previous: >>42728748• Help, advice, guidance on meds and dosages• HRT related medical experiences and research• Availability and pricing of medications• Rational and scientific discussionSee following post for a pharmacy list.Survey: https://1drv.ms/xs/s!AudRJceTA5C9c2G5lCV2Avq0kQ0▶ Survey data: https://1drv.ms/x/s!AudRJceTA5C9cyIWo6_X14AvHyM▶ HRTGen Data Analysis: https://1drv.ms/f/s!AudRJceTA5C9gRLLWnbpdzlIxe4r▶ HRT Info Sheets: https://1drv.ms/f/s!AudRJceTA5C9gQnyM7wxZcBGWRzW▶ Pill ID: https://www.drugs.com/imprints.php▶ DrugBank: https://www.drugbank.com/▶ Basic HRT: https://apps.carleton.edu/campus/gsc/assets/hormones_MTF.pdf▶ HRT ranges: https://www.hemingways.org/GIDinfo/hrt_ref.htm▶ Powers Method: https://powersfamilymedicine.com/s/Healthcare-of-the-Transgender-Patient-V60.pptx▶ Endocrine Society Guidelines: https://academic.oup.com/jcem/article/102/11/3869/4157558▶ Transline Guidelines (with bicalutamide): https://transline.zendesk.com/hc/en-us/article_attachments/360047702053/TransLine_HRT_Guidelines_FINAL.pdf▶ WPATH SOC: https://www.wpath.org/publications/soc▶ TransDIY: https://www.reddit.com/r/transDIY▶ Blood tests (US): https://www.privatemdlabs.com/, https://www.labsmd.com/▶ Blood tests (UK, Ireland): https://www.medichecks.com/▶ Blood tests (Canada Only): https://bloodtestscanada.com/▶ Blood tests (Sweden): https://werlabs.se/▶ Blood tests by mail: https://www.letsgetchecked.com/ DIY capillary blood samples. Expensive.▶ Lab test guide: https://www.healthcare.uiowa.edu/
Lists of pharmacies:▶https://diyhrt.market ▶https://transfemscience.org/▶https://hrtcafe.net/ ▶https://estrannai.se Hormone Graph visualizer ▶https://www.inhousepharmacy.vu/t-shipping.aspx- Has been popular in the US. Ships from Vanuatu to some countries.▶ euaibolitatgmaildotcom - Ships from EU to Worldwide.▶https://unitedpharmacies-uk.md/(UK only) - Ships from HK.▶https://unitedpharmacies.md/(US only) - Ships from HK.▶https://alldaychemist.com/- Ships from India to some countries.▶https://shape-shifter.webnode.page/- Ships from Turkey to Worldwide.▶https://stayhealthynow.co/- Ships from Turkey to Worldwide▶https://amazing4health.com/- Ships from Thailand to Worldwide.▶https://favskinhouse.com/- Ships from Thailand to Worldwide.▶https://goodstuffstore.net/- Ships from Thailand to Worldwide.▶https://otc-online-store.com/- Ships from Russia to Worldwide.▶https://www.weborderpharmacy.md/(US only) - Ships from India.▶https://www.weborderpharmacy-uk.md/(UK only) - Ships from India.
Does anyone here have resources on how to homebrew injections? I'm getting tired of the anxiety of hoping that vendors stay active
>>42806147>https://hrtcafe.net/Homebrew/index.htmlThe only one guide that I know of is that one.
are there any progesterone spray sellers that ship to EU? or any good alternatives to that? injections need to be daily and suppositories would be difficult cause i'm a sex haver
>>42806176Thanks, that will be a good starting point
I am getting back on HRT after 4 years off, I'm at normal male T levels (1000ish). I want to cut T pretty quickly - should I get on spiro for just a few months, and then go to estrogen/prog after T levels are down?When I first transitioned (8 years ago, was on for 4, now been off for 4), that was what I did and I had really good results.
i got a couple vials of hrt at the same timewhen i run out of my current one next year and have to use my backup what could the differences or risks be of using 1 year old estrogen
>>42807079The ones I bought say they're good for at least three years. I'd just visually inspect them regularly to make sure they haven't gone cloudy and get blood tests when starting the new vial to ensure they haven't lost potency
>>42806129>https://unitedpharmacies.md/(US only)Someone should make sure to add a space after the url on US / UK only OPs next time
Does progesterone effect sleep? I've noticed my dreams have been less vivid on HRT. What prog should I get if I'm in the US for the best results? Can I do it even if my boobs aren't very big?
>>42807428Thanks I fixed it and the others>>42806642If you are going through a doctor that is fine. If you are talking about DIY, you could just do mono therapy injections and at about 1 month in T levels should be adequately suppressed; if your paranoid about your T levels, you could do an AA for a couple of months, but bica is the better AA. >>42808023People say it makes them sleepy and that is why they take it at night. You want the prog to be micronized, and yah it might make them bigger.
>>42808063Is it normal for prog to cause insanely high libido and somewhat bring erections back or is that a sign of dht conversion?
