[a / b / c / d / e / f / g / gif / h / hr / k / m / o / p / r / s / t / u / v / vg / vm / vmg / vr / vrpg / vst / w / wg] [i / ic] [r9k / s4s / vip] [cm / hm / lgbt / y] [3 / aco / adv / an / bant / biz / cgl / ck / co / diy / fa / fit / gd / hc / his / int / jp / lit / mlp / mu / n / news / out / po / pol / pw / qst / sci / soc / sp / tg / toy / trv / tv / vp / vt / wsg / wsr / x / xs] [Settings] [Search] [Mobile] [Home]
Board
Settings Mobile Home
/pol/ - Politically Incorrect


Thread archived.
You cannot reply anymore.


[Advertise on 4chan]


File: 1772283890189769.png (484 KB, 938x622)
484 KB
484 KB PNG
Have you stopped talking about Epstein yet?
>>
Guys look into "intellicell" it is Jeff's stem cell company
>>
CSAM not scanned

child sexual abuse material
>>
>>529642698
I never was. I'm not falling for your attempt to slide the treasonous acts of the DNC with the files.
>>
>>529642698
/ptg/ shills told me they are all 30 year old Russian whores who were asking for it so Orange Jew Good
>>
File: Intellicell.png (207 KB, 756x998)
207 KB
207 KB PNG
i am going to repost some of the stem cell material from the other thread the other day
>>
>>529643069
Based, dump it
>>
File: harvesting_SVF.png (102 KB, 714x1036)
102 KB
102 KB PNG
>IntelliCell BioSciences, led by Dr. Steven Victor (CEO from 2010–2015), was a regenerative medicine company focused on extracting adult autologous vascular cells (SVFCs) from adipose tissue without enzymes. It aimed to use these stem cells for cosmetic and therapeutic procedures, though the company faced FDA warning letters regarding, manufacturing practices and "minimal manipulation"

>The company developed a proprietary, non-enzymatic method to separate stem cells from fat.

>Dr. Steven Victor is a dermatologist who has operated practices in New York and Dubai, focusing on regenerative medicine and, more recently, cosmetic dermatology.

>Steven A Victor is President/CEO/Treasurer/Secy at Intellicell Biosciences Inc.

What’s the deal with IntelliCell Biosciences, headed up by Dr. Steven Victor?

Sometimes science can move at warp speed and that is even more true of the stem cell field.

One stem cell establishment that seems to be in a particularly intense period of activity and that has drawn a great deal of attention lately is IntelliCell Biosciences, headed up by Victor.

The company’s financial state and its interactions with the FDA have drawn particularly intense attention and scrutiny of late. Below is my interview with Victor conducted this weekend where I asked him tough questions about recent events. I want to thank Dr. Victor for taking the time to answer the questions for the blog.
>>
File: Steven_Victor.png (132 KB, 768x1042)
132 KB
132 KB PNG
Is IntelliCell still treating patients at this time? Does it plan to do so for the foreseeable future? New patients?

Victor: Intellicell only makes (manufactures as per FDA) a quality cellular product in a cGTP lab under strict SOPs (took us over 1 year to write and still writing) that we test for cell count, viability, endotoxin, gram stain and do sterility plates that we send out so the product is sterile. We do not make any claim (i.e. Clinical) and then after QA release give the cells to the treating physician who treats his patient under the practice of medicine at the same facility during the same procedure. It takes one hour to do the protocol with all the FDA paperwork so it is important to understand that Intellicell does NOT treat patients nor make any clinical claims.
>>
File: tech_stem_inc.png (45 KB, 710x854)
45 KB
45 KB PNG
The most exciting part of the stem cell field is seeing the patients get better especially the ones with unmet clinical needs. My major concern is the cowboys out there who just make cells in their kitchen and do not follow the cGTP and SOP and a patient will get hurt. The big mistake is that companies and doctors think that manufacturing cells is part of the practice of medicine and I disagree. The use of the cells in the practice of medicine but the manufacturing process is governed by the FDA guidance for cGTP cellular products. And as you know to follow cGTP/SOP is for patient safety and is a lot of work but I believe it is essential. Sorry I can not give you more information……come visit and you will learn more when you see what and how we do it.

