[a / b / c / d / e / f / g / gif / h / hr / k / m / o / p / r / s / t / u / v / vg / vm / vmg / vr / vrpg / vst / w / wg] [i / ic] [r9k / s4s / vip] [cm / hm / lgbt / y] [3 / aco / adv / an / bant / biz / cgl / ck / co / diy / fa / fit / gd / hc / his / int / jp / lit / mlp / mu / n / news / out / po / pol / pw / qst / sci / soc / sp / tg / toy / trv / tv / vp / vt / wsg / wsr / x / xs] [Settings] [Search] [Mobile] [Home]
Board
Settings Mobile Home
/lit/ - Literature

Name
Spoiler?[]
Options
Comment
Verification
4chan Pass users can bypass this verification. [Learn More] [Login]
File[]
  • Please read the Rules and FAQ before posting.

08/21/20New boards added: /vrpg/, /vmg/, /vst/ and /vm/
05/04/17New trial board added: /bant/ - International/Random
10/04/16New board for 4chan Pass users: /vip/ - Very Important Posts
[Hide] [Show All]


[Advertise on 4chan]


File: ma.png (53 KB, 583x572)
53 KB PNG
STEM majors can read dostoevsky, tolstoy and all the other shit we read, but we can't do any math, how do you guys cope?
>>
Baggage is not the same as intelligence.
>>
>>25231613
>way more smarter
Can't tell if baiting
>>
Tbh /lit/ is not smart at all. /tv/ is more intellectual than /lit/. This board only has pseuds and schizos.
>>
>>25231613
this is a falseflagging post by a STEM undergrad. in actuality STEM grads are just as retarded as the retards posers on this board. the real intellectuals made their money on shitcoins at 13 or run a local HVAC business.

t. phd in STEM field
>>
>>25231613
good luck getting bitches with your quadratic equations, nerd.
literate chads quote poetry and speak with eloquence until them panties drop.
>>
>>25231640
most authors can barely speak, let alone speak eloquently
you're thinking of actors and scammers
>>
>>25231616
They're definitely baiting
>>
it might be an affinity issue, i tested 99th percentile in every math category and was always on the fastest math track up until college when i stopped taking math, never really had any interest
>>
>>25231668
High school math is baby shit compared to uni math, this isn't the flex you thought it was
>>
>>25231613
Most STEMtards I graduated with were either pure normgroids, emotionless autists or manchildren incels. Only the top STEMchads are into classical lit.
>>
>>25231680
not him but yes obviously things increase in complexity as you further your study in them, but are you supposing that performance in earlier stages is completely unrelated to performance in later stages? unless you're a child prodigy being sent to college in your tweens, everyone has to follow roughly the same path regardless of their talent and potential
do you think someone that got all perfect grades on every math test and class up through college is equally as likely to succeed as someone that got all 0s while trying their hardest?
>>
File: 4563457456656.jpg (22 KB, 396x396)
22 KB JPG
authors can write a book about math.
mathematicians can't do math about a book.
>>
>>25231703
performance in math up to undergrad level is basically a childhood IQ test but you actually need to study and practice to pass shit like real analysis 3 even if your smart
>>
>>25231706
>mathematicians can't do math about a book.
yeah they can retard what do you think chatgpt is
>>
>>25231713
are you supposing that childhood iq tests are meaningless? unless you're administering them at 2 years old, iq is a pretty strong predictor of success in pretty much all academic fields
>>
>>25231613
Eh it's weird. I envy the employability of STEM people, but I also find them to be boring and generally lacking in introspection and creativity. A lot of times people I know that are really good at problem-solving and math and stuff don't actually seem that smart because they lack depth or a spiritual dimension, and the capacity to pursue or care about deeper truths.
>>
>>25231720
>what do you think chatgpt is
glorified autocomplete
>>
>>25231613
You just do both because both are interesting.
>>
>>25231731
It is because they are living ChatGPTs. They're good at associating symbols together but pay zero thought to the underlying reality behind those symbols.
>>
>>25231613
You can (and should, if you're at all intelligent) study both, it doesn't matter what you officially focused on in college.

t. CS major
>>
>>25231689
this, a proper stemchad is an amazing friend but they are rare as fuck. most stem people are disney adults
>>
>>25231613
Most just plug and chug equations.