>>42808063I know it makes them bigger but can I it even if I'm early in breast development? I mainly want prog for better sleep.
>>42808115yes for high libido, erections is dependent on the person, and if it is a concern although it is expensive, you should get your DHT checked to see if you are the unlucky few that prog raises your DHT levels.>>42808136Thats up to you, the majority of people say to wait at the earliest minimum 6 months to a year. people say if you take it too early it will "deform" the shape but that all personal anecdote.
>>42808323I wish anywhere close to me even offered dht testing, they don't even want to take my money for it. Guess I'll have to stay off prog till I can find a lab that does it and travel there. It's a shame, I was sleeping like a baby on it
>>42808671>I wish anywhere close to me even offered dht testing, they don't even want to take my money for itnot even for the purpose of "male pattern baldness"? You always want to take as little medication as possible, imo, but if the sleep was that important to your over all day and life take it, and if start to feel you are masculinizing again because of the prog conversion, you could try a low dose of finasteride, either bought or from one of those online prescription sites, untill you can get it tested to see if you need a higher dose and or dutasteride.
>>42808671i have a similar problem.i found only one place that offers DHT where i live but this same place doesnt offer estradiol. it only has estrone and estriol available. i have no idea of why this is lol.
>>42808948>not even for the purpose of "male pattern baldness"? I just checked the labs website on what tests they offer and dht is not listed, so I assume they just don't test for it at all.>you could try a low dose of finasteride,I did consider that, but afaik combining them can cause pretty bad depression and I'd rather not risk that. I'll ask my lab for dht tests next time i schedule an appointment and if they don't do it, travel I guess
>>42808995Where do you live if you don't mind me asking? I was wondering if this is my country being weird about certain medical stuff for whatever reason, because people make it sound like getting dht tested is just easy.>i found only one place that offers DHT where i live but this same place doesnt offer estradiol. it only has estrone and estriol availableI have also never found a lab here that offers any of those. Its only ever estrogen broadly. When I was still on official pills I asked my endo if we could check for e1/e2 ratio on my next test and she looked like she didn't even understand the question
>>42809053>Where do you live if you don't mind me asking?southern europe>I have also never found a lab here that offers any of those. Its only ever estrogen broadly.yeah for all the other labs, including the one i've been using so far, its like this for me too. it was only on the website of this one that offered DHT that i saw E1 and E3 (but no E2).
>>42809005I think the bad depression from fin is because of the imbalance of sex hormones, hypogonadism, in cis males. similar to how if your estrogen isn't at a high enough level, similar symptoms are observed. but again that is just me speculating.
wtf is up with astrovials shipping. i get a tracking number that doesn't work, wait a week as the faq says before sending a message asking what's going on. get an email with a new tracking number, starts working after a few days, but then hasn't updated in a week. are the postal frogs on strike or something or am i just getting scammed herenever had this problem with voix celeste >:(
how dangerous is it if my e2 levels are over 500 pg/ml
>>42811391you're gonna DIE from RANDOM SPONTANEOUS COMBUSTION any minute now!
>>42806120my mom didnt get big boobs untill she got pregnant. if my boobs dont grow that big is there a way to induce the hormones of a pregnancy
>>42811391if those are your trough on valerate i would be worried about spending time too high (>700pg/mL) as the body likes to release a bunch of SHBG and then you dont get estrogenic effects. other than that its fine.>>42811865not exactly. there are steps to grow breast tissue, and inducing high levels of prolactin is not really the best method anymore, unless you specifically desire lactation. the reason being is that milk producing breast tissue will deflate. there are ways to not raise it too much though, so this is still a viable option and many people do still dose domperidone.there are better options though. pioglitizone and glucocorticoids (often clobetasol propionate though there are hypothetically better ones) do work, though they are more risky.more novel methods of progesterone and estrogen applications are an option, with topical progesterone still being the best treatment for assymetric breast growth.past that nbe.works and the r/nbe subreddit have a lot of pseudoscientific methods that i could not verify even if i had all the time in the world
how do I get topical testosterone cream/gel for genital function?
I got my doctor to order a E/T tests, got blood drawn Wednesday, told the results would be out Friday. Should I be too paranoid about it taking longer than stated? Got something in the back of my mind saying "they're reporting your hormone levels to the government because you're clearly on E"
>>42806120Hey there, please help me. So I'm considering taking estrogen, but I don't want breast growth, reduced erections, reduced size of dick and balls. I know raloxifene supposedly prevents breast growth, but I've also seen someone suggest raloxifene actually raises testosterone by a lot not making this a good strategy. Does the raloxifene gel go systemic or will the effects be localized unlike the pills? Should I consider other SERMs? Could I use DHT gel to prevent feminization in certain areas without having to worry it will go systemic such as causing hair loss and worsening skin condition? Thanks in advance.
>>42813534>but I don't want breast growth, reduced erections, reduced size of dick and balls.you cant always get what you want
>>42813578You're telling me there's no way to achieve what I described?
