[a / b / c / d / e / f / g / gif / h / hr / k / m / o / p / r / s / t / u / v / vg / vm / vmg / vr / vrpg / vst / w / wg] [i / ic] [r9k / s4s / vip] [cm / hm / lgbt / y] [3 / aco / adv / an / bant / biz / cgl / ck / co / diy / fa / fit / gd / hc / his / int / jp / lit / mlp / mu / n / news / out / po / pol / pw / qst / sci / soc / sp / tg / toy / trv / tv / vp / vt / wsg / wsr / x / xs] [Settings] [Search] [Mobile] [Home]
Board
Settings Mobile Home
/sci/ - Science & Math

Name
Options
Comment
Verification
4chan Pass users can bypass this verification. [Learn More] [Login]
File
  • Please read the Rules and FAQ before posting.
  • Additional supported file types are: PDF
  • Use with [math] tags for inline and [eqn] tags for block equations.
  • Right-click equations to view the source.

08/21/20New boards added: /vrpg/, /vmg/, /vst/ and /vm/
05/04/17New trial board added: /bant/ - International/Random
10/04/16New board for 4chan Pass users: /vip/ - Very Important Posts
[Hide] [Show All]


[Advertise on 4chan]


File: ribbon diagram.png (887 KB, 1902x1030)
887 KB
887 KB PNG
Ribbon category edition

ITT: discuss mathematics

Formerly: >>16777973

Photo credit: https://indico.in2p3.fr/event/32579/contributions/143313/attachments/86648/130492/Vlaar.pdf
>>
this is an ill-formed question, but when combining concepts in advanced physics, people seem to tensor product lots of spaces together; why not direct sum?
>>
>>16803028
Roughly:
- a basis for [math] V \oplus W [/math] is of a union of a basis for V with a basis for W .
- a basis for [math] V \otimes W [/math] consists of pairs (a,b) where a,b respectively are bases for V,W.

In quantum mechanics, V would be the Hilbert space of quantum states of one physical system, and same for W for another physical system. Technical note: for an orthonormal basis of V generally we take an eigenbasis [math] B \subset V [/math] of some Hermitian operator corresponding to some physical observable (position, momentum, energy, etc) of the physical system of V. In stat mech they may often call such B the "set of quantum states" of V.

Usually a state of the combined physical system of V and W corresponds to an ordered pair (a,b) where a,b respectively are states of V,W. (Instead of a choice of *either* a state of V or a state of W.) This is why we take the ombined physical system to have Hilbert space [math] V \otimes W [/math] instead of [math] V \oplus W [/math].
>>
>>16803049
i get all this, but i don't think this really answers the question in my mind.
another way of thinking about it is: why, when combining certain spaces in physics, should one expect the dimension of the resulting space to be the product of the dimensions of the constituent spaces (which would indicate a tensor product) instead of their sum (which would indicate a direct sum)?
how does one know when to use either tensor product or direct sum?

for instance, in statistics, the joint probability of independent variables is the product of their probabilities, while the combined probability of mutually exclusive events is the sum of their probabilities. understanding this, one can determine when to multiply and when to add based on what events you are interested in knowing the probability of.

if a particle can described by e.g. a tuple (spin state, position state), why should the resulting space have a dimension equal to the product of the constituent states?

once again, i'm probably stating my question in a poor manner because i don't quite know what i don't know.
>>
>>16803076
When you put two systems together, they cease being independent, and you have to model them jointly; the state of system B can "twist" system A into having an incomparable state space relative to the state space of A but with a different state of B. Direct sums don't let you do this, anything you can do with a direct sum is too decomposable into "here's the A part, there's the B part." For example, the only interactions you can model with direct sums would be transitions from one system to another (like, say, creation/annihilation in Fock space); you can't model, say, when the internal evolution of one system depends directly on the state of the other.
>>
>>16803028
Tensor product allows to talk about pairs that aren't really interacting with each other. If I want to talk about a man and his dog I saw walking down the street, the analogy would be that the object I saw is within the set Men [math] \otimes [/math] Dog. If I want to talk about types of people, I can talk about a man, I can talk about women, and if I want to talk about a person named Sam who is either an man or a woman, then the analogy is that they're within Men [math] \oplus [/math] Women.

In physics, we can talk about the angular momentum of particle 1, the angular momentum of a different particle 2. If we talk about the overall object of particle 1 and particle 2 together and something about it's angular momentum, do we use the sum or product?
>>
>>16803223
>Sam is either a man or a women
Or some linear combination
>>
>>>/b/940574809
Abstract algebra.
>>
Failed my second semester bachelor analysis exam. Gonna write the retake exam. But my real problem is that I don't really know why I even failed the first one. And to look into my exam I only have an appointment one day before the retake exam. I thought that I got it. Idk why I became this retarded. Taylor polynome, multi dimensional integration, derivatives. It isn't that hard. It's so fucking over.
>>
>>16803028
Direct sum is a coproduct. Tensor product is a monoidal product. Two different things. Products of representations admit decompositions into direct sums of irreps, which is a basic result of representation theory.
>>
>>16803825
>It's so fucking over.
And
>It isn't that hard.
Don't really go together.
>>
>>16803832
>Direct sum is a coproduct. Tensor product is a monoidal product.
Both are functors [math] \mathcal{C} \times \mathcal{C} \rightarrow \mathcal{C} [/math], however. They just have different properties.