Also speak for yourself. I am stem and lit
>>
>>25231744
What an extremely false thing to say, as a stem major knowing the why is basically the whole point of a stem major and is taught in every worthwhile school. Honestly, to me it seems like you are just butthurt
>>
a smart person wouldn't struggle with either, hating one over the other is peak midwittery
>>
>>25231772
>knowing the why is basically the whole point of a stem major
>frictionless air resistanceless calculations where g = 10m/s^2
>>
>>25231613
I majored in math so I have no quarrel with my STEM brethren.
>>25231623
/ck/ is the few authentic boards left on this site. /lit/ is so predictable and placid, just make a thread about speed-reading and the first 5 replies will all be the same every time.
>>
I have never used any math, outside very basic arithmetic, in my adult life.
I'm a musician, with no actual music theory education. When I rarely play with STEMfags/theoryfags, it's a nightmare. They approach creativity and expression as an equation that's meant to be solved. Art is the antithesis of science, you can't properly express your true emotions through a formula.

Life is about experiences, not solutions. Literature does more for me.
>>
Hey bro you going to the quad later?
>>
STEMcel here, I consider myself the most retarded person on earth, all people here are intellectually superior than me and it's quite uncomfortable to admit that
>>
File: 1771357536416.jpg (288 KB, 993x674)
288 KB JPG
>>25231668
Missed your chance to be taken into the dark forest where the owls go "hu hoo"
>>
>>25231787
>/ck/
>authentic
discussing goyslop and nostalgia for 90s goyslop is cattle behavior
>>
>>25231725
even at 15-16 you've got time to plateau early and fall behind your peers by your early 20s

coulda shoulda woulda don't matter when you didn't. the world is full of "smart but lazy" faggots who never amounted to anything because you don't get a free ride for being 130, you need at least 160 for that and most "smart" people just aren't.

chances are you would've washed up like most. you can't know you can do it until you've tried.
>>
>>25231772
>as a stem major
bro you're fucking underage
>>25231744
and you're too stupid to understand what smart people do at work all day. the vast majority of STEM work is infinitely more grounded than the asinine language games played by academics in the humanities and social sciences.
>>
>>25232002
i have no idea what you're trying to say
all i'm saying is that statistically, relatively high iq scores and strong academic performance are good probabilistic, not deterministic, predictors of future success
>>
>>25231804
here we see the artfag in his natural habitat, accusing others of being living chatgpts while regurgitating and remixing strings of text he has previously observed without any deeper underlying understanding (non-verbal)
>>
>>25231613
many of the math/physics majors in my advanced classes like complex analysis were borderline illiterate
>>
>>25232009
>statistically, relatively high iq scores and strong academic performance are good probabilistic, not deterministic, predictors of future success
you're comparing yourself with fucking forklift operators retard

the correlation is not nearly strong enough to predict that you wouldn't fail real analysis until you actually try. yeah someone with above average intelligence is much less likely to be a hobo than someone who is retarded but it's not nearly as granular as you think in terms of predictive value.

the fact that you didn't pick a serious academic pursuit is more telling than a single data point recorded in your teens. succeeding in the hard sciences, engineering, math or medicine takes a lot of focus and grunt work which are anathema to wishy washy faggot types such as yourself.
>>
>>25232019
did you forgot about the
>not him
i'm not the math guy and i'm not saying that one person doing well in math in high school will deterministically make them more successful in everything in the future
>>
>>25231613
what do you mean we kemosabe
you dont know me from a math teacher like epstein
>>
>>25231713
>you actually need to study and practice to pass shit like real analysis 3
no you just need to eat 2 weeds and nothing interesting is told to an undergrad because the professors are afraid that if uncredentialed people do things credentials would be worth less
>>
>>25231731
So why not be both?
>>
>>25231731
I think the two forms of intelligence are mutually exclusive to an extent. On the one hand there’s aesthetic intelligence focused on pure contemplation and expression without ulterior motive. On the other hand there’s STEM/practical intelligence which is purely concerned with things as means to some end, never with their intrinsic beauty.

