[a / b / c / d / e / f / g / gif / h / hr / k / m / o / p / r / s / t / u / v / vg / vm / vmg / vr / vrpg / vst / w / wg] [i / ic] [r9k / s4s / vip] [cm / hm / lgbt / y] [3 / aco / adv / an / bant / biz / cgl / ck / co / diy / fa / fit / gd / hc / his / int / jp / lit / mlp / mu / n / news / out / po / pol / pw / qst / sci / soc / sp / tg / toy / trv / tv / vp / vt / wsg / wsr / x / xs] [Settings] [Search] [Mobile] [Home]
Board
Settings Mobile Home
/int/ - International


Thread archived.
You cannot reply anymore.


[Advertise on 4chan]


Ask me anything.
>>
>>217731225
What are you studying atm?
>>
>>217731225
how often people use LLM(chagpt, claude, gemini or something) in your country
>>
what are some ai bots where anya can still talk dirty to me
>>
>>217731225
Name good Soviet movies about Kazakhstan and overall Central Asia
>>
>>217731263
People under the age of 30 use it often, people who are older don't you use it at all
>>
>>217731289
Opus if you can get it
Deepsneek and Kimi
>>
>>217731262
math
>>
File: ggggg.png (120 KB, 1406x578)
120 KB
120 KB PNG
>>217731355
what's your take on this
>>
>>217731355
I know, qyzym. What kind of math?
>>
>>217731225
Why you don't want to me with me?
>>
>>217731225
why are you so hungry for attention that you decided to create this off-topic blog thread on /int/?
>>
>>217731771
>why are women hungry for attention
why is water wet?
>>
>>217731406
I have an impression that something based on it could create architectural competitor to tranformer based models outside of coding theory.
>>
>>217731304
anything like janitor
>>
>>217731865
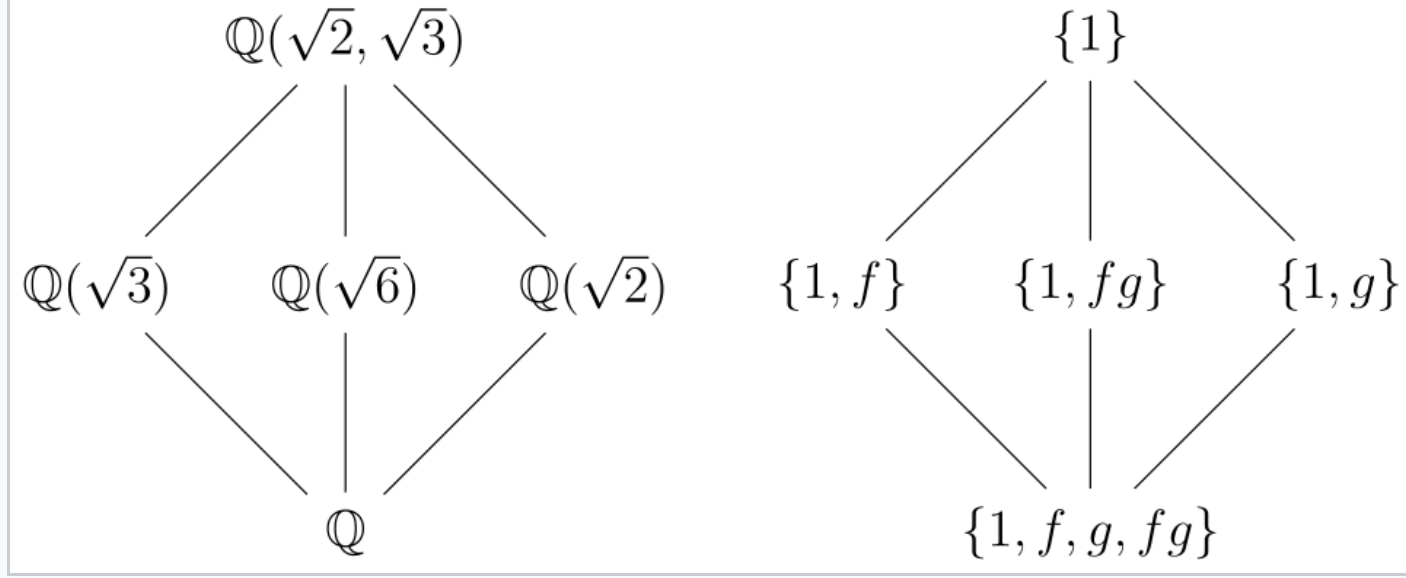
It’s a lattice diagram of field extensions. Common thing in Galois theory. The notation means adjoining square roots to the rationals, which is formally done as a quotient field of polynomial rings modulo the relevant ideals.
>>
>>217731682
>me with me?
Kek, I wanted to write "be with me?"
>>
File: 8n14e28ef25c1.png (318 KB, 720x720)
318 KB
318 KB PNG
>>217731994
>I explained to you obvious things, look how smart I am
>>
>>217732154
>obvious thing
I got filtered by Galois theory personally. So you’re familiar with abstract algebra? Is that something you study or you just learned out of interest?
>>
>>217732196
Cryptography work was harder than I expected
>>
>>217732601
Ah, interesting. Never looked at cryptography. Where do Galois fields show up there? Something about prime factorizations?
>>
>>217731225
Do you look like this?
>>
>>217731225
boy or girl?
>>
>>217731225
is it big?
>>
>>217731295
I can't remember any. Sorry



[Advertise on 4chan]

Delete Post: [File Only] Style:
[Disable Mobile View / Use Desktop Site]

[Enable Mobile View / Use Mobile Site]

All trademarks and copyrights on this page are owned by their respective parties. Images uploaded are the responsibility of the Poster. Comments are owned by the Poster.