>Two different things.
I'm sure the person you're replying to wasn't implying they're the same thing.
>>
>>16803841
Maybe they mean it shouldn't have been that hard, and the fact that it was means it's "over" as they said
>>
>>16803857
>>16803841
It's over became a standard phrase for me. But idk if I am able to study it. I was skipping a lot of lectures and was spending a good time in my fraternity with drinking and smoking. Anyways you got any tips or resources for me? Was reading a bit from the Königsberger Analysis 2.
>>
>>16798772
>the problem where a bug starts walking from one vertex of the box and it finds the shortest possible route to a point that you chose on its surface... what is the maximum distance that it would be possible to force the bug to walk

>>16798877 if the final position P is coplanar to V, then the shortest distance is trivial. Else, position the vertex V at the origin and the box the 1st quadrant with P on the top face. Call the length of the side touching the 2nd quadrant W (x axis) and the length of the side touching the 4th quadrant D (y axis), and the height of the box H. If [math] w < d [/math], simply swap the the x and y coord. of P, then revert back afterwards if needed. Wlog, let [math] d \leq w [/math]. The coordinates of P will be determined

If [math] h \leq w [/math], the longest of the minimized paths is simply the one where P is furthest away from V in the corner at coordinates (w,d,h), getting to the top from S1, and the distance is [math] \sqrt{w^2 + (h+d)^2} [/math]

For any other case, the following must be done. For brevity, let [math] \tfrac{d}{h} = \bar{d},\ \tfrac{w}{h} = \bar{w} [/math].
If [math] \bar{d}\bar{w} (\bar{d} + \bar{w}) + 2\bar{w}^2 + 4\bar{d}\bar{w} + \bar{d}^2 + \bar{d} - 2 \geq 0 [/math], the coordinate of P is the same as above, but with shortest path entering the top via S2 with distance [math] \sqrt{(w+d)^2 + h^2} [/math]

If instead [math] \bar{d}\bar{w} (\bar{d} + \bar{w}) + 2\bar{w}^2 + 4\bar{d}\bar{w} + \bar{d}^2 + \bar{d} - 2 \leq 0 [/math], then the coordinate of P is at [math] (w-a, d-a, h) [/math], where
[math] \displaystyle a = \frac{ bd + h - w }{ c-b },\ b = \tfrac{h-w}{h+w},\ c = \tfrac{ 2h+d }{ d } [/math]
and the distance of the longest of the minimized paths is [math] \sqrt{(w+d - a)^2 + (h+a)^2} [/math]

The partition into 4 sections is two triangles on opp. sides and a line connecting their closest vertices to make 2 trapezoids. Takes only 5 straight lines to construct. No need for AI bs
>>
>>16804365
>enter through S1, or S2
Well, sometimes you can enter through something else like S3. All the boundaries of the partition are shared so there are a couple of ways to get to that same spot with equal distance.
>>
I'm making an anki deck to memorize a bunch of math constants and formulas, what should I put in there?

I'm doing this mostly for fun, or for the party trick effect. Currently I have the useless trig formulas and identities (csc, sec, cot). Inclusion orders for fields to rings. I wanna put more probability stuff and category theory - maybe some things could actually be useful?
>>
>>16803856
>both are functors
Not very informative. Anything's a functor if you think hard enough. Monoidal products require additional structure in the form of unitor and associator nat transformations. Coproducts are very special monoidal products satisfying a universal property. Tensor products satisfy their own universal property that "enlarges" a category to the smallest cartesian-closed category containing it.

In case of representation theory, vector spaces come with a natural coproduct monoidal structure, but no product monoidal structure. Hence the tensor product.
>I'm sure the person you're replying to wasn't implying they're the same thing.
The anon's wondering why not use one instead of the other. In reality, both are used. The Clebsch-Gordan decomposition is the relationship between tensor products and direct sums.
>>
is this >>>/g/106777016
>a single qubit's state is given by a|0> + b|1> where a and b are complex numbers such that aa* + bb* = 1.
>however, we don't give a shit about the global phase, so the state of a single qubit can be modeled using the bloch sphere. (mathematicians call this the hopf fibration)

true?
>>
>>16804921
Yes, but using the term Hopf fibration in this context is only explanatory for people familiar with QFT or pure mathematical jargon.

Its describing rotations as [math] U(1) [/math] elements and then using this "Hopf fibration" you get that [eqn]S^3/U(1) \cong S^2 [/eqn], which is the Block sphere.

