[a / b / c / d / e / f / g / gif / h / hr / k / m / o / p / r / s / t / u / v / vg / vm / vmg / vr / vrpg / vst / w / wg] [i / ic] [r9k / s4s / vip] [cm / hm / lgbt / y] [3 / aco / adv / an / bant / biz / cgl / ck / co / diy / fa / fit / gd / hc / his / int / jp / lit / mlp / mu / n / news / out / po / pol / pw / qst / sci / soc / sp / tg / toy / trv / tv / vp / vt / wsg / wsr / x / xs] [Settings] [Search] [Mobile] [Home]
Board
Settings Mobile Home
/g/ - Technology

Name
Options
Comment
Verification
4chan Pass users can bypass this verification. [Learn More] [Login]
File
  • Please read the Rules and FAQ before posting.
  • You may highlight syntax and preserve whitespace by using [code] tags.

08/21/20New boards added: /vrpg/, /vmg/, /vst/ and /vm/
05/04/17New trial board added: /bant/ - International/Random
10/04/16New board for 4chan Pass users: /vip/ - Very Important Posts
[Hide] [Show All]


[Advertise on 4chan]


File: kalculator.png (272 KB, 1003x867)
272 KB
272 KB PNG
kde devs can't even make a calculator right
>>
>>107831960
nice b8
>>
>>107831960
retard
>>
File: file.png (23 KB, 265x395)
23 KB
23 KB PNG
windows 7 calculator works perfectly on my windows 10 machine
>>
>>107831960
PEMDAS, Left -> Right on same priority
6 / 2 * (2 + 1)
6 / 2 * 3
3 * 3
9
>>
>>107832011
it shows two different answers in op
>>
>>107832035
wrong
https://www.themathdoctors.org/order-of-operations-implicit-multiplication
>>
>>107831960
did you get banned on /pol/ for off topic, and now you're posting your shitty math bait here?
>>
>>107832035
>PEMDAS
>Left to right
>MD
Anon...
>>
>>107832041
>>107832049
Mult and Div have the same priority so you go left right
>>
>>107832052
look up implicit vs explicit multiplication
>>
>>107832063
i get it, but you should also realize 99% calculators follow the rule.
go ahead and try some yourself.
>>
File: file.png (25 KB, 655x185)
25 KB
25 KB PNG
>>107832096
from windows to google to wolfram
>>
>>107832109
see >>107832041
>>
>>107832116
you can link that lone article all you want, the world disagrees with it.
>>
Use a real calculator you dumbass fags.
>>
>>107832123
>lone
here some more for you
https://en.wikipedia.org/wiki/Order_of_operations
https://www.purplemath.com/modules/orderops3.htm
>>
File: 1748208468388622.png (559 KB, 957x555)
559 KB
559 KB PNG
>>
File: file.png (14 KB, 693x208)
14 KB
14 KB PNG
>>107832172
read your own articles, because they're saying what i'm saying
>Operations of the same precedence are conventionally evaluated from left to right.
>>
>>107832123
>professors disagree with you
wrong, implicit multiplication is taught in university's
>>
>>107832136
wtf this is a blue board
>>
>>107832220
https://en.wikipedia.org/wiki/Order_of_operations#Mixed_division_and_multiplication
