[a / b / c / d / e / f / g / gif / h / hr / k / m / o / p / r / s / t / u / v / vg / vm / vmg / vr / vrpg / vst / w / wg] [i / ic] [r9k / s4s / vip] [cm / hm / lgbt / y] [3 / aco / adv / an / bant / biz / cgl / ck / co / diy / fa / fit / gd / hc / his / int / jp / lit / mlp / mu / n / news / out / po / pol / pw / qst / sci / soc / sp / tg / toy / trv / tv / vp / vt / wsg / wsr / x / xs] [Settings] [Search] [Mobile] [Home]
Board
Settings Mobile Home
/his/ - History & Humanities


Thread archived.
You cannot reply anymore.


[Advertise on 4chan]


File: images.png (6 KB, 632x316)
6 KB PNG
Why does this one-shot Christians?
>>
File: atheist swine.png (429 KB, 1150x800)
429 KB PNG
sage and hide
>>
>>18447442
Don't remember to plug your ears and sing lalala lmao.
>>
What does modus tollens have to do with Christianity?
>>
>>18447446
I've randomly had two different Christians argue against the validity of modus tollens in two different threads lol.
>>
>>18447447
Ok? So what does that have to do with Christianity then?
>>
>>18447448
That's my question (see the op).
>>
>>18447451
It doesn't have anything to do with it...
>>
>>18447479
Then why do Christians keep telling me modus tollens is invalid? Something strange is afoot.
>>
>>18447485
Well I'm a Christian and I don't think modus tollens is unsound. I've studied a bit of formal logic at a higher level too. I think logic is actually quite useful in understanding and developing arguments pertaining to my religion and the intellectual positions that I hold to generally, as someone also interested in philosophy. I don't know then... maybe the Christians you've been talking to on here either need to get more educated or for some reason or another that isn't inherent to the religion, but might be an idiosyncrasy in their particular belief structure, they don't think it's a sound rule of inference. But I've never seen anything like that in theology. That would be really queer. I've seen some who are more inclined toward the apophatic expression of theology hold to a certain type of logical trivialism I guess but... that's kinda far from what we're discussing and is also a genuine, though difficult, philosophical position.
>>
>got so butthurt me made yet another thread just to bitch and moan to himself
Yikes
>>
>>18447509
Can you elucidate me on what he is talking about?
>>
>>18447514
Why are you talking as if its not you, lol

>>18447485
You got assblasted because you proposed this:

A: oxygen is necessary for human life
B: oxygen doesnt exist in imaginary worlds
C: oxygen doesnt exist

And i pointed out how retarded it is, you got so buttmad that youre still seething days after hahahaah what an idiot
>>
File: Screebshote.jpg (200 KB, 1080x1125)
200 KB JPG
>>18447522
It's literally not...
>>
>>18447522
>A: oxygen is necessary for human life
>B: oxygen doesnt exist in imaginary worlds
>C: oxygen doesnt exist
Well no, that's what you proposed and then I told you it's not a modus tollens argument.
>>
>>18447523
Sure thing, buddy.


Youre the only dumbass who spends all his time discussing pointless shit, you're so lonely you've resorted to talking tk yourself on 4chan.

Sad!.
>>
>>18447524
>then I told you it's not a modus tollens argument
Lmaooooooo

What a pitiful existence. Are you really trying to create a narrative on an anonymous image board?? Ahahahahah what a fucking loser hahahaahahahah
>>
>>18447514
This >>18445777 is a good starting point.
>>
>>18447526
Sorry, I recalled incorrectly. I told you it's not a valid argument and then I gave you the structure of modus tollens (the one used in the op argument in that thread) as an example of a valid argument.
>>
>>18447529
>dumbass here thinks the sun ceases to exist during the night
Lol
>>
>>18447526
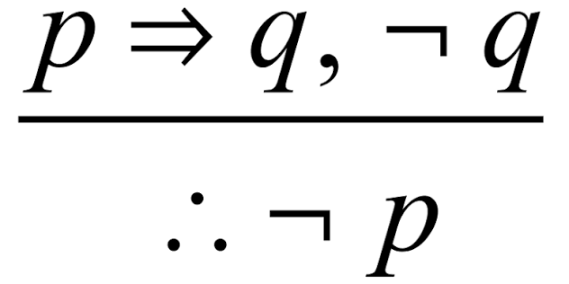
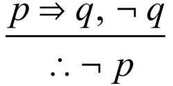
I don't see how that's a modus tollens argument either. Modus tollens takes the form
P1: p->q
P2: ~q
C: ~p
The conclusion also doesn't follow from the premises given. There's nothing to bridge the premises, making the argument invalid. For an argument to be valid truth should be preserved from the premises to the conclusion which doesn't seem to be happening here. Whoever came up with this argument has no clue how to construct a valid syllogism.
>>
There you have it. Christians and modus tollens, like oil and water.
>>
>>18447532
He is the one who came up with the argument while attempting to show that modus tollens is not valid >>18445814.
>>
File: ElGSDE8X0Ag8X4T.png (131 KB, 601x508)
131 KB PNG
There you have it. Christians and modus tollens, like oil and water.
>>
>>18447535
Sir, if you are the OP, I am assuming you are an atheist who got into a debate with another Christian? He is correct to point out that your argument contains neither an instance modus tollens and also that it is invalid. Your argument is what would be called a non-sequitur, when the conclusion does not follow from the premises listed. You did not employ any sound rules of inference to do this. A valid modus tollens argument looks something like this:
P1: All men are mortal (For any x, if x is a man then x is mortal)
P2: Socrates is not mortal (S is not mortal)
C: Therefore, Socrates is not a man (S is not a man)
The conclusion is logically entailed by the premises in this instance since if p->q is true, and ~q is true, the only way for p->q to continue to be true would be if ~p were true, otherwise we would have a proposition where True->False, which is false. So we must conclude ~p. Thus we see how truth is preserved from the premises to the conclusion. That doesn't happen in your syllogism. There is no way to get from your first and second premise to your conclusion, nothing about premise 1 and premise 2 being true (assuming they are true) logically necessitates your conclusion to be true. If we were able to find at least one counter-example to your argument the it would be invalid for it would entails that T->F, which is inconsistent. We do have an actual counter-example to your argument in that, in the actual world, oxygen exists.
>>
>>18447550
Are you dim? That is not my argument, it's his mock-argument that he's presenting to try to discredit the very concept of modus tollens. Read the link again >>18447538.
>>
>>18447917
I have no idea who is who in this thread.
>>
>>18447927
The guy who presented the invalid syllogism is literally namefagging.
>>
>>18447442
The OP didn't insult God though, it insulted you. Strange how many religious people can't tell the difference.
>>
>>18447940
So is he the theist?
>>
>>18448008
Yes, clearly.
>>
>>18447441
More like:
1. {p_1,p_2...p_n} => q
2. ~q (for whatever reason)
∴ ~{p_1,p_2...p_n}

https://en.wikipedia.org/wiki/Duhem%E2%80%93Quine_thesis
>>
>>18448011
Oh ok. Well yeah he is wrong.
t. Theist
>>
File: Modality.jpg (2.83 MB, 4080x3060)
2.83 MB JPG
>>18448013
Gay. More like pic rel



[Advertise on 4chan]

Delete Post: [File Only] Style:
[Disable Mobile View / Use Desktop Site]

[Enable Mobile View / Use Mobile Site]

All trademarks and copyrights on this page are owned by their respective parties. Images uploaded are the responsibility of the Poster. Comments are owned by the Poster.