>>42813600You basically want none of the things estrogen will do for you. If you're scared of balding just go on finasteride/dutasteride
>>42813786I want the fat redistribution, softer skin, reduced muscle, lower libido and body hair thinning. That's 5/8 of the listed effects in the chart >>42806120
>>42813786>finasteride/dutasteridereduce scalp DHT by 40% and 50% respectively using standard dosesIf I start taking estrogen and my body's production of testosterone stops won't I get a 100% reduction in scalp DHT cause there's no conversion of testosterone to DHT?
>>42810843same issue here, they were fine last time I ordered around a year ago. Im thinking they started scamming
>>42812192>if those are your trough on valeratethis is like a day or 2 before my trough on cypionatei try to take 5mg/week but i guess i should lower that>SHBGmy shbg is 75 nmol/L how high is that
>>42815796la poste was on a strike until yesterday
>>42812222Im pretty sure buying it DIY and not from a doc is relatively expensive, a cheaper option would be a low dose of Cialis/Tadalafil and then using it to maintain function. >>42812358Not going to report it to the gov, but will probably mention to you that your estrogen levels are considerably high.
>>42816174I did have a conversation when trying to get it ordered where the doc said "Is this... like... a transgender thing?" which is fun
>>42815879knew it. bloody frogs
>>42816185Why are you doing it through your doctor and not directly at a lab?
My 200 mg prog gel caps came in and I’m a bit confused on how much to do as I hear some people say that they do 100 mg and others say 200 mg. Should I start at 100 mg and stay on that for a bit and then switch to 200 mg? Or should I just go straight to 200? Could I cut the gel caps in half to have 100mg?
>>42812192>the body likes to release a bunch of SHBG and then you dont get estrogenic effectsis this even true or a myth?SHBG preferences for testosterone so it would mop up that first, and then isnt the amount of SHBG released in proportion to extra estrogen, so it wouldnt block anything just soak up excess?afiak this only matters for liver/kidney stress and medication cost from dosing too high
>>42816238because then insurance covers it
>>42816339I just went straight to 200 myself. You can't cut it in half unfortunately, since the medication is *in a liquid* inside the capsule. Then again you could probably do some temperature-related shenanigans; I already that a bit by running the cap under cold water to make insertion easier.
>>42813534it seems that you have read up the effects of HRT, but are still hung up on the breast growth and the potential loss of genital function. Unfortunately for you, estrogen will cause some breast growth, and potentially some loss of size and or genital function, but you can use it or lose it. Using a SERM to prevent breast growth is a hit or miss, you are most definitely going to get some gland growth under the nipple even though you are taking a SERM, whether the growth is stunted from the SERM, ralox, is the hit or miss, >>42813812, Taking Fin and or even Dut does have a small side effect of causing gynecomastia, breast growth.>>42813600, the only way to get what you described would be to remove the glands, and to "use it" to prevent losing function, but your balls will shrink.
>>42816418powers says so. SHBG does prefer androgens but if you don't many and have crazy amounts of SHBG, it will absolutely bind to estrogens in your blood, which applicably lowers the amount of free E2 that can bind to receptor sites.i am again gonna side with powers on this that the solution to stopping this hole in ship that is SHBG is not to build a bigger ship, its instead to plug the hole with boron supplementation to neutralize SHBG.SHBG really effects breast growth as well, which is why applying local T gel to the breasts with bica or spiro is sometimes recommended to divert local SHBG>>42813534 last i read tamoxifen gives a better shot than ralox does. if you are just after body fat distribution, pio might be worth looking into.
>>42817610>potentially some loss of size and or genital function, but you can use it or lose it.so you're saying I can maintain the size of my dick if I masturbate every day or something like that?btw can anyone answer this >>42813838
>>42817885> I can maintain the size of my dick if I masturbateyes, you may still lose a little size, but yes>>42813838yes, maybe not fully a 100% reduction, but a huge reduction.
>>42817880nta, but we dont fully understand what the point of SHBG fully is, Yes you are right SHBG wants to bind to androgens to a higher affinity than estrogen, but some theorize that the point of SHBG is to "preserve" the hormone and either release it later when it "needs it" to maintain hormonal homeostasis the SHBG binds to the hormones to "delivery" it to specific places. I say this while agreeing with powers with boron supplementation just wanted to blurt it out.
I’ve been injecting estradiol enthanate 5mg weekly for a month now. Subcutaneous injections in my stomach area. I’m getting these hard spots and red skin that’s very itchy in the injection areas. It came on about a week ago. I injected today and nothing wrong with where that went in yet. Any ideas?
>>42818115That is normal, that is just estradiol entanate depot. Itchiness is fine (could be an allergy but it seems it doesn't happen every time), just make sure if you are not already, rotate your injection sites, side of the butt/hip is another good option for subq.
>>42818188forgot to say, I do notice the lumps and get the itchiness if I inject in my stomach area, that is why i said the side of the butt/hip is another good option.
>>42818188Thanks for your response. My wife is freaking out about it. How long will it take to go away?