>>
File: Screenshot.jpg (88 KB, 576x844)
88 KB
88 KB JPG
>>107832220
>read the articles
well clearly you did not
>>
Standard algebra does not assign a special precedence to implicit multiplication.
>>
File: file.jpg (898 KB, 2192x1515)
898 KB
898 KB JPG
>another thread of pendantry even though it causes half of the population to get the solution wrong
>>107832196
just use braces nigga, or even better use a calculator that has actual fractions. Top one *does* have them. Can't talk for the bottom
>>
>>107832241
1/2n does not concern PEMDAS
You're conflating different things.
>>
>He uses a calculator instead of pen and paper
The fucking state of zoomers.
>>
>>107832136
No use, anon. The brown mind cannot comprehend such tools.
>>
>>107832257
wrong
https://www.wyzant.com/resources/answers/948753/what-is-juxtaposition-how-does-it-factor-into-order-of-operations-and-what-
>>
File: 1751123929193374.png (242 KB, 435x495)
242 KB
242 KB PNG
How come there's nothing that emulates the features that are on one of these on Linux
I don't mean a literal emulator, but just something with the same features.
>>
>>107832282
>Source: "tutors" on a Q&A website
>>
>>107831960
C:\ > 6/2(2+1)
At line:1 char:4
+ 6/2(2+1)
+ ~
Unexpected token '(' in expression or statement.
+ CategoryInfo : ParserError: (:) [], ParentContainsErrorRecordException
+ FullyQualifiedErrorId : UnexpectedToken
>>
>>107832020
god bless calc.exe
>>
>>107832311
here you go
https://math.ucr.edu/home/baez/physics/General/binaryOps.html
>>
>>107832196
the fx991es gives 9
>>
File: 1745490352054129.mp4 (3.63 MB, 802x680)
3.63 MB
3.63 MB MP4
>>107832020
>>107832330
and yet you can't even go back to modify a previous expression.
You know it's grim when gnome has the best fucking calculator
>>
>>107832041
nigger, do you even read your own shitty links, it literally says PEMDAS is right and that shitters that think "implicit" means it should be different or calculators that do it "implicit" are in wrong.
>>
File: 1322794874002.jpg (22 KB, 396x360)
22 KB
22 KB JPG
>>
>>107832223
Yeah bro. They're teaching us multiplication in university.
>>
as a middle school drop out I sometime feel ashamed but then I browse 4chan and instantly feel better
>>
>>107833341
you should feel bad
>t. highschool dropout
>>
>>107832366
Wrong.
>>
>>107832020
sovl I forgot you can just copy paste the exe files to modern windows and avoid the modern flatshit ones.
>>
>>107833591
it came with 10 ltsc
it doesnt have the UWP one thats why it has the win 7
>>
1 why are mutts retarded
>>
>>107832359
991CW gives 1, and, insanely, adds an extra set of parentheses I didn't put in there, so
>6/2(2+1)
actually becomes
>6/(2(2+1))
when I hit EXE