>cowboys out there who just make cells in their kitchen
cowboys out there who just make cells in their kitchen
>cowboys out there who just make cells in their kitchen
cowboys out there who just make cells in their kitchen
>cowboys out there who just make cells in their kitchen
cowboys out there who just make cells in their kitchen
>cowboys out there who just make cells in their kitchen
cowboys out there who just make cells in their kitchen
>cowboys out there who just make cells in their kitchen
cowboys out there who just make cells in their kitchen
>cowboys out there who just make cells in their kitchen
cowboys out there who just make cells in their kitchen
>cowboys out there who just make cells in their kitchen
cowboys out there who just make cells in their kitchen
>cowboys out there who just make cells in their kitchen
cowboys out there who just make cells in their kitchen
>>
>>529642698
have you developed critical thinking yet?
>>
File: joseph_thakuria.png (265 KB, 1496x1066)
265 KB
265 KB PNG
many sketchy doctors involved in jeff's weird human gene/cloning(?) experiments
>>
File: Charles_River.png (89 KB, 794x968)
89 KB
89 KB PNG
investors in jeff's creepy stem cell thing
>>
File: Jeff_Kaplan.png (99 KB, 798x1050)
99 KB
99 KB PNG
>>
>>529642698
Yes I have. Unfortunately the war will continue until we stop talking about Epstein. So let's all just stop it. I can't afford another 2x price hike on everything.
>>
File: Michael_Friedman.png (103 KB, 828x1046)
103 KB
103 KB PNG
>>
File: Michael_Kesselbrenner.png (102 KB, 794x1074)
102 KB
102 KB PNG
>>
File: intellicell_addresses.png (80 KB, 688x956)
80 KB
80 KB PNG
>>
>>
File: 1772149964036381m.jpg (151 KB, 1024x754)
151 KB
151 KB JPG
Reminder the FBI NY CSAM servers were hacked in 2023, wiping over 100TB of data including Epstein files
>>
Dr. Victor developed a proprietary ultrasonic cavitation process to separate regenerative cells from fat without using enzymes, a method for which the company received U.S. patent allowances.

During his tenure, IntelliCell faced significant scrutiny from the U.S. Food and Drug Administration (FDA), including a 2012 warning letter regarding the company's processing methods and whether their SVF products required specific biologics licenses.

He led the company through its transition to a public entity (formerly trading under the symbol SVFC) after a name change from Media Exchange Group in 2011.
>>
In 2011, the company changed its name from Media Exchange Group, Inc. to IntelliCell BioSciences, Inc.

This change, which took effect on June 27, 2011, was intended to better reflect its shift in business operations toward regenerative medicine and the manufacture of stromal vascular fraction (SVF). Shortly after the name change, the company's stock ticker symbol was also updated to SVFC.

In October 2017, the U.S. Securities and Exchange Commission (SEC) officially revoked the registration of IntelliCell BioSciences' securities because the company had failed to file periodic financial reports for several years.

While some financial tracking sites may still list it under the name "Intellicell Biosci," its stock is no longer actively registered or traded on major exchanges due to the 2017 SEC order.
>>
Dr. Steven Victor’s proprietary method, protected by U.S. Patent 8,440,440, replaces chemical digestion with mechanical sound energy to extract the stromal vascular fraction (SVF) from adipose (fat) tissue.
>>
https://patents.google.com/patent/US8440440B2/en
>>
The invention provides a novel method of obtaining a mesenchymal or stromal vascular fraction from adipose tissue that does not include the use of collagenase or other enzymes to digest the collagen bonds that hold together the tissue. While collagenase works well for this purpose, and indeed is conventionally used by those skilled in the art to degrade collagen and separate the tissue into discrete cells, the use of this enzyme may be disadvantageous for cellular products that are to be used in humans, e.g., cells or cell fractions which are to be used in tissue reconstruction or regeneration, e.g., breast reconstruction procedures, cosmetic skin rejuvenation or usage in cosmetic tissue fillers that are used during plastic surgery. Particularly the FDA may consider that the use of this enzyme (to derive desired cells) results in a “maximally manipulated” cellular product. This is disadvantageous as the use of collagenase would potentially place stromal or mesenchymal vascular cells derived from adipose tissue in a category that requires drug approval, even if the cell fraction is to be used cosmetically and not clinically.
>>
Dr. Victor allegedly treated various women referred by Epstein—some of whom were minors—without charge.