That being said, the great physicists of the 20th century all seemed to be very cultured in terms of poetry and literature and music and art in general, so these two types of intelligence can apparently both be cultivated at once.
>>
>>25231804
Yeah, I’ve also found that most STEM people are more impressed by technical/virtuosic music than by stuff with actual soul. In a jam session the STEM major will always be the one who plays some overcomplicated line without any rhythmic or melodic feeling
>>
i was a stem major and the only reason i read now is because i had to escape from how fucking retarded most stemmies are. dont get it confused. socialization is discrete thing. anybody who is socialized on twitter or 4chan will turn out unconsciously socially retarded and delusional about the way the world works, even if they can write LISP or do proofs in lean. never forget that Einstein loved TBK and played violin, Newton studied the Bible, Gell-Mann liked Joyce ("three quarks for muster mark,") and da Vinci was most famous for his paintings for a long time. the arts nurture the brain's ability to describe things in a creative way and stem beefs up the technical aspects. dont neglect either guys, be truly well rounded
>>
>>25231613
Most modern STEM majors know virtually no math. 99% of STEM is bullshit and hard math and physics majors are the only reliable exceptions.
>>
>>25232116
based wholesome poster
>>
>>25231747
>CS major
CS is basically a gay liberal art and shouldn't be under the STEM umbrella.
>>
>>25232125
maybe im ignorant but surely a good number of the engineers know math and physics to some extent
>>
>>25232130
The math required for most engineering degrees is trivial and barely above high school level math in most European and Asian countries.
>>
>>25231613
Math is hard because it's formalized abstraction built upon itself and humans just don't think that way naturally in real world. Like playing your very first chess game, you dont "see" the board and hang your queen while someone 10000 hours deep can spot blunders 3 move ahead and anticipate opponents move. You probably think he's a genius.

It all boils down to familiarizing and rebuilding your brain chemistry over thousands of hours worth interaction to this specific way of thinking. I don't think it's superior, it sure is useful and you can do loads of interesting stuff but that's because we built these abstract models that way.