Shit like this is why I fucking hate math.
>>
>>107831960
Only midwits care about these rules. Make the expression unambiguous or shut the fuck up
>>
>>107833900
why its undefined behavior completely legit.
>>
>>107831960
They did make the calculator right (KCalc) but the search bar got it wrong
>>
>>107832346
Assuming you're the anon that claims multiplication and addition takes priority to division and subtraction respectively, you've once again you've posted a link that states left-to-right is the correct method.
>Assorted variations on rule B exist that putallmultiplications before divisions, or perhapsalldivisions before multiplications. Such rules probably owe their origin to a mis-reading of an acronym.
>But such an acronym with, say, an "MD" is sometimes read completely literally, and it ends up being interpreted incorrectly as "doallmultiplications first, andalldivisions afterwards".
>>
for pemdatards:
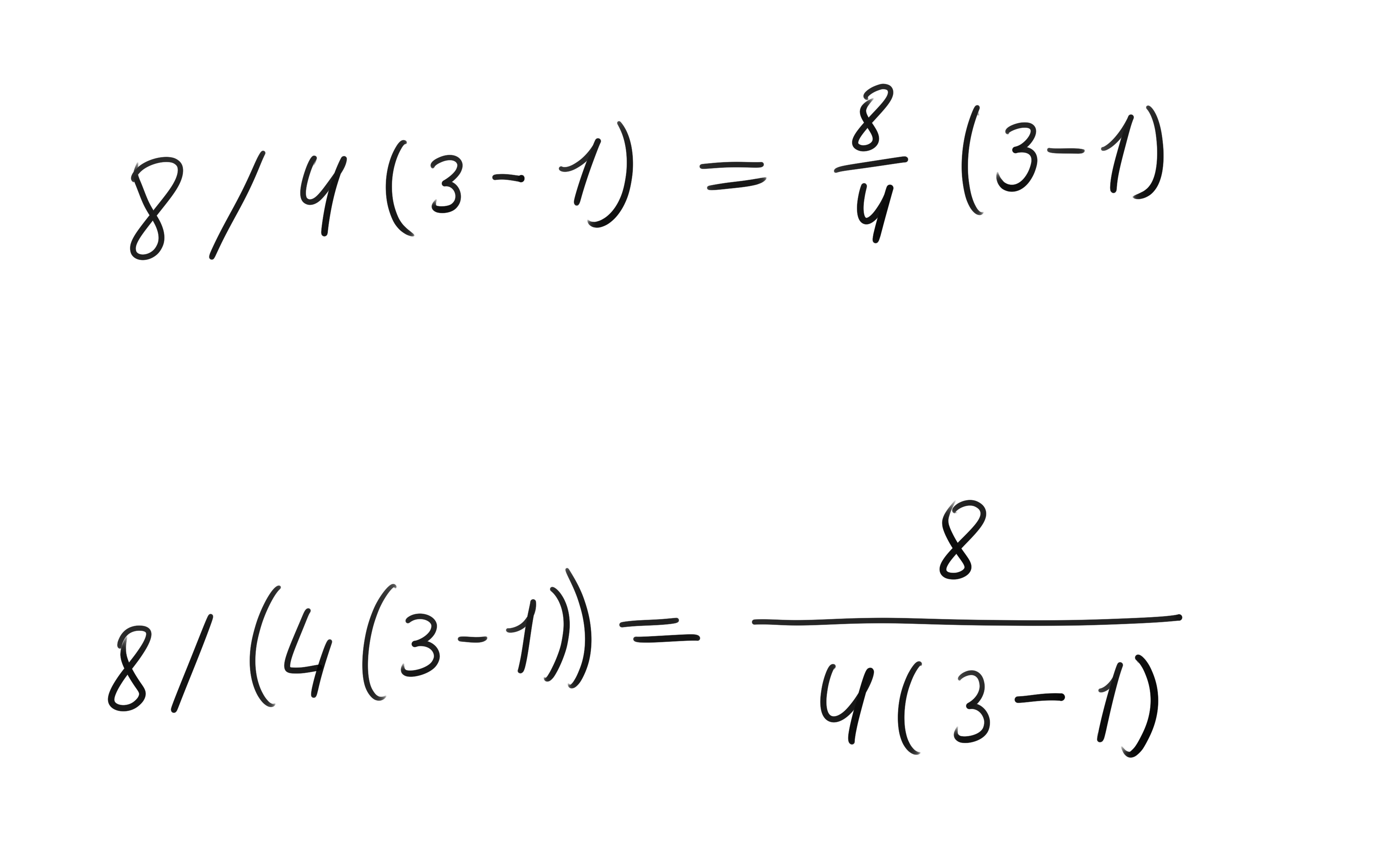
8÷4(3−1)
4 is a coefficient for the number (3-1). 4(3-1) has to be evaluated first. 8 is not being divided by 4, but by 4(3-1).
>>
>>107832196
OH NO NO NO.