>>42818223The itchiness comes and goes and it depends on the injection site, the lump is going to be gone in a week or so after the injection as your body processes the oil and the estrogen and the other additives, but the lump is going to be a weekly thing, its just something you shouldn't worry about.
what would happen if someone took Dutasteride, Prog and Bicalutamide?
>>42818851bica is an anti-androgen so taking bica and dut is pointless. since bica is an AA it will block dht from binding. Taking Bica is fine up to a certain point, and if you are taking or considering taking prog, what’s the point of not being on estrogen, and only doing an Anti androgen?
>>42817880>i am again gonna side with powers on this that the solution to stopping this hole in ship that is SHBG is not to build a bigger ship, its instead to plug the hole with boron supplementation to neutralize SHBG.oh really i thought the solution would be to go off e for a few weeks on aa and then start e again at a lower dose and test shbg weekly or something like that. i heard boron was dangerous or no longer recommended
>>42806120Does estrogen make you tired when starting out? Am two months in.>2mg e subq every 5 days>limbs feel weak>feel tired even after sleeping
>>42821320I had that when I started out on pills. It went away after a few months. I was glad for it back then because I used to have severe insomnia, but most people don't seem to have it
>>42821320>>42821754Also that seems like a very low dose, what ester are you on?
>>42820005wouldn't dut increase aromatase though?
can you inject 4mg every other week instead of every week? what happens if you do that?
>>42822086what ester? you can use https://estrannai.se/ to visualise an estimate of your levels
>>42822164I got Ethnate because that's what all the diy places sell.
>>42822086Why would you do that? You would slowly grow breasts and not much else. >>42816418>isnt the amount of SHBG released in proportion to extra estrogenThis is why I am never worried about SHBG. Higher doses could give you a worse e2/free e2 ratio, but they will still always give you higher total free e2. Could be different with pills.
>>42818115i have the same problem :(FWIW im only having this ever since i switched to subQ, i didnt have this problem with IM.but it might be the same with IM, maybe its just that it gets hidden behind layers of muscle and skin and whatever.
>>42822086>>42822164>>42822238i think there are some people who inject every 10 days rather than every 7 with enanthate. but they make up for it with a higher dose and 14 days is probably too much.
>>42812358nah unless you live in a country where being trans is illegal or something they dgafactually usually they dont say anything at all but last week i went with a new lab due to reasons and they actually called me the day after i got my results to tell me that my t levels are abnormally low, but i just said "yeah i know" and she said "ok we advise you consult your doctor" and then hung up on me lmaodidnt even say anything about the 300pg/ml of e2
>>42821320im assuming youre injecting ev based off of the injection schedule. increase your dose if you can (unless you have blood tests indicating otherwise), 2mg is pretty low.regarding fatigue, it isnt typical but also not unheard of. anecdotally i was quite fatigued my first two weeks but energy levels returned by end of first month. have you had any recent bloodwork done? its possible that you have partial t suppression + insufficient e causing fatigue, but hard to say based solely off dosing since everyone reacts differently. could also be an unrelated factor, like stress or sudden lifestyle changes
>>42821971yes it would increase aromatase activity causing more estrogen, but again another way to increase estrogen would be to take it
How important is keeping shbg low? I've seem people argue that injections can have worse results than pills + blockers because the raised shbg stalls feminisation, is this true?
How do I dose transdermal progesterone? Website of my supplier recommends amounts to 24-32mg, but that seems incredibly low compared to what people are taking in pills/as suppositories
How long does it take for E/T levels to drop and then return to normal once you stop HRT?
>>42826717Depends on what you were on, what kind and for how long. If your hpg axis was totally suppressed, as years of injections would do, it can be months to in some cases years. If it was pills it depends on the anti androgen partly, but way sooner
>>42826011Pills raise shbg more than injections. Keeping shbg low is not important at all. Higher shbg caused by high e2 does not mean lower free e2.>>42826666We don't know. It is possible that transdermal works through a different mechanism. It will not reach high systemic plasma progesteron levels like injections or pills. It does give high local tissue levels.
>>42826859>will not reach high systemic plasma progesteron levels like injections or pills. It does give high local tissue levels.I did not know that. What is it even good for then? That makes mood and libido improvement impossible and help with breast growth doubtful no?
>>42826890It will still travel through your body, but by different means compared to other routes of administration. What practical difference this makes for us is not known. You could look at how it is used in cis women and what the limits of transdermal and vaginal use are. But in the end we just know nothing. Try it and see how it affects you.
>>42826760thanks yeah it was injection mono therapy, guess it would be a while till I had enough of any sex hormones to feel normal again after it drops from lack of external sources
Where do you buy needles?Is it fine to reuse a syringe? For how long?Is alternating thighs every week and switching between 4 spots enough?
>>42830050>Where do you buy needles?https://diyhrt.info/resources/injections/>Is it fine to reuse a syringe? For how long?Never>Is alternating thighs every week and switching between 4 spots enough?Yes that is fine, you can also do the stomach area if you are doing subq
how strict are geman customs with stuff that is outside of the EU? Are there some countries like the UK or US that they are more lenient with? This is about injections so no 'official' prectiption drugs.