I don't consider myself better for giving my 15 years to this particular way of thinking as opposed to some other. You guys take this way too seriously also
>picrel
Yeah you're an undergrad, grow up kid.
>>
File: 1770545684722680.png (62 KB, 894x894)
62 KB PNG
I'm a STEM major and I feel like a retard most of the time
>>
Do you people have nothing better to do?
No one cares about CS bachelor's degree Ranjesh, go back to /g/ or xitter and never come back.
And all of you are also pathetic for engaging daily with these bait threads about women, modern /pol/ shit, communism and every other sort of low effort garbage that permeates this board nowadays. I hate it that this is the closest website on the internet where i can have a serious literary discussion and that i have to share a board with you subhumans. I wish someone made a /lit/ altchan so the erudite posters could seperate themselves from the drivel that the crossboarders and other trash bring unto this place.
>>
>>25232195
*about your
I also forgot to sage my first post, silly me.
>>
File: 1769246106132.png (775 KB, 1239x1758)
775 KB PNG
>>25231613
>math
>>
Return
>>
>>25231659
>They're
>>
>>25232067
No one here is an architect
>>
indian thread
>>
>>25231613
True high IQ chads study both while specializing in one or the other. A humanities major who doesn’t even know how the human body works or how the universe works is typically the sign of a lazy commie and/or woman.
>>
>>25232265
Fuck off Hobbes
>>25232195
I'm going to write 150 dogshit free verse poems and post them just to hurt your feelings
>>
>>25231626
thats not what intellectuals do. its what a narrow focus only income does.
thats only as wise as you think it is. money do be nice tho.
>>
>>25232706
ah, a true poet of the ashes
>>
>>25232067
i am
>>
/lit/ fags think they smart and are soo fucking retarded
>>
SAAR INDIA INVENTED MATHS FIRST SAAR
>>
I was reading a thread about a month ago talking about how math scientists and academics (read: retar) were now putting all their energies into perfecting AI so that it can autonomously handle proofs, make discoveries, and relegate all of the math field to teaching positions and hobbists. Anyone know what thread I'm thinking of?
>>
>>25232135
what about phd electrical engineering in north america
>>
>>25232961
Yeah, the Technocracy, specifically Iteration X from White Wolf Game's World of Darkness Tabletop Roleplaying Game system
>>
>>25231816
>>25231613
>STEMchad here, I consider myself a rare person on earth, a parcel of people here are just as intellectual as I am, and that's quite reassuring.
t. Literate engineer that likes humanities, and also likes money.
>>
>>25232704
>A humanities major who doesn’t even know how the human body works or how the universe works
Lmao even. Read Pascal, any humanities major has more insight on the human condition than a STEM retard. Embarrassingly, the latter assumes with no clear idea of epistemological criteria, that natural language can convey objective and empirical truth.
>>
File: IMG_1369.jpg (3 KB, 125x125)
3 KB JPG
>>25231613
end of debate sciencesissies
>>
>>25231613
You need to do math problems bruv, keeps your brain proper smart and you can keep up with stemcels even if you don’t know any science nerd stuff. Math is true intelligence. Literature is true art.
>>
>>25231613
idk why so many people who majored in the arts have such an inferiority complex. Most STEM-chuds know we are just highly trained and specialized aspies. Not actually more intelligent. Most STEM work does not even pay that well. Particularly when the science behind it becomes more complex.

Why don't people who majored in literature just own up to it. Literature is an important field and writing good literature is a valuable pursuit. Why do people feel such shame for using their one life to pursue something brings joy to them and others? If anyone should be ashamed its the cunt who does nothing but design new ways to maim kids every day at Ratheon.
>>
Dostoevsky was a STEM major.
>>
>>25233048
The cope from humanities majors, who know no one respects their degree is always funny to watch everytime these threads get made
>>
i'm doing my PhD in math. On a whim just now I returned to /lit/ after 13 years or so when I was pretending to enjoy pynchon and trying to get in on the alt-lit hype.

anyway, while i find beauty in math it is very rare that you find STEM guys in my academic circle at least with an appreciation for philosophy and literature. it's a barren feeling that had been prodding at me lately, and i want to get back into it because i believe there's a nourishing quality unique to lit and such. i think certain neuropathies can develop otherwise, at least at the academic level
>>
>>25232706
I'd rather see Rupi Kaur tier poetry being posted than 80% of the crap the "posters" of this website churn out.
>>
>>25231613
I know this is bait but here's my two cents: STEMfags are stupid as shit. Humanists are too, just in a different way. Go fuck yourself.
>>
>>25233590
Anon..its over.
>>
>>25231613
I am a STEM grad but also a third worlder whose degree doesn't matter because I got it through a shit college. But I do interact with STEM guys a lot and the thing is 99% of them are bang average. Most stemmies are those who were good at grinding academics from an early age. That grinding and build up of knowledge from school is what matters. Most of them tend to have very nornalfag opinions on most subjects worst case scenario are those who are really deluded about their intellect and have awful takes on fields out of their area of experience without even having the humility to even take some time to learn about the topics they're talking about. This especially the case with "software engineers". This applies to many humanities students too but people already know that.
>>
>>25233584
Hmm what country are you from?
Because usually there is a lot of overlap.