Explaining Hopf fibrations requires a lot of differential geometry, but you can watch this video for an idea: https://www.youtube.com/watch?v=dkyvZo68IoM
>>
File: IMG_3610.jpg (1.02 MB, 2272x2396)
1.02 MB
1.02 MB JPG
Anyone here has a PDF of Herstein's Topics in Algebra? I just got the book from the library (the 2nd edition) and compared it to the PDF that I have (also the 2nd) and to my surprise the PDF version is missing the last two sections of chapter 2 (Direct Products and Finite Abelian Groups). Can anyone check their PDFs so I can see if this is a problem with the version I have or if it's a general issue with all PDF versions of the book? I find this super strange because generally if an author decides to cut or add chapters they call it a new edition, but the physical book says it's still the 2nd edition.
>>
>>16804921
i wrote this. i'll add some commentary on the quantum physics side.

the reason we don't care about global phase is that it will never affect the magnitude of any state, so it will never affect the probability distribution of any measurement we make. thus, |S> = c |S> for any state S and any complex number c with magnitude 1.
>>
I just invited an interesting fact
If I construct a polynomial where it hits everything rational number on a function in an interval, because polynomials are continuous it means that for any continuous function it is an infinite polynomial.
Here’s why, if you subtract by the function and one value is the same it means that the root exists, which is always true. So a sufficient polynomial exists for the rationals which are countable.
I just invented this mathematical law. I’m going to call it the bad ass polynomial law.
>>
>>16805676
>infinite polynomial
There is no such thing.
>>
>>16805676
Learn to write coherently first
>>
>>16805867
>INFINITY ISNT REAL
Ok the error limits to zero as the order increases
At some point you need grow up and realize enumeration exists.
>>16806144
Not my problem.
>>
>>16803023
If I split 10 square feet (each side 10 feet long and 10 feet wide) into 4 parts, each of them are 5 square feet, yes)

So, if I split 1 square mile (each side1 mile long and 1 mile wide) into 4 parts, is the result 4 1320 square feet or 4 2640 square feet?
>>
File: 1726323109147784.jpg (49 KB, 800x800)
49 KB
49 KB JPG
>>16803023
How many 5 x 7 x 11 binary tensors have no all-zero or all-one rows in any of the three directions?
>>
>>16806376
Each of the former are 25, each of the latter are 6969600.
>>
>>16806381
Sorry for being obtuse, but do you mean that both 1320 and 2640 are 6969600 or that 1320 is, like 5, 25?
>>
>>16806387
Each "is," I'm tired lol. 2640^2 = that
>>
>>16803825
Do all the problems in the book. Find other books and do the problems in them.
>>
>>16805676
I can't tell what you are trying to say, but I think you should look into the Stone–Weierstrass theorem.
>>
I've never been good with combinatorics and this has me stumped.
For fixed numbers [math] a_{1},...,a_{k},b_{1},...,b_{k} [/math], what is the number of odd permutations [math] \sigma \in S_{n} [/math] such that for all [math] i [/math], [math] \sigma(a_{i})=b_{i} [/math] expressed in terms of [math] k [/math] nd [math] n [/math] ?
For a given permutation satisfying the conditions there are obviously [math] (n-k)! [/math] possible permutations total and from a few examples I would assume there are [math] (n-k)!/2 [/math] odd permutations, however I have no clue how to prove that. Any hints?
>>
>>16805209
>S^3/U(1)
I don't want to be the nitpicky autist itt, but S^3 is a topological manifold, while U(1) is a Lie group. Two different categories :)
>>
>>16807652
it suffices to assume [math] a_i=b_i [/math] for all [math] i [/math]
>>
>>16807720
>S^3 is a topological manifold, while U(1) is a Lie group
Anon............................................
>>
>>16807792
I'm assuming the argument for that is that there exists some even permutation [math] \tau [/math] such that for our given permutation [math] \sigma [/math] satisfying the conditions, [math] \tau(b_{i})=a_{i} [/math] for all [math] i[/math], and then [math] c=\tau\sigma[/math] permutes only those elements not equal to the [math] a_{i} [/math] and gives us my assumed number of odd permutations and so the original permutations are also odd since [math] \sigma =\tau^{-1}c [/math].
>>
>>16807875
basically correct, but
>so the original permutations are also odd
not necessarily
>>
>>16807875
>>16807889
oh, you declared at the start [math] \tau [/math] to be even
in that case yes, but it's maybe not completely obvious that such an even permutation exists
>>
>>16807898
That is indeed the current problem.
>>
>>16807720
You can still quotient S^3 by the U(1) action on it you retard. You get a manifold but not a Lie group.
>>
>>16807898
I guess I define [math] \tau [/math] such that [math] \tau^{2}(b_{i})=a_{i} [/math] for all [math] i[/math]. That feels like cheating, can I just do that?
>>
[math]f,g:X\to Y[/math] are continuous and [math]Y[/math] has the order topology. How can I prove that [math]\{x\in X\,|\,g(x)<f(y)\}[/math] is open?
>>
>>16808019
not without justification, most permutations aren't squares
but ultimately for what you're trying to prove it doesn't matter if [math] \tau [/math] is even or odd, you still get the same result
>>
>>16808081
Yeah that made it click for me, cheers.
>>
>>16808058
This solves it if I'm not mistaken.
>>
>>16808188
Slight typo, forgot to mention that [math] x \in V \cap W [/math] as well (which also should be obvious) in both cases
>>
I just want to make sure I am not fucking up anything here, I think I got how they are getting: [math]\frac{g'(s)}{g(s)}= 1+\frac{1}{2}\ln(\pi)+\frac{1}{2} \gamma[/math]