In return, Victor repeatedly solicited Epstein for loans and investments to fund his "cosmeceutical company" and other business dealings.

In a 2009 email, Victor claimed he had been "loyal" to Epstein by not speaking to the media about him and expected Epstein to fulfill a "bargain" to provide financial support.
>>
Victor reportedly asked Epstein for political connections in St. Thomas, U.S. Virgin Islands, to find an "offshore home" for his cellular therapy technology, seeking a "friendly government" to increase revenue.

Victor’s requests extended to personal favors, such as asking Epstein to help a friend's son find a hedge fund job in New York City.

In late 2009, Victor emailed Epstein in desperate terms, stating he would be evicted from his office if he did not receive funds.

Dr. Victor’s name appears over 500 times in the Department of Justice database of Epstein-related files.
>>
While the SEC revoked IntelliCell’s registration in 2017 for failing to file financial reports, the 2025 disclosures suggest that federal authorities were interested in whether Epstein’s influence and capital were deeply integrated into the company's funding structures.

A confidential document prepared for the probate of Epstein’s will revealed that Epstein intended to forgive $19 million in loans to various associates and their entities. Dr. Victor was identified as one of the individuals whose outstanding debts to Epstein were slated for forgiveness, raising legal questions about the legitimacy of those "loans".

While IntelliCell has not been a direct defendant in the major class-action settlements (such as the $35 million settlement reached by the estate in February 2026), the company's name has appeared in discovery documents regarding the "financial infrastructure" that supported Epstein's circle.
>>
File: Epsteinhack.jpg (293 KB, 1080x1606)
293 KB
293 KB JPG
>>529643835
>Reminder the FBI NY CSAM servers were hacked in 2023, wiping over 100TB of data including Epstein files
https://www.disclose.tv/id/gci8c7dwiy/
>>
>>529645458