DELETE THIS!
>>
>>107834527
8÷4×(3-1)
8÷4×2
2×2
4
>>
>>107834585
Do you know what a coefficient is, dumbass?
>>
>>107834527
Just write 8/(4*(3-1)) like a normal person and everyone will know what you mean. Why do mathlets come up with retarded rules instead of writing shit properly?
>>
Imagine having to figure out what the coefficient is in someone's ass backwards math they wrote to solve a problem because they relied on explicit multiplication. It's not impossible to have a coherent syntax with explicit multiplication, but that's not what the syntax is. mathematical syntax implies that 4x is 4 times x for the same reason that 4(3-1) is 4 times (3-1), and not something else times 3-1. You could use nested parens to explicitly denote this, but most people "using explicit multiplication" don't do this, which means you have to know the analogue represented by the math problem in order to know what the coefficient in the math problem actually is. tldr, it causes logic errors in code
>>
>>107831960
It's displaying the correct result so clearly they made their calculator correctly.
>>
>>107832196
Damn, Casio should stick to making wristwatches and musical instruments.
>>
get rid of stupid old-timey mathematical notation. just write it the same way you'd write it in C, or a similar language

it's up there with music notation where it's just "heritage", when it obviously wasn't at the time it was devised. no need to cling on to it any more than keep using letters we've abolished.
>>
>>107831960
You know, before I took some basic CS classes, I would often look at some of the threads on /g/ with curious bewilderment. I was young and thought that these threads were incomprehensible and full of intelligent people.

Then I realized that 99% of what you fags argue is covered in Intro to Algorithms and Programming. Hell, this thread is the first week of pre-Algebra, a made up class for retards.
>>
>>107834605
Do you know what "left to right" is? Either make your math problems less ambiguous or accept the proper order of operations.
>>
>>107834769
no, i'm just almost 40 and you're 22 or something. you guys have your own websites so this is a ridiculous complaint.
>>
>>107834800
It's not the "proper order of operations," it's failing to understand what a coefficient is, and needing to turn algebra into lisp in order to compensate for how retarded you are.
>>
File: 1224836161906.jpg (87 KB, 978x726)
87 KB
87 KB JPG
>>107834814
40 and struggling with middle school concepts.
>>
>>107831960
I don't care whatever OP is talking about, this design is awful. Negative space on top of negative space, it's like a calculator for the obese.
>>
>>107834836
anon...
https://www.wolframalpha.com/input?i=8÷4%283−1%29
>>
>>107834872
4 times 3 minus 1
Sound it out, bud.
>>
>>107832241
This is retarded, you don't write division with a tilted bar like that, that's only for internet chat where you can explain any ambiguity quickly.
In any real academic piece of writing you would have a horizontal bar and then it wouldn't matter if the multiplication is "implicit" or not.
There's no way anyone takes this "implicit has higher priority" crap seriously
>>
>>107834872
How will the shell evaluate the following:
echo $(echo hello)
>>
>Calculator says answer is 1
>KCalc says answer is 9
>both made by the same people
The fact that most of the thread doesn't even see the problem is humurous, maybe 4chan really is dead and only GPTs post here?
>>
>>107835104
Didn't even notice. Truly jeeted.
>>
File: The answer is 4.png (86 KB, 1308x684)
86 KB
86 KB PNG
>>107834902
>>107834927
Gee whiz
>>
>>107835168
Yeah, millions of people are wrong because they're too stupid to understand coefficients and parenthesis.
>>
File: xcgfgsjhfgsdjgfshj.png (291 KB, 3709x2276)
291 KB
291 KB PNG
>>107834694
>Just write 8/(4*(3-1)) like a normal person
Absolutely this.
I work in aerospace and I was never even aware that there was any kind of confusion or ambiguity, I never had this question back in school, or in the university. I was simply taught to use parenthesis for everything.

>>107834605
>Do you know what a coefficient is, dumbass?
No i don't.
Coefficient is literally not a thing present in the math curriculum.

>>107834902
>Sound it out, bud.
>8÷4(3−1)
Eight divided by four times three minus one.

I'm not an American and I wasn't taught your bizzare common core multiplications. Even if your math has some bullshit coefficients or whatever bizarre rules they need to be eliminated as ambiguity. Just use the parenthesis like a normal person and never have an argument.

