[a / b / c / d / e / f / g / gif / h / hr / k / m / o / p / r / s / t / u / v / vg / vm / vmg / vr / vrpg / vst / w / wg] [i / ic] [r9k / s4s / vip] [cm / hm / lgbt / y] [3 / aco / adv / an / bant / biz / cgl / ck / co / diy / fa / fit / gd / hc / his / int / jp / lit / mlp / mu / n / news / out / po / pol / pw / qst / sci / soc / sp / tg / toy / trv / tv / vp / vt / wsg / wsr / x / xs] [Settings] [Search] [Mobile] [Home]
Board
Settings Mobile Home
/pol/ - Politically Incorrect

Name
Options
Comment
Verification
4chan Pass users can bypass this verification. [Learn More] [Login]
Flag
File
  • Please read the Rules and FAQ before posting.

08/21/20New boards added: /vrpg/, /vmg/, /vst/ and /vm/
05/04/17New trial board added: /bant/ - International/Random
10/04/16New board for 4chan Pass users: /vip/ - Very Important Posts
[Hide] [Show All]


[Advertise on 4chan]


File: maxresdefault (1).jpg (111 KB, 1280x720)
111 KB
111 KB JPG
how can the west realistically compete with china?

think about it
>>
>>526201588
67
>>
8 + 5 * 10
>>
File: DM289gHXcAAxH4z.jpg (29 KB, 500x366)
29 KB
29 KB JPG
In China, they execute Karens.
>>
>>526201588
23, no basis to say otherwise.
>>
There are two unknowns you can't answer the question.
Fucking idiots.
>>
>>526201588
26
>>
>>526201588
58
>>
>>526201588
3a = 30 therefore a = 10
3b = 15 therefore b = 5
3c = 24 therefore c = 8

8 + 5 = 13
13 * 10 = 130
>>
>>526201766
You missed the multiplication symbol in the last term.
>>
>>526201854
wrong order of operations bud, you need to do the multiplication first
its 58
>>
>>526201854
Fuck you pajeet
>>
>>526201804
troll
>>
>>526201883
Ah, 58.
>>
>>526201588
Pemdas
5×10 is 50
+8 is 158
>>
>>526202053
typo?
>>
>>526202096
Uh...yeah...
>>
>>526201830
>>526201967
>>526202030
it's 4 bags for the 24, not 3 you blind fucks, all of you are morons holy shit
>>
>>526201621
This was also a valid answer I checked
>>
Man and Woman are worth 4
Briefcase is 5
Backpack is 6
Therefore 6 + 2(5) X 4 = 46
>>
>>526202157
kek
its just rage bait
easy otherwise
>>
>>526202173
this is the correct answer
>>
>>526201967
Yeah I’m retarded. I figured the trick would be in the algebra so I wasn’t paying attention.
>>526201969
Sir actually there is no need for you to be rude in such this way to me sir
>>
>>526201588
the answer is actually 46. i hate these gay trick math problems where they hide stuff.
>>
>>526202157
To be fair there’s like 10 pixels in the whole image, I could barely see it even after zooming in.

As a retard, I like to take these threads as an opportunity to be humble.
>>
>>526202208
also there are two bags as well, and in the top question the man and woman are holding a handbag
so its actually 3 * (man and woman + 6) = 30
3man+woman = 30/18
man+woman = 30/54
so the final equation is actually:
6 + 10 * (30/54) = 6 + 300/54 = 600/54 or roughly 11.11
maybe i fucked idk
>>
>>526202473
yeah i fucked up, goddamnit i must be tired, i divided by 18 instead of subtracting 18
so its actually:
man + woman = 4
so its:
6+10*4 = 46
>>
>>526202444
checked, and that's ok, because it turned out i'm also blind fuck and didn't pay attention to the double brown cases.. but in my defense I don't like brown stuff so I don't stare that much on them
>>
File: C0q3S9-XcAA6oLq.jpg (34 KB, 554x307)
34 KB
34 KB JPG
What a low IQ board, Jesus Christ
>>
>>526202758
its just a ragebait image
which is why they added the heckin "viral question" bullshit to it
its just a pretty simple question after that
>>
>>526202157
Order of operations, leaf.
>>
File: IMG_4544.jpg (135 KB, 1280x720)
135 KB
135 KB JPG
>>526201588
Unsolvable because impossible to calculate the variable of this stupid scarf (circled) which also makes the people an impossible variable to calculate.

The scarf can be either 9, 6 or 3 so the value of the people has to be either 1,2 or 3
>>
>>526202845
oh wow theres even more bullshit the more you look
>>
>>526202845
I guess the scarf could also be valued at zero which means the people could be 4 also
>>
>>526202976
couldnt it also be 30 and the people valued at zero
i mean, theres nothing else to go on, its only in one equation
>>
File: 1768615971116260.jpg (407 KB, 1280x720)
407 KB
407 KB JPG
>>526202845
>>526202892
>>526202976
Its an artifact, or else the puzzle is impossible, to have a single answer
>>
>>526203067
They are holding the yellow bags so 6+6+6=18 so to get remaining 12 there is 5 possibilities.