>>42832624why not order from the EU
>>42832706astro stopped selling things for now too. if there are other trusted sellers from within the EU, please share. with vox also gone i am not sure where to order from.
>NeverYou mean the tube? Not even if I change the needle?
How do I cope knowing that I'm 1 year in, seeing some good progress, but I'm 3 years away from being slim and fit (I've also been on Mounjaro since last year, went from 111 kilos to 103 right now), and I'll be 35 by the time I'm thin and beautiful but an oldfag?
>>42832730I checked their site, they paused orders because issues with tracking? That seems odd, but not like they're quitting like vc right?
>>42832765By realising that trannies age well and our 35 is cis peoples 25
>>42833087This may be a stupid question, but what is the reason exactly? Is it because estrogen helps the skin or is it because testosterone causes damage to the skin? Is it both?
>>42833194Estrogen has protective effects on the nervous system and the heart and promotes collagen production in the skin, which makes you look younger for longer. Of course it also does that in cis women, but they have a cycle where estrogen is quite low for a good chunk of the month. Trannies have consistent high levels, so we always get the consistent protective effects.People will call this honscience or cope, but its true in my experience
>>42833251>promotes collagen productionCould you reap the same benefits by taking supplements like collagen? Do you think an optimal supplement protocol could beat frequent, consistent estrogen injections in terms of anti-aging? What would the difference be?
>>42833382Collagen supplements probably do nothing. All studies that claim they do is affiliated with the supplement industry. The molecules are too large to be absorbed through the skin at all and if you eat it, it gets broken down into amino acids anyway. Retinoids can provably boost collagen though, so those would help. Anyone who claims to have a supplement protocol that generally slows aging across all indicators is probably lying though
>>42833382>Do you think an optimal supplement protocol could beat frequent, consistent estrogen injections in terms of anti-aging?>>42833462So estrogen wins is what you're saying?
>>42833561I think it does. Most people I've met that have been on hrt for many years look basically frozen at the age they started. There's also mechanisms that could explain why that is, so I think its not just misperception or bias, even if it hasn't been studied directly
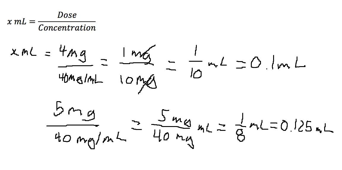
I'm using a vial of "Estradiol Enanthate 10mL 40mg/mL". If i want to inject 4mg using a 1ml 30g 13mm syringe (picrel), where in the syringe should I fill to? I apologize if I'm being annoying, I don't understand the math. Thank you in advance to everyone who answers.
if the syringes go up to 50 on the side, are you sure they're 1ml? Regardless, so long as they're U-100/IU-100 syringes then 100 units = 1ml, 50 units = 0.5ml, 10 units =0.1ml, etc.You want to be injecting 0.1ml, which is marked at 10 on an IU-100 syringe.
>>42834197>>42834288forgor to add the reply arrows because stupid
>>42832737yes
>>42832737starts getting contaminated once you take it out of the wrapping. i mean you can reuse it if you like, but only if you're a big fan of sepsis
>>42834390My syringes aren't even individually wrapped. I get the 10 packs of insulin syringes and store them in a disinfected Tupperware after I open the bag. Is that an issue? It's been fine for me so far over the last 6 months
anyone from portugal know how to get stuff from online pharmacies? ive been looking for pio but no one ships here bc packages always get stuck in customs
I injected 4mg and I felt a difference at once but now I don't feel shit
>>42834986You don't immediately feel different. Its not drugs
>>42835017I don't care how many people tell me it's just a placebo there's a definite shift the moment after you inject for the first time, I've felt it both times I've tried e.
>>42833561what about antioxidants like glutathione, NAC, and whatnot? surely any MtF can benefit from them for looking younger for longer?
>>42835657I was the one asking whether estrogen does more to prevent aging than an optimal supplement protocol consisting of other substances and according to this person >>42833695 it does.
where sells the cheapest prog that ships to ireland
>>42823726happened to me once too, they called me and were like "ohh, your levels are weird, we were wondering if we wrongly labeled the blood" or something along these lines lmao
>>42835075it's still placebo.
>>42806120Who is the best supplier for the UK atm?Also I have a friend who wants to start, but I'm not sure what to recommend as an initial starting dose (and whether to recommend pills or injections, or a blocker, etc) because I started years ago when everyone took pills and cypro
>>42835075consult the graphs... it takes a while for the E to end up in blood if you do subq or im, there's definitely no instant shift after injection unless you fuck it up and inject straight into the bloodstream.
