Accords, and Charlie Kurt assassination.)

Pfft....fucking NPCs wanna LARP on /b/...
>>
>>942179727
IAI
>>
>>942180064
How to win an election: Promise young white women free shit.
>>
>>942179953
Wow, conducting field research in Kabul?? Congratulations!!!
>>
File: Konopinski-min.jpg (1.23 MB, 3908x3383)
1.23 MB
1.23 MB JPG
Guage theory
I call this guage cope

https://warosu.org/sci/thread/16185221#p16185264

Lets setup a lab
>>
File: goldenangle137point5.gif (4 KB, 300x147)
4 KB
4 KB GIF
>>942179657
I do.
Well, I have works unpublished.

Here, have it...

The Golden Ratio arises when two quantities for example A & B, where A is the larger quantity and B is the lesser, and whose sum (the whole of both parts) when compared to the larger quantity, displays the same ratio as when simply comparing the two quantities.

Mathematically this is written as:

(A + B)/A = A/B
"A plus B over A, is equal to, A over B"

If we take any arbitrary length then divide it so that the entire length compared to the larger segment of the division of said line, is the same ratio as the larger segment compared to the smaller segment.

Or, said another way, when any whole length is divided in two, where the point of 'separation' is approximately 61.8% of the way from either of the two ends of the line segment.

(To clarify, when I say 'divide the line segment' I don't meant to separate the line into two separate lines like cutting a piece of string into two. It is meant more along the lines of, for example, having a single string with color coded parts which can signify section A and section B represented in the above image where A is red and B is yellow, where red comprises 61.8% of the line)

If we then take this now divided line segment, and bend it so that the ends touch, creating a geometric circle the ends of the whole length disappear and we are left with only the separation ends between sections A & B, from which we can derive the Golden Angle by measuring the angle between the ends or more precisely, the two points where sections A & B touch.
>>
File: file.png (213 KB, 685x353)
213 KB
213 KB PNG
>>942180812
Cont.

If this is confusing, simply imagine a line. It has two ends right? Though, once bent into a circle, those two ends no longer exist, and the line is continuous.

Now imagine that line from the beginning has two colors along its length, even if we bend the line into a circle, there are still those points where the two colors meet.

The angle between these two points will always be the golden angle, if the color sections of the line display the golden ratio.

The geometry of the Golden Ratio & Golden Angle are exhibited all across various aspects of nature, from the exceedingly large to the impossibly small.

The seeds of a pinecone, for example, are arranged to cover the maximum amount of area while having the least amount of overlap.

This is achieved by separating each seed by the Golden Angle, approximately 137.5 degrees. This specific angle allows for optimal packing and efficient space utilization, ensuring that each seed has ample room to grow and access to sunlight and nutrients.

Here is a link to a GeoGebra 3D simulation I created where I've generated a phyllotactic pattern on a sphere using the Golden Angle as the divergence ratio: https://www.geogebra.org/m/rcvjyepy


This is a link to the same platform, where I've generated phyllotactic patterns on a sphere using the mainstream measure of the Fine Structure Constant
(a dimensionless quantity which measures the strength of interaction between elementary electromagnetic particles- which Would logically be dependent on the nuances regarding the possible points of interaction) as the divergence angle: https://www.geogebra.org/m/fnhhht2v
>>
File: file.png (1.42 MB, 1297x591)
1.42 MB
1.42 MB PNG
>>942180860
Cont.

This natural pattern is also observed in the arrangement of leaves around a stem, the spirals of sunflower heads, and the shells of certain mollusks. Sunflower seeds exhibit the Golden Ratio and Golden Angle because they arrange themselves in spirals radiating outward from the center.

This maximizes space efficiency, allowing each seed optimal exposure to resources. Similarly, certain mollusks demonstrate the Golden Ratio through the logarithmic spiral of their shells. This spiral enables the shell to grow without altering its shape, maintaining structural integrity and efficiency.

In the face of a sunflower, each seed is separated by the Golden Angle, approximately 137.5 degrees which is why, in the above image, pattern (b) resembles the face of a sunflower.

This specific angle allows for the most efficient packing, ensuring that each seed has the maximum amount of space and access to sunlight and nutrients.

The same principle applies to mollusk shells. As the mollusk grows, its shell expands in a logarithmic spiral, ensuring that the creature can grow without changing its overall shape, thereby maintaining a stable and efficient structure.
>>
>>942180893
>>
File: file.png (548 KB, 1085x887)
548 KB
548 KB PNG
>>942181132

Square the Circle anon.



[Advertise on 4chan]

Delete Post: [File Only] Style:
[Disable Mobile View / Use Desktop Site]

[Enable Mobile View / Use Mobile Site]

All trademarks and copyrights on this page are owned by their respective parties. Images uploaded are the responsibility of the Poster. Comments are owned by the Poster.