[math]g(s)=(s-1)\pi^{-\frac{s}{2}} \Gamma (\frac{s}{2}+1)=(s-1)\pi^{-\frac{s}{2}} \Pi(\frac{s}{2})[/math]

[math]g'(s)=\pi^{-\frac{s}{2}}\Pi(\frac{s}{2})+
(s-1) \cdot -\frac{1}{2}\ln(\pi) \pi^{-\frac{s}{2}} \Pi(\frac{s}{2})
+(s-1)\pi^{-\frac{s}{2}}\cdot -\frac{1}{2}\Pi'(\frac{s}{2})[/math]

[math]\dfrac{g'(x)}{g(x)} =\dfrac{\pi^{-\frac{s}{2}}\Pi(\frac{s}{2})
-\frac{1}{2} (s-1) \ln(\pi) \pi^{-\frac{s}{2}} \Pi(\frac{s}{2})
-\frac{1}{2}(s-1)\pi^{-\frac{s}{2}}\Pi'(\frac{s}{2})}{(s-1)\pi^{-\frac{s}{2}} \Pi(\frac{s}{2})}[/math]

[math]=\frac{1}{s-1}-\frac{1}{2}\ln(\pi)-\frac{1}{2}\frac{\Pi'(\frac{s}{2})}{\Pi(\frac{s}{2})}[/math]

let s=0

[math]-1-\frac{1}{2}\ln(\pi)-\frac{1}{2} \gamma[/math]

if I am wrong somewhere just let me know
>>
>>16807827
A Lie group is a SMOOTH manifold AND a group. There’s no canonical choice of group structure (or even a smooth atlas for >3 dimensions) for top manifolds.
>>16807949
Quotients are only well-defined within a single category. You can think of group action as a functor, but then quotients turn out to be ill-defined. It’s better to think of group objects within a particular category and group actions as image factorizations. So strictly speaking your approach isn’t rigorous.
>>
File: 1759842405147.jpg (35 KB, 574x534)
35 KB
35 KB JPG
math btfo
Re(z) = 1/2 + AI
>>
File: pepe dunce.png (61 KB, 635x883)
61 KB
61 KB PNG
>Statistical Methods & Data Analysis
>Real Analysis
>Probability & Stochastic Processes I
>Probability & Stochastic Processes II
>Monte Carlo Methods
>Bayesian Statistics
>Probabilistic Graphical Models
>Theory of Machine Learning
>Stochastic Optimization & Control
>Causal Inference

Math pros..... I already have a BS in math. This is my outline for an MS in Math since I have to work for a living and can't do a PhD, and don't want to do a Data Science, Statistics, or Computer Science degree.
When you look at this list, do you see "Mathematician" but also "Yeah, he can have a real job in tech/defense sector."?
>>
>>16808538
What you said is flawed in multiple ways:
1. S^3 does have a canonical Lie group structure as SU(2), with it containing U(1) as a (non-normal) Lie subgroup. (The action of U(1) on S^3 via this construction agrees with action of U(1) on S^3 viewing S^3 as the unit sphere in [math] \mathbb{C}^2 [/math].)
2. You can quotient any topological space X by a group action on X, or more generally by any equivalence relation on X. You don't even need categories to do this.
Seriously, pick up a book sometime.
>>
>>16808674
>can't do a PhD
Out of curiosity, why?
>>
>>16808813
>S^3 does have a canonical Lie group structure as SU(2)
It depends on your definition of "canonical." It would be most accurate to say that [math] S^3 [/math] can be assigned a Lie group structure which is unique up to Lie group isomorphism but which isn't "canonical" in the functorial sense because, say, [math] \text{Diff}(S^3) [/math] acts transitively on [math] S^3 [/math] and so can't distinguish an identity point.
>>
>>16808815
Because I have to work for a living. I have children to feed.
>>
>>16809091
Euler had 13 children, no PhD, was blind in 1 eye, invented new math while Napoleon's army storming the his city.
You have no excuse if you really want this.
>>
> order a book from a local university on the Riemann Zeta function
> try to understand the Hadamard Product related to the Riemann Zeta function
> Hadamard Product references back to Riemann's original work... in German
> The book I have does not elaborate any further "The two paragraphs follow the formula for ξ(s) are the most difficult portion of Riemann's paper"

Proof by "this is really complicated and in German" has to beat out "proof is trivial and left as an exercise for the reader."
>>
>>16809039
there is no canonical definition of canonical in math
>>
>>16809212
One of the better comments on this thread
>>
>>16805285
https://marinazahara22.wordpress.com/wp-content/uploads/2013/10/i-n-herstein-topics-in-algebra-2nd-edition-1975-wiley-international-editions-john-wiley-and-sons-wie-1975.pdf
>>
Why does the term magma even exist? All theorems about magmas are just theorems about laws of composition, we don't need to introduce a useless term like magma that is then immediately discarded.
>>
>>16809133
>no PhD
So basically you're saying he was also too busy to get a PhD.
>>
>>16808674
With the current job market, there's zero reason to do anything probability and statistics. It's all overtaken by ML slop. Either do pure ML courses, or tailor your profile to something non-stochastic: computational geometry, FEA, etc.
>>
>>16809600
Lol what is the point of posting this, nobody needs this 50 year old book
>>
A tensor by definition is "diagonalizable".
Yeah?