they are desperately trying to hide jeff's involvement as the mastermind/executor of 9/11
>>
Oh no some teenagers gave happy ending massages so they could go on a shopping spree this is totally pedophilia we should blackmail every heterosexual man on the planet because highschoolers are babies
>>
File: HApnSa5bgAAhNVp.jpg (185 KB, 778x998)
185 KB
185 KB JPG
>>529645868
>teenagers
No one believes he stuck to teenagers pedo shill
>>
>>529642698
We need to stop Iran destroying Epstein's bases in the middle east!
>>
File: images-20.jpg (30 KB, 418x478)
30 KB
30 KB JPG
Bump
>>
File: 1770053336071019m (1).jpg (77 KB, 981x1024)
77 KB
77 KB JPG
>>529645868
>>
File: 1771272755569172m.jpg (27 KB, 1024x602)
27 KB
27 KB JPG
>>
File: 1771447848373660m.jpg (58 KB, 791x1024)
58 KB
58 KB JPG
>>529645868
>>
>>529642698
https://www.youtube.com/watch?v=lYxXk3Hu24g
>>
>>529648053
Nice titties I'd fuck her
>>
>>529645868
I put a curse on you.
>>
The problem with this material is that its already completely filtered, the FBI wouldnt give you the golden material, which is really important. Does anyone know the meaning of sundial and temple on the island?
>>
>>529647253
Mon dieu, this one is like 10
Sick bastard
>>
BUMP
>>
File: based.png (91 KB, 913x559)
91 KB
91 KB PNG
>>529643061
actually they were ukrainian, nafotranny
>>
Bumping
>>
File: 1772158549819409.png (173 KB, 562x689)
173 KB
173 KB PNG
>>
File: 1770689388469599.png (71 KB, 648x648)
71 KB
71 KB PNG
>>
File: 1769798727421407m.jpg (29 KB, 1024x420)
29 KB
29 KB JPG
>>
File: 1768937917922394.jpg (108 KB, 650x1001)
108 KB
108 KB JPG
>>
File: 1768259542942402m.jpg (141 KB, 1024x1024)
141 KB
141 KB JPG
>>
>>529648053
Those eyes and bags under the eyes. Those look exactly like the eyes of the pizzagate/James kid that had her hands taped to the table. 100% abused
>>
File: 1772467130155095.jpg (156 KB, 1024x1024)
156 KB
156 KB JPG
>>
File: 1771869179151435m.jpg (56 KB, 1024x775)
56 KB
56 KB JPG
>>
Bump!
>>
File: 1766544054878073m.jpg (159 KB, 900x1024)
159 KB
159 KB JPG
>>
File: 1772219907242096m.jpg (74 KB, 1024x560)
74 KB
74 KB JPG
>>
File: 1763433525280527.png (352 KB, 1273x1579)
352 KB
352 KB PNG
>>
File: 1769365397775033m.jpg (198 KB, 1024x1024)
198 KB
198 KB JPG
>>
File: assets.png (196 KB, 732x574)
196 KB
196 KB PNG
>>
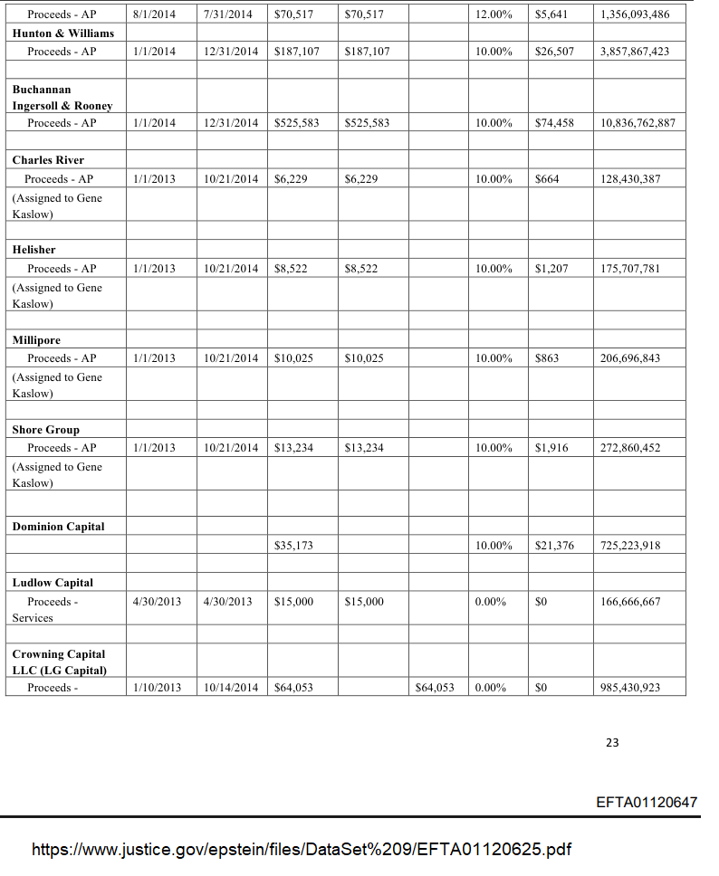
File: evil lawyers..png (704 KB, 1160x1086)
704 KB
704 KB PNG
Looks like there will be no peace for the victims after all.
>>
>>529642698
TOTAL KIKE DEATH
>>
File: polina..png (238 KB, 1067x628)
238 KB
238 KB PNG
glad this is still being talked about.
>>
File: cursed.jpg (221 KB, 1218x1076)
221 KB
221 KB JPG
>>529649274
there are nine and sixty meanings
of poly symbols gleaning
and only im right



[Advertise on 4chan]

Delete Post: [File Only] Style:
[Disable Mobile View / Use Desktop Site]

[Enable Mobile View / Use Mobile Site]

All trademarks and copyrights on this page are owned by their respective parties. Images uploaded are the responsibility of the Poster. Comments are owned by the Poster.