[a / b / c / d / e / f / g / gif / h / hr / k / m / o / p / r / s / t / u / v / vg / vm / vmg / vr / vrpg / vst / w / wg] [i / ic] [r9k / s4s / vip] [cm / hm / lgbt / y] [3 / aco / adv / an / bant / biz / cgl / ck / co / diy / fa / fit / gd / hc / his / int / jp / lit / mlp / mu / n / news / out / po / pol / pw / qst / sci / soc / sp / tg / toy / trv / tv / vp / vt / wsg / wsr / x / xs] [Settings] [Search] [Mobile] [Home]
Board
Settings Mobile Home
/pol/ - Politically Incorrect


Thread archived.
You cannot reply anymore.


[Advertise on 4chan]


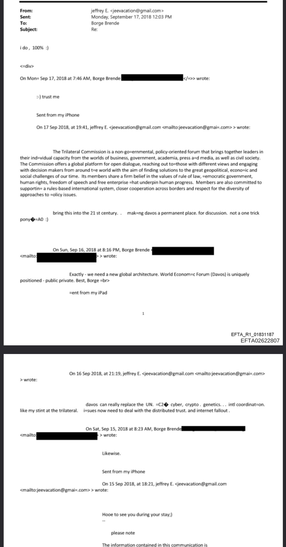
File: IMG_1044-600x340.png (78 KB, 600x340)
78 KB
78 KB PNG
Apologize.
You had him removed for nothing.
>>
>>528028969
He's above Epstein.
Epstein is in the Schwab files.
>>
File: 1614418777163.jpg (132 KB, 560x517)
132 KB
132 KB JPG
>>528028969
>Ze innocent angel
>>
>>528029085
source?
>>
>>528029085
>goy above jew
you wish
>>
>>528029253
Epstein worked for the Rothschilds.
Schwab is related to the Rotschilds.
>>
>>528029285
The Rothschilds ARE kikes
>>
File: JE_WEF-YGL.png (441 KB, 1213x1864)
441 KB
441 KB PNG
>>528028969
He kind of is though
>>
>>528028969
almost certainly in the 3m that weren't released or is redacted. there is ZERO chance he hasn't been involved to some degree.
>>
File: IMG_20260208_144217.jpg (174 KB, 990x1896)
174 KB
174 KB JPG
>>528028969
yeah for nothing, nothing to see here also
>>
File: IMG_20260208_140239.jpg (119 KB, 915x1192)
119 KB
119 KB JPG
>>528029312
>>528029337
that's antisemitic
>>
>>528028969
I lovevehen people post him in this tunic implicating some esotheric satanic deali gs, while its from lithuanian university ceremony.
>>
>>528028969
You do realize most are redacted
>>
>>528028969
He already has fraud investigations going on
>>
>>528029085
>>528029154
>>528029312
>>528029379
>>528029476
>>528029476
>>528029479
>>528029603
>>528030201
>>528030275
Yep, dont concentrate on the jews. Concentrate on the goy!
>>
>>528030062
>lithuanian university ceremony.

>Implying that the lithuanian ceremony is not a public front for a saurian/illuminati ceremony
NGMI
>>
>>528028969
>this single jew nigger epstein ruled the world. there isnt 100's and 1000's of em
>>
>>528028969
Okay, I own nothing now, still waiting for the happiness part to start
>>
>>528028969
Schwab hasnt been running Davos/WEF since late 2016
>>
>>528028969
he's a germish weirdo. that's good enough reason.



[Advertise on 4chan]

Delete Post: [File Only] Style:
[Disable Mobile View / Use Desktop Site]

[Enable Mobile View / Use Mobile Site]

All trademarks and copyrights on this page are owned by their respective parties. Images uploaded are the responsibility of the Poster. Comments are owned by the Poster.