It's a 2x2+ grid of values that are independent but have some idea of a product given a permutation of a row and column value.

I haven't looked into it very hard but "a tensor is something that transforms like a tensor" seems to how far most people understand what this really is. They all "get it" and they know it's invariant but they don't really know why.
>>
>>16809811
>A tensor by definition is "diagonalizable".
>Yeah?
No? Maybe start with tensors on vector spaces first
>>
I just completed my first vaping on bugs experiment.
Bugs were placed in a jar and I blew menthol vape in there and sealed the jar.
Results:
The vape cloud stayed in the jar for over 30 minutes.
The mushroom flies were not affected, and could fly around just fine.
The centipedes and leaf creature also displayed no abnormal behavior.
The glycerin condensed into small droplets on the sides of the jar.
Despite it being a foreign substance, bugs who came into contact with the condensed droplets had no meaningful reaction.
Afterwards I put the bugs outside
>>
>>16803023
can anyone get me a fucking textbook reference for the fact that a triangular matrix with entries in a commutative ring is invertible if and only if all its diagonal entries are units? It is sort of an implicit result, but i just want something i can just reference without having to fucking explain this shit. Why is it so damn hard to find, linear algebra people just say det not equal zero, and commutative ring books dont give a fuck about it.

If anyone knows please help me I'm losing my mind here slowly. Dont explain the fucking proof to me, i understand why i just dont want to write a page of standard shit in my thesis.
>>
>>16810304
=>
if all diagonals coefficients of a matrix M are invertible, the inverse of M can be computed by the Gauss method (as if you were solving a system of linear equations, the only moment where you divide by something, it will be by a diagonal coefficient and thus the division is legit)

<=
if M is invertible, so is det(M) and if M is triangular as well, then det(M) is the product of all diagonal coefficients of M, which hence are all invertible.
>>
>>16810304
>>16810327
Fast way: just says it is because of its determinant; which is the product of its diagonal coefficients, that's only two lines, no need for a reference.
>>
>>16809212
Category theory provides the definition of canonical: satisfying a universal property or a natural transformation. For example, the matrix determinant is canonical because it provides a natural transformation.

S^3 endowed with SU(2) structure is not a universal property, but just a quirk of low-dimensional manifolds (same way SU(2) is isomorphic to SO(3)/C_2 and Sp(1)). If it were canonical, it would generalize to S^n. But it doesn’t.
>>
>>16809653
We need some kind of noun to refer to those structures
Agreed "magma" is pretty dumb though
>>
Is the free magma generated by a set S just the set of binary trees whose leaves are elements of S?
>>
>>16811309
We don't. We already have laws of composition, we don't need "magma". We don't call rings a set with two magma structures having certain properties. We do call a ring a set with two laws of composition having certain properties. Magmas belong in the trash.
>>
Just want to verify if this is a bunch of gibberish or actually a thing
>>
>>16811129
>Category theory provides the definition of canonical

No it doesn't. The word canonical is used throughout math in ways that do not align with this.

The other anon incorrectly justified why S^3 has a natural group structure though. The fact S^0, S^1, and S^3 are the only spheres with group structures has to do with the fact the only finite dimensional associative normed division algebras over R are R,C, and H.

So the fact S^3 has a group structure is because R^4 has the structure of an associative normed division algebra over R in the form of H.
>>
>>16809717
> With the current job market, there's zero reason to do anything probability and statistics. It's all overtaken by ML slop. Either do pure ML courses, or tailor your profile to something non-stochastic: computational geometry, FEA, etc.

That is the dumbest take I have ever heard. Theoretical Machine Learning is probability and statistics. There's also still a ton of work to be done in applied probability and statistics.
>>
>>16811633
>Just want to
call it
>a bunch of gibberish
and
>boullilii
>>
>>16811674
No employer gives a shit how much theoretical machine learning you know.
>>
>>16811791
It seems to work when I plug values in, but I am suspicious. I got stuck somewhere and threw it into AI and it spat this out at me. AI tends to hallucinate and I don't find this exact expression anywhere in the literature, however part of the problem is every god damn paper uses different notation for the Periodic Bernoulli function.
>>
>>16811876
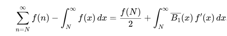
For reference I was trying to figure out how:

[math]\sum_{n=N}^\infty n^{-s} -\int_N^\infty x^{-s}dx=\frac{1}{2}N^{-s}-s\int_N^\infty \overline{B_1} (x) x^{-s-1}dx[/math]
>>
>>16811950
figured it out, wikipedia actually proves it of all places, my reading compression is bad and P(x) is the notation they use: https://en.wikipedia.org/wiki/Euler%E2%80%93Maclaurin_formula
>>
Why is Multivariable Analysis so fucking hard? There are so many obtuse theorems that are so fucking hard to understand compared to Real Analysis. I need to read and reread a theorem for hours until I'm able to start understanding it somewhat. I've never had this issue with any other area of mathematics.
>>
Is a curve that becomes a straight line when it hits the 0 crossing "smooth"

Like the edge of a soda can. It's straight up and then it curves inwards, but there's no sudden jump because there's a point where there's zero curvature like the extremum of a sine wave

"Smooth" or "continuous". I could be abusing either of these terms.
You can always try to Google these things but these kind of abstract questions usually just produce articles about simple nonconformal cohomology neighborhoods.
>>
>>16811834
Sure, if your job is just to program whatever bullshit your boss asks, it doesn't matter whether you have any clue what you're doing.