You know things are fucked when you're having an argument over how to read an expression.
>>
Schrödinger's calculator
>>
File: real-calc.png (78 KB, 342x520)
78 KB
78 KB PNG
>>107832136
>Use a real calculator you dumbass fags.
>>
>>107835382
>>
>>107835320
It's not common core. 4(3-1) is one number. It's called implicit multiplication, and I find it hard to believe that the aerospace guy doesn't know what a coefficient is. It's a multiplier. 4x is one number. 4 is the coefficient, x is a variable. 4(3-1) is one number. 4 is the coefficient, and (3-1) is a parenthetical substitution, no different than subshell logic in bash.
>>
File: 26.011.14.00.56.scrot.png (67 KB, 960x1042)
67 KB
67 KB PNG
Qalc is forward-thinking and "accommodating" enough to provide a setting for this.
>>
>>107835442
You would be correct if 4(3-1) is on its own, but you're forgetting the rest of the expression, where the order of operations dictates you perform like operations (multiplication/division, addition/subtraction) from left to right
>>
File: ye.png (63 KB, 664x208)
63 KB
63 KB PNG
calc
>>
>>107835531
mfers learned OoO in high school and think that's all there is to know
>>
>>107835531
No, it doesn't. That only works with explicit multiplication syntax where the person writing the problem explicitly orders things from left to right. If they fuck it up at all, you have to un-abstract the problem to figure out what the coefficients in the problem are supposed to be.
>>
>>107835442
You know what? Yeah, 4X is one number. I was never told that explicitly I simply knew that I can't split the 4 and the X. It makes sense.

But here's the problem. If you recognize the implicit multiplication as a valid thing and start using it now you have two different multiplications with a different priority. The implicit multiplication does the same exact thing as multiplication and parenthesis and also confuses people. Having an ambiguity in your math and arguing what does an expression mean is the dumbest thing in the world.

The fact that this conversation even took place indicates that something is wrong and having two different valid multiplications sounds really fucking bad. so in my opinion 4x is one number, 2sinX is one number, but everything else is PEMDAS.
>>
>>107835560
It's a different syntax entirely. Either is possible to perform, but either has to be rigidly adhered to in order to avoid ambiguity.
>>
>>107835577
this.


but it's probably easier to adhere to iron fisted PEMDAS because it's what's been taught, and frankly most shit has been designed using that form
>>
>>107835560
x causes y to happen 4 times, 4xy, the result of which is divided by 2.
4xy/2 = (4xy)/2 = 4 * x * y / 2
The word problem is still readable in the numbers of the math problem when using implicit multiplication.
>>
>>107835577
I was taught math on paper, we would write everything on paper and use the big long horizontal lines for division.

For programming I simply substitute the lines with parenthesis for clarity, it breaks everything down into identifiable pieces and makes it easier to read.
>>
>>107835670
We would typically do the same, but that's not as portable of a syntax. Parenthesis make things absolutely clear, but the point is how to interpret problems when they aren't there. Which leaves the three different methods in this screenshot:
>>107835475
>>
File: smoking cat.jpg (88 KB, 978x1024)
88 KB
88 KB JPG
if this nigga a teacher he's gonna be teachin entire generations how to do math wrong and blame it on the rest of the world cuz he couldn't figure out how to use a second set of parenthesis
>>
>>107835724
No, you just use a second set of parenthesis if you intend for it to mean something else.
>>
>>107835724
I can read your math, but you can't read mine.
>>
func() {
thing
}
>>
File: 1753313134238329.gif (2.78 MB, 720x405)
2.78 MB
2.78 MB GIF
>>107835535
>nodejs
>javashit
>>
>>107834924
>>107832260
Ragebait?
It doesn't matter that they are using '/' for division. You could replace it with '÷' and it would read the same and be relevant to OP because the point they are making is about multiplication when no sign for multiplication is used i.e. implicit multiplication.
Very clearly states that the convention is to give implicit multiplication priority over division.



[Advertise on 4chan]

Delete Post: [File Only] Style:
[Disable Mobile View / Use Desktop Site]

[Enable Mobile View / Use Mobile Site]

All trademarks and copyrights on this page are owned by their respective parties. Images uploaded are the responsibility of the Poster. Comments are owned by the Poster.