>>42834197is that actually the syringe you are using?https://archived.moe/lgbt/thread/42350151/#q42436504https://archived.moe/lgbt/thread/42214711/#q422719554mg of 40mg/mL = 1/10 mL or 0.1 mL thats the "10" units markingthe syringe in the pic is a 0.5 mL syringe but the markings are still "units" or "cc" which is cubic centimeter, and a cubic centimeter of pure water is 1mL. so its still "10" units but thats not a >1ml 30g 13mm syringe (picrel)as you say, though its probably better to use 0.5 or 0.33 mL because the inherent error in measure will be smaller with a smaller syringe, which is good. matters less for round numbers like 4mg and more for 5mg where you are measuring 0.125 mL etc
>>42834410>My syringes aren't even individually wrapped.same but i think the caps are airtight? theres one on the needle and one on the back too idk how it works. the 10 pack bag is perforated lol thats definitely not sterile
>>42835704Antioxidants don't broadly prevent aging. >>42835880I don't see how they would be airtight, its just plastic not rubber. I'm not too worried about it, but I have wondered if it's technically ok since I think the assumption is that a diabetic would use those ten syringes up within like three days
also, taking Mounjaro and HRT together helps me stay consistent as I'm on EV sublingual pills and Spiro so I want to make ensure I don't miss a dose, maybe it'll help keep off the skelly face gaunt look that some people get when they're done going skelly mode after Mounjaro.I am such a faggot fat retard, I should have started HRT ten years ago but I lived in doubt all along
can someone invite me to the pio discord server?
Does anyone else feels like progesterone helps them unclench their jaw? I have problems with clenching and bruxism and prog just almost totally fixes those. I know its the prog, because I paused and restarted twice and I wonder why that is
>>42806120Does anyone know how to get Pioglitazone? I fucked up and need it.
>>42836411i've never taken prog but from what i remember prog eventually metabolizes into some other substance that has GABAergic effectsso it makes sense, a lot of people report feeling sleepy w prog for the same reasonits as if you were taking valium or wherever
>>42806120Spiro makes weight go to the waist right? Im going off it, but a low dose of cypro 12.5 every other day, should i lose weight until im on only cypro for a while? And how long should i wait on cypro until i gain weight again?
>>42838323isn't spiro redundant if you inject estrogen consistently enough?
>>42838323>should i lose weight until im on only cypro for a while?i don't understand your question. spiro will make you retain water and increases cortisol levels but the key factor in determining if you should be weight cycling or not is moreso if you have good estradiol levels or not.>>42837634hrt.coffeedashpct aipctshopdragonordnancediyhrt.marketindiamartpctzonecanadianpharmacyking.comaffordablemedscare.comallgenericpills.com365chemists.comweborderpharmacy.mdokdermo.com>>42836394r u in jail whats ur discord i'll add
i was on 3,75mg gel daily taking 2x50mg spiro, one when i woke up and one some hours before i'd go to sleep, I had high T on my last blood test but can't take more because of price reasonsi had to switch the gel for birth control pills for the same price issue, currently taking 2x2mg EVshould i make the spiro dose higher to compensate? some days have passed and i feel different from when i was on gel and i'm afraid is some absorption thing
>>42834288>>42834296thank you!! yeah it claims (picrel) on the product page that it is 1ml, and it says U-100 >>42835865thank you! yeah, that's the one i ordered, it's weird you say that because in the pic i used that was the one that was labeled as the 1ml syringe. I'll send the full pic in another post
>>42835865>>42839740
>>42832624Pls somebody help :<
will progesterone help with cone boobs?
>>42840507Idk, but just order to abandoned mailbox if you are afraid of it being caught. Chances of it not coming through are the same, but at least you will not have burned your own mailbox.
i'm really stupid but should i be injecting 4 or 5 mg of EC?i'm afraid of underdosing myself but my blood tests suggest 5mg is too high
>>42842612how high is too high?
>>42842634i wasn't able to measure at trough so maybe the test is uselessbut over 500 pg/ml 2 days before injection.my t levels are like 16 ng/dl and i'm worried if i underdose i won't have enough e to suppressi'm worried if i go to 4mg i'm going to hondose myself and it won't be enough to suppress or get good levelsalso how high is too high for shbg
>>42842634hrtgen moves so slow i already posted itt kek >>42811391but i just need to know if i lower my e dosage based on my test resultsi also really don't wanna get another blood test. i got so dizzy during my last one the nurse i was genuinely scared
>>42842667the T is good, very low. you can probably afford to drop the dose a little because yeah, your E is a little highIf SHBG isn't like >150nmol/L you can ignore it
>>42842751>the T is good, very low.i might have been low t before starting, i don't have a baselinei just don't want to have to worry about t levels and i'm worried if i go down i'm going to start wondering if i'm suppressing it properly>your E is a little higheven if it's not trough feels like it's more than a little high>If SHBG isn't like >150nmol/L you can ignore ityeah it's under 100nmol/l
>>42842813I have almost the same levels at 4mg een/4days. Was also thinking about going down after I saw my labs and decided not to, since I feel fine and making fast progress. If you are feeling fine and T is suppressed, I would just stick with your current regime and not try to fix something that isn't broken. Maybe check prolactin next time. That is the only thing that can really hurt you, but it is not likely to happen on mono, even with high e. shbg is unimportant.