If you actually need to solve a problem, it helps knowing how to pick the right tools for the job.
>>
>>16812089
>figured it out
Did anyone really think, that
>>16811633
>[B]oullilii
would have bothered trying to figure it out?
>>
>>16812605
https://en.wikipedia.org/wiki/Bump_function
>>
what are some of the most general fixed point theorems for partial orders, i.e. given a monotone endomap f : P -> P on a partial order P, what are some theorems guaranteeing the existence of a least fixed point with rather mild requirements being imposed on P and f
>>
>>16812700
>Sure, if your job is just to program whatever bullshit your boss asks,
Yes, that's what makes you money. If you want to solve interesting problems outside academia, be an engineer or something, not a data scientist.
>>
Starting from the basics with the How to Prove It book. Would anyone like to tag along on a matrix server?
>>
>>16813061
> Yes, that's what makes you money. If you want to solve interesting problems outside academia, be an engineer or something, not a data scientist.

I'm an electrical engineer. Both of my "major" papers from my PhD were machine learning papers. My job is literally to develop hybrid machine learning and classical signal processing based signal detection and estimation systems.

I agree with you that a data scientist doesn't actually need to know what they are doing. The field would be in much better shape of this changed and we actually started scrutinizing what these silver-tongued suits with data science degrees were selling.
>>
>>16812394
Honestly, I didn't understand multivariate analysis at all until I started learning differential geometry. While it might seem like a step backwards, spending some time getting down the basics of diff geo from an undergrad friendly book like O'Niell might help you quite a lot.

Having some intuition for how these things work in 2d/3d will help you in surprising ways when you start looking at real analysis in many dimensions.
>>
>>16813146
I started the book 2 months ago, just finished chapter 4. Can I join?
>>
Oh fuck, Analysis in R^n is actually kinda hard.
>>
Tell me about your favorite tensors. I need them to make a lecture about tensors
>>
>>16814408
the difference tensor of two connections
>>
>>16814408
When a Netrino hits a Proton, its a very special interaction. (◡‿◡)
>>
Let [math]T, T'[/math] be two identical copies of the full [math]d[/math]-ary tree of depth [math]n[/math], where [math]d \ge 3[/math] is fixed and we think of [math]n[/math] as arbitrarily large. I want to connect the leaf nodes of [math]T[/math] to those of [math]T'[/math] so that the resulting graph will be:

1.) [math]d[/math]-regular (in the sense that every vertex supports [math]d[/math] edges; multiple edges and self-loops are allowed)
2.) free of short cycles (the shortest cycle should be arbitrarily long as a function of [math]n[/math])

Can this be done? A probabilistic argument would be great.
>>
>>16812394
It's the problem with Riemann integration in general. Multivariable calculus is generally focused on integration. Even in one-variable calculus, if you just consider integration, it's a hodgepodge until you go to Lebesgue. In a similar way, it's a hodgepodge until differential geometry.
>>
I don't get the difference between product topology and box topology. What is the difference?
>>
>>16803023
Quantum algebra is a cool field OP.

Btw MJR 2.0 is a thing now, a good place to ask about phd admissions for this application year. Mathjobrumor.com
>>
>>16816281
They only differ in how they define open sets.
In the box topology, any product of open sets is an open set.
In the product topology, a product of open sets is open iff finitely many of them are anything but the entire space.
For an example of why this difference matters, let's consider a function [math]f: \mathbb{R} \to \mathbb{R}^\mathbb{N}[/math] which takes a point [math]x[/math] to the corresponding point in each copy of [math]\mathbb{R}[/math]. So, for example, (1) gets mapped to (1,1,1,1,...); an inversed projection map of sorts. It should be immediately obvious that the mapping to each individual component is continuous.
Now consider the product of some infinite decreasing sequence of intervals, such that each is contained within the previous. For example: [math](-2,2) \times (-1,1) \times (-0.5,0.5) \times (-0.25,0.25) \times...[/math]
This set is open in the box topology, but not in the product topology, since while it is the product of open sets, infinitely many of them are not [math]\mathbb{R}[/math].
Now, what's the preimage of [math]f[/math] when mapping to this set? The only point contained in every interval here, and thus the only point that can be mapped into this set, and thus the only point in the set's preimage, is 0.

But notice that 0 is a singleton and thus not an open set. So despite our function essentially being the product of (infinitely many) continuous mappings, under the box topology this does not guarantee that the function itself is a continuous mapping, since we have an open set whose preimage under it is not open. This isn't the case with the product topology, where every component of a mapping being continuous is sufficient to say that the map itself is continuous
>>
>>16816332
it's full of larpers
>>
>>16816281
Here's one relevant point:

Let X be a topological space, let [math] I [/math] be some index set, and for each [math] i \in I [/math] let [math] Y_i [/math] be a topological space and [math] f_i : X \rightarrow Y_i [/math] a continuous function.
Let [math] Y [/math] be the infinite Cartesian product of the [math] Y_i [/math]'s (with i ranging over I), as just a set of points. Let [math] f : X \rightarrow Y [/math] be the function [math] f = (f_i)_{i\in I} [/math].