People are valued at either 0,1,2,3, or 4
And
scarf valued at either 0,3,6,9,12

If people =0
Scarf =12

If people =1
Scarf =9

If people =2
Scarf = 6

If people = 3
Scarf =3

If people = 4
Scarf=0
>>
>>526203441
oh yeah, forgot that part
>>
>>526203390
could be, but we dont know that, maybe thats the point, people are going to come up with many different possible solutions, so it leads to disagreement therefore engagement and then virality
thats the point of these stupid time wasting puzzles
>>
>>526203441
I am actually wrong because there is actually infinite possibilities because of negative values
>>
File: sj.png (372 KB, 1024x576)
372 KB
372 KB PNG
>>526201588
Solved it
>>
>>526201588
We dont have to compete with them, we can live separately in peace
>>
>>526201588
Assuming only positive, whole numbers:
2a + b = 5 a =1 b=3
c = 5
d = 6
6 + (12 x a) = ?

6 + (12 x 1) = 18

Without the rule of not only being positive, whole numbers there is no one answer.

Final answer: 18
>>
File: Capture.png (7 KB, 431x225)
7 KB
7 KB PNG
>>526204148
Without this rule the answer is a slope-intercept form with a resulting range betwen +/-54 using the formula: y=-(x/6)+6

Work:
2a + b = 5 a=(5-b)/2
c = 5
d = 6
6 + 6(5-b) = x
x=6(5-y) +6
>>
>>526203677
Final answer solved with chat GTP. Fairly complex algebra
>>
>>526204913
This is incorrect as you assume there are three couples without a scarf when there are two.
>>
>>526201588
30+15+24=69
too ez
>>
>>526204913
>>526204722

if we count the scarf as a real variable in the puzzle, then it is impossible to have a single answer, there is no other ways about it

>>526203390
this is the only real answer

or else you guys are just doing what
>>526203617 said
>>
>>526205488
>then it is impossible to have a single answer, there is no other ways about it
No and yes. It's a range. The answer is in between -54 and 54.
>>
>indian thread
put indians and chinks in death camps asap
>>
File: 1768615971116260.jpg (422 KB, 1280x720)
422 KB
422 KB JPG
>>526205809
a range is not a single answer, so only yes
and if we consider negative numbers in this puzzle to be true then we can give
the scarf any negative number, something like -288 then the couple 100
which makes the answer 1006, well beyond your 54
>>
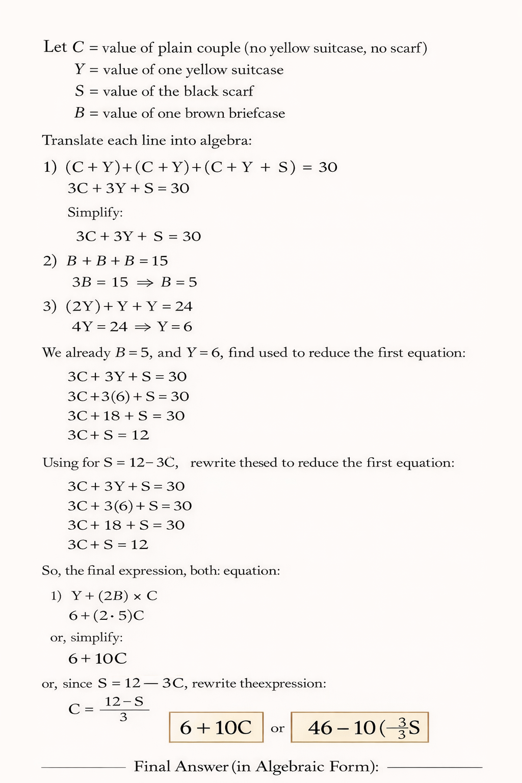
File: IMG_4559.jpg (155 KB, 1569x972)
155 KB
155 KB JPG
>>526205285
The scarf was treated as it’s own variable and was accounted for
>>526205488
> if we count the scarf as a real variable in the puzzle, then it is impossible to have a single answer, there is no other ways about it

Pic rel is the best answer we can get. This expression covers all possible answers and is in the cleanest algebraic form. So this is the answer.



[Advertise on 4chan]

Delete Post: [File Only] Style:
[Disable Mobile View / Use Desktop Site]

[Enable Mobile View / Use Mobile Site]

All trademarks and copyrights on this page are owned by their respective parties. Images uploaded are the responsibility of the Poster. Comments are owned by the Poster.