>>42842929>4mg een/4days.isn't that way too ofteni thought een was injected every 7 or 14 days>Was also thinking about going down after I saw my labs and decided not to,seeing my e2 more than 2x the target is concerning>If you are feeling fine and T is suppressed,i'm a lot more tired now than usual but idk if that's lifestyle
>>42842969>2x the targetWhat is that target based on? Nothing. And we are talking about 500pg/ml here, not levels where there is actual reason to assume it could carry risks. Every 4 days gives me very stable levels. Nobody knows if this is better or worse than bigger fluctuations, but I feel good.
I inject every Saturday morning, which means I can't get my levels tested at actual trough, since the lab is only opened till Friday midday. Will this make a significant difference to the usefulness of the test? Should I move my injection day and if so, how many weeks ahead of the test do I need to do that?
Which one in that list is the best for delivering estrogen to the UK? Do any of those places accept bank transfers from a UK bank instead of fucking around with shady money transfer apps or crypto? On the one hand I don't want my bank knowing that i'm a tranny who desperately wants curves and tiddies of my own and start asking awkward questions about why i'm suddenly sending money to Thailand or Turkey or somewhere.
>>42843111day before is probably fine thats basically trough for all practical purposes>>42843615just get crypto
So im like 19 months into HRT.Current Does: Estradiol Valerate 0.3 ml subcutaneously once Weekly.Spironolactone 50 Mg DailyProgesterone 200 Mg NightlyLevels:TESTOSTERONE - 9 L (This has been addressed in my last appointment. I was reduced to 50m mg of spiro daily from 100)ESTRADIOL - 375 HAm I getting fucked by my endo lol
I have no access to getting bloodwork, and I only have oestrogel gel pumps and oral progesterone where I live. How do I safely dose myself without being able to properly know my levels?
>>42843667whats your vial's concentration?>>42843835with gel you basically dont since its very subjective from what i've heardbut what do you mean you dont have access to getting bloodwork? like why?
>>42843667wat is H is that pg/moles or ng/dl?
>>4284403820 mg/ml (Hope thats the right string of things on the script)>>42844329I believe pg/mLIm like actually retarded with this stuff lol.. I figure I should actually attempt to change that and post in here for once.
Does injectable estradion supress T? Or do I need to take some T supression alongside injections?
>>42845222you don't need anything besides estradiol injections for monotherapy, study the op carefully
>>42815879Wait let me get this straight thenPeople say its normal to wait a month for a delivery from la poste. But they were on strike for a month. So we have to wait another full month now? Someone just fucking nuke france at this point
>>428463227-14 days is normal im waiting a month now
>>42844607youre on 6mg of EV/week. sounds adequate, you're not getting hondosed if thats what you're worrying about.what makes you worried about your dosage?
>>42846989Thank for the explanation, I will cure this retardation slowly!And nothing really I guess. I just kind of started paying attention to the whole discourse around the actual act of performing HRT after starting it.I also started late af, so I never really had high expectations anyway.. But once I started actually reading threads like hrt gen, and seeing that there are things like "hondosing"(which i still dont think I understand correctly lmfao) and what seems like idiot doctors operating off 30 y/o knowledge, I kind of just started worrying that maybe my endo was a fool too. TBF, my endo is a Hon lol, so I did have some internalized biases too lol
>>42848120the only thing that is suboptimal about your HRT regimen is that you're doing EV once a weekDIYers usually take EV once every 4-5 days because thats optimal for having stable levelsbut at 6mg (and with spiro on top of that) you're above whats usually recommended by DIY resources for EV (4mg) so you're kinda making up for the lower frequency with a higher dosage. not a hondose at all.
>>42848244I can't thank you enough for this break down. I wish my endo explained this when starting injections. I will probably bring this up at my next checkup.
>>42839040>r u in jail whats ur discord i'll addi seen an invite but didnt join @durgtep
>>42848244nta but should i start injecting every 4-5 days instead of a week if I'm now injecting 4mg instead of 6mg? i was on 6mg weekly for around a month (having never been on hrt before that) but started doing 4 since my last injection
Is Hera hrt any good?
>>42850017if its EV yeah
How do I inject subq in my butt? I keep reading you should only use the upper outer part for injection, but I need to rotate injection spots more. Isn't anywhere fine as long as it is subq? I did stomache until now, but I want to avoid the local fat protecting properties e has on stomach fat.
>>42852127relax the leg, twist to look, flex your butt. whatever you can't move with your muscles is probably safe. breaking the skin will pinch, and if you're hurting yourself with the poke it's probably just a sensitive spot, you are not likely to hurt yourself with a typical subq syringe. A little dot of blood may result from a bad placement, but it'll be fine. For my skinny ass it seems like an unreasonably high target, it's about 3-5inch sq area right underneath my pelvic crest with a soft pad of fat, it may be more on the side for you.
bump
what levels should i be aiming for if i’m on gnrh analogs that nuke my t?