Exercise: show if Y is given the product topology, then [math] f [/math] is always continuous. Show f need not be continuous if Y is given the box topology. Hint: recall an arbitrary intersection of open sets need not be open.
>>
>>16816399
Quantum algebra? Yeah, I have a paper that counts as QA and I knew next to zero physics when I wrote it with my collaborators. Still is a fun field.
>>
>>16816593
I wouldn't say not knowing physics yet writing a paper in quantum algebra makes you a "larper".

Also my guess is the person you were replying to was saying mathjobrumor.com is full of larpers, not quantum algebra.
>>
File: 1760503002631.jpg (194 KB, 1080x1189)
194 KB
194 KB JPG
>This is REAL algebra, by REAL algebraists
They have taken us for absolute fools.
>>
Suppose that we have a set of n points, numbered from 1 to n. Edges are drawn randomly between these points, with the restriction that the resulting graph must be simple and planar, and may not have any loops.
Once this is done, the edges are sorted to minimise the number of the lower-numbered vertex they are connected to, and then the number of the higher-numbered vertex: <1,2> comes before <1,3>, which comes before <1,4>, which comes before <2,3>, and so on.
On average, how far down the list must you go before half of all vertices have had all associated edges listed out?
>>
>>16816927
>Assuming the real-valued root
>False
Assuming the principle root
True

Are you bashing WolframAlpha?
>>
>>16817437
>You need different functions with different values for the same algebraic expression over the same overlapping domain, because... you just do that's why!!!
>1+1? uh sweatie, that's undefined unless we consider the expression in terms of quaternions, then it's obviously just 2, maths ftw
>>
>>16817445
>inputs statement which is not generally true
>Why isn't it saying it's true?!
multivalued functions output multiple values, who would have guessed
>>
>>16817478
chatgpt-tier reply, 1+1 has only one real solution, so 1+1=2, (-2)^(10/6) have only one real solution, but is undefined over the reals
if anything, it should be true over the real-valued function, and false over the complex-valued one (multiple solutions), but somehow it's the other way around, because... reasons
it's like saying 1+2=1+(1+1) is false because when you consider 1+(1+1) as a complex it can have several solutions, including 3, so it's undefined as a real function
nice work algebraists, you can defined extend a integer function into the rationals no problem but then you draw the line at the reals and need complex analysis even when the answer should be obvious, really useful
>>
imagine being filtered this hard by riemann surfaces
>>
>>16817524
blow it out your ass
if a=b but f(a) =/= f(b) then f is not a function
so (-2)^x is not a function over the rationals even as it should be
>>
>>16817524
I'm not sure literally anyone understands Riemann surfaces.
>>
>>16817844
nta, why do you say that
>>
>>16817854
I'm sorry I just assumed that a Riemann surface was tangential to a Riemann sphere

If you ask "why", the answer to the kind of aspbergers syndrome logic that I've gotten used to on this board is "it's not at all". It's a set of infinitely embeddable conformal toposes closed under rotation or some bullshit from Nlab that's extremely literal.
If you ask "why", the answer to someone to someone smart enough to have their mind blown open is that a sphere is the most symmetrical thing in the universe, spheres of n dimensions can be embedded into eachother to infinity, infinity becomes a valid mathematical object right next to 0, 0 becomes another kind of 0 (a pole) and all of the carryon associated with spherical non-Euclidian geometry in general.

If we can derive how the universe works from math there's a solid chance that it lies in the way 2D surfaces get mapped onto manifolds.
>>
>>16817844
>>16817979
A Riemann surface is a 1-dimensional complex manifold. They are very well understood.
>>
>>16814408
ricci tensor
>>
>>16817992
Why are they there
>>
File: IMG_4897.png (5 KB, 280x111)
5 KB
5 KB PNG
>>16816281
box topology is the “intuitive” topology one naively thinks of as the product topology. The product topology is the actual product that satisfies the picrel universal property.
>>
>>16818048
>abstract nonsense
>>
>Let [math]X[/math] be metrizable. Prove that [math]f:X\to Y[/math] is continuous iff for every sequence [math]x_n\to x[/math] we have [math]f(x_n)\to x[/math]
Shouldn't [math]Y[/math] be metrizable too for this result to hold? How do I prove this?
>>
I had a dream that you could solve a problem like distributing offices at a workplace taking into account each person's preferences of how much they'd like a certain space (not a ranking but a measure from 0 to 100 that doesn't need to be unique)
Is this actually doable?
>>
>>16818182
Topology's pretty abstract
>>
>>16818463
Sounds like simple optimization of a loss function.
>>
>>16818182
Any non-Hausdorff space is abstract nonsense and yet we still need it (eg Zariski topology).
>>
>>16818463
Linear programming
>>
>>16818463
I think you might like to see these and possibly
apply it to your situation:

>news article
https://archive.ph/zWxni

>calculator
https://www.nytimes.com/interactive/2014/science/rent-division-calculator.html
>>
accelerating radius
>>
>>16818048
>the picrel universal property
Why didn't you write "the depicted universal property" instead?
At least "depicted" is a real word, found in dictionaries.
>>
Has anyone here done a metaanalysis?
>>
>>16818182
ultrafiltered
>>
File: around t = 180.gif (117 KB, 134x4218)
117 KB
117 KB GIF
>>16819274

Table[{t, t^2, Mod[t^2, 360]}, {t, 0, 200}]
>>
File: **(.png (195 KB, 612x436)
195 KB
195 KB PNG
>>16813146
>>16813433
Is anyone still interested in this?
>>
>>16819736
I'm that anon. I'm still interested.
>>
>>16819275
fuck off, newfag
>>
File: ((*.jpg (215 KB, 640x480)
215 KB
215 KB JPG
>>16813146
>>16813433
>>16819736
>>16819800
https://matrix.to/#/!pBEutJhPlyjeXKjSGo:matrix.org
>>
Is the natural logarithm a fractal

I'm inclined to say that it's a function so it's one dimensional but its exponent (dimensionality) is itself. I really have no idea what to say when it seems to be "fractional" but it also seems to be a fraction over 1. So uh
>>
how come this general is so slow nowadays? :(
>>
>>16820311
it's saturday, we're all out getting pussy
>>
File: oDHocx.mp4 (62 KB, 320x172)
62 KB
62 KB MP4
>>16819979
>>
>>16820113
I can't join.
So this is my first time using matrix. I made an account on matrix.org, download element app, logged in. But when I clicked your link, it said that it can't preview the room.
Can you share the room name instead?
>>
>>16820450
Well, I used element on PC and got this error:
>MatrixError: [403] You are not invited to this room. (https://matrix-client.matrix.org/_matrix/client/v3/join/!pBEutJhPlyjeXKjSGo%3Amatrix.org?server_name=matrix.org&via=matrix.org)
>>
>>16820450
>>16820452
God matrix fucking sucks. I'll just make a discord.
>>
>>16820113
>>16820450
>>16820452
https://discord.gg/vCKpRjYf
>>
bump
>>
For the space [math] l_{\mathbb{N}}^{b}(\mathbb{R}) [/math] of bounded real valued sequences with norm [math] ||(u_{n})_{\mathbb{N}}||=sup|u_{n}| [/math] and [math] f: l_{\mathbb{N}}^{b}(\mathbb{R}) \rightarrow l_{\mathbb{N}}^{b}(\mathbb{R}) , (u_{n})_{\mathbb{N}}\mapsto (\sin(u_{n}))_{\mathbb{N}} [/math] . I'm trying to find the differential of f. My idea so far is that for a given point [math] a=(a_{n})_{\mathbb{N}}[/math] the differential of f at a would be [math] L_{a}((h_{n})_{\mathbb{N}})=(\cos(a_{n})h_{n})_{\mathbb{N}} [/math] so that as [math] (h_{n})_{\mathbb{N}} [/math] tends to the 0 sequence, then [math] \frac{sup |\sin(a_{n}+h_{n})-\sin(a_{n})-\cos(a_{n})h_{n}|}{sup |h_{n}|} [/math] tends to 0.
I'm not used to working with supremums of sequences, showing that this last part truly tends to 0 is proving more difficult than I thought.
>>
>>16818048
Your explanation is not quite right. The product topology and box topology coincide when the number of factors in the Cartesian product is finite, as is the case in the diagram you attached in your post.

So, in the situation of your diagram, the product topology and box topology are one and the same.
>>
>>16821687
axiom-of-choiced once again...
>>
File: image.png (276 KB, 333x500)
276 KB
276 KB PNG
Starting November 22nd a discord server I'm in will be hosting a reading group of the book "Spin Geometry" by H. B. Lawson and M.-L. Michelsohn.
Some of the details are still fuzzy but current plan is to meet weekly at 6pm EST Saturdays and proceed at a pace of one to two sections of a chapter a week.

Given the contents of the book, it is necessary to have familiarity with basic analysis, linear algebra, and group theory in order to be able to participate. Furthermore we will
in the weeks leading up to the start of the reading host introductory talks and discussion about multilinear algebra, elementary differential geometry, elementary matters of vector bundles,
and elementary Lie theory in preparation.

Spin geometry is a subject related to geometric algebra and useful both in applications in mathematical physics as well as in relation to purely mathematical topics such as certain aspects
of K-theory, index theory, and Riemannian geometry.

For anyone interested in participating, the discord server is available for joining under the following link provided one has a discord account: https://discord.gg/AZ2puaN4.

(The server originally originated from /sci/ on 4chan in Summer 2020 as another reading group, thus expect a more casual atmosphere.)
>>
There was an emerging topic in probability with a cool name—I think it's similar to stochastic control. Does anyone know what I am talking about?
>>
>>16821986
Stochastic control theory has been around for a while now. One of the best books written on the topic was Kusher's Introduction to Stochastic Control, written in 1971.
>>
okay so i'm kinda retarded but i still want to become competent at math
i guess i'm aiming at the level of a bright high school student
any advice on how i should go about doing this?
>>
>>16821690
It's not really an axiom of choice thing, as