The quicksort guy studied classics, Nabby was a biologist, Dosto was a military engineer, Bulgako, Celine, Schiller, Chekhov were MDs etc
>>
>Stemfag student here, studying medicine.

I think its the perfect combo really, studying a vocational degree at university, which basically guarantees a well paying job, while reading the humanities in your own time.
Sometimes I do wish I had studied english at uni so I could discuss literature with other people. I don't know any other medical students interested in lit - there are a few girls on my course who read but its exclusively fantasy/ sci-fi.
>>
>>25233731
MDs are very lit, at least historically.

Bulgakov
Chekhov
Celine
Rebalais
Schiller
Doyle

All MDs
>>
>>25231613
>way more smarter
ESL?
>>
>>25233905
Keats too
>>
>>25232129
Kek'd
t. CS major
>>
>>25233605
>humanists
man we have too many new guys here
>>
>>25233584
>it is very rare that you find STEM guys in my academic circle at least with an appreciation for philosophy and literature
A common type of STEMcel has a superiority complex with humanities but, as much as they boast their subjects' difficulty/practicality, they'll usually be shite in their studies and barely pass the subject through their own efforts; and the reason for choosing to study it for a lot of them boils down to money or because their parents did the same.
>>
File: 1759622264326046.jpg (49 KB, 550x535)
49 KB JPG
>>25234382
>18th century MD
I too am an MD by such standards
>>
>>25234400
I've been on here for decades. Weird assumption.
>>
>>25233905
The med student here. Thanks for this list, its given me a few new authors to explore.
Read a few of bulgakov's short stories recently. I know I'm self-inserting but I really enjoyed morphine as I have also struggled with alcoholism/ addiction.
>>
>>25231613
Not all of us can
t. biology
>>
File: 1676779578124386.jpg (40 KB, 597x559)
40 KB JPG
>>25234446
>oldfag isn't used to the idea of using newfag as an insult
>>
>>25232116
Vitally important point.
Without the arts, you become a soulless bugman.
Without the sciences, you become a delusional schizo.
>>
>>25231613
They neutered the wordcel portion of the SAT, not the math. Keep that in mind for who gets selected nowadays.
>>
>>25231613
Why would I care? It's not a competition.
>>
I've always felt mogged by STEMchads. My dad for example was an engineer, made a ton of money from it, respected in his trade, top of his class obviously a very intelligent guy. I wasn't raised by him and barely knew him, but when I mentioned I was studying literature in college his opinion was that novels were just stories in other people's heads. He didn't mean to be demeaning, he was just straightforward in his thoughts about it. He loved obscure music and stuff so he wasn't some kind of unfeeling autist, but he just had no time for fiction. I understand that perspective more as I grow older, but I also know that I lack whatever it takes to dedicate ones mental energy to STEM subjects, and that pursuing that kind of career would have been a struggle against the tide at every step, especially since money never really meant much to me (until I was a brokie in my late 20s and started panicking).
>>
>>25231731
communism and deleuze are not deeper truths.
facts don't care about your feelings.
>>
>>25234868
engineers are retarded about what really matters in life. I'm an engineer but I like liberal arts. My coworkers probably think that books are a complete waste of time
>>
>>25231868
This. Having a cooking board to only discuss fast/junk food is as retarded as having an LGBT board that only discusses trannies.
>>
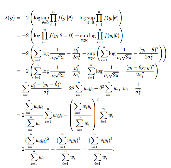
>>25231613
Btw that's n00b math

Behold
>>
I'm not an undergraduate, I do not give a single shit about this
>>
>>25234868
he sounds like a retard. i hope he dies.
>>
>>25234846
I've never really engaged with you morons, at least not more than this.



[Advertise on 4chan]

Delete Post: [File Only] Style:
[Disable Mobile View / Use Desktop Site]

[Enable Mobile View / Use Mobile Site]

All trademarks and copyrights on this page are owned by their respective parties. Images uploaded are the responsibility of the Poster. Comments are owned by the Poster.