>>42850931Its on diyhrt.market, it has been vetted and it will fine. Good Luck!
>>42852003 thank you mine is Estradiol Enanthate, so does that mean i should just keep doing it every 7 days?
>>42852127>but I want to avoid the local fat protecting properties e has on stomach fat. is this bad? should i not do subq on my stomach?
>5mg/week>2 months everything normal>wake up>random morning woodshould i be worried? why would this change now?
>>42852127>local fat protecting properties e has on stomach fatFat has been moving away from my stomach quickly since switching to injections. I've never heard of this effect, but if it does exist it seems to be small at least for me
>>42855500Maybe you just had a horny dream? Or your levels aren't fully stable yet, not implausible at just two months
>>42855798yeah idk ive just gotten used to not waking up like that and it was alarming
>>42855500i’ve been on gnrh since i was 16 so my t levels have basically been female range since then, and i still get morning wood like 2 or 3 times a year
>>42855819I feel you. There's a reason general advice is to get your first blood test 3 months in. Get your levels checked in a month and until then, don't worry about it
>>42855838It is such a nasty feeling to wake up to though, even more when you've gotten used to it not happening. Wish there was a way to stop it for good that didn't cost 5 figures
>>42855875im sorry that it bothers you. im not sure if theres any way to stop them completely, but i just wanted to add my 2c because i think its not necessarily abnormal to get them rarely. trust the process
>>42855417yeah if its EEn you're supposed to do it once every 7 days
>>42856010oh ok, thank you
is 3mg ev every 5 days a hondose? i’m also on blockers as well.
>>42857885you likely will feminize if your blockers are working, but that is a little low so expect slower and less complete, combined with lethargy, depression and irritability the days before the next dose.>>42855225still somewhere between 200-700pg/mL, with different people require different levels for best free E2%
>>42858247fuck my endo refuses to prescribe higher. diy is such a pain too.
>>42858329its not that much of a pain. its very often cheaper too
>>42855850sounds reasonable. im just flying blind atm so everything is a case of 'what does it mean'>>42855892good to know thanks
do not die
>>42861038i live in canada and its a pain in the ass because customs is a bitch about it. open gate labs currently shut down canadian sales so not sure where to source from
my EEn just arrived today so i got some insulin needles from the chemist. is 31 gauge good for subq? also how much should i inject? (40mg/ml)
>>4286299731 will work, will probably take longer to draw and inject if its a heavier oil since its a high gauge. You want to do 4-6mg EEn every week, and if you want you can do a loading dose, a double dose only in first week, to get at desired levels earlier and T suppression earlier. If you wanted to do 5mg every week, 5mg*40mg/mL=0.125mL so round up to 0.13mL. If you choose to do a loading dose for your first week, you would inject 0.25mL,10mg, this first week, then 0.13mL, every week for 5mg. You have 0.5mL insulin syringes, which is perfect.a good guide, and an interactive graph>https://pghrt.diy/>https://estrannai.se/#i0_cu,10,7,2-5,7,2-5,7,2-5,7,2-5,7,2-5,7,2_c,5,7,2
Hi, I'm an interesting case and I'm needing some helpI'm 19 (20 on the 31st), 72kg, 173cm, twink with small Venus tummy build, been on HRT (legally) for the past year (started 4th Feb 2025)For the past year it's basically been 4mg Progynova estradiol valerate sublingually + 12.5mg Siterol cyprtoterone orallyNow I'm switching it up, Goserelin injection soon which kills all testosterone production at the source, orchiectomy happening in 3 months and most importantly, I'm switching from pills to injections, just placed an order for a vial of 10ml/400mg (40mg/ml) estradiol enanthate and I plan to inject it every week intramuscular with 25mm needles (I can't inject subq because I'm a type 1 diabetic and I've injected insulin into my stomach for the past 11 years)My question is, how much enanthate should I inject per week? It says the standard weekly dose is 4mg and a lot of people have told me you need to lower your dose on injections a bit but it will work even better than pills. So how much should I inject or how do I figure it out?Thanks
So, hsts can be straight for trans, or always have to be cisphilic. It's possible st4t without meta attraction
>>42863164Sorry fuck I should have mentioned, attached are my Testosterone and Oestradiol readings taken 4 days ago
>>42863159thank you nona!
>>42863164>(legally)fuck off >how much enanthate should I inject per week?>Goserelin injection soon>orchiectomy happening in 3 months you probably want less than the standard monotherapy dose yes. maybe inject 2mg enanthate for like 4 weeks then test at trough and base your dose off of that>I'm an interesting case ?
bumo
>>42865578based bumoer
>>42863164If you are going to get an orchi in 3 months, what the point of going on Goserelin for that short amount of time? You could just keep the HRT the same untill the orchi, then determine the mg for EEn injections.
does progesterone make you more crazy
>>42866386It makes me calmer and enjoy life and also fixes my anxiety
The only thing that compares to the calm and relaxation of progesterone hitting is the first cigarette after several months. With the horny on top of that, it's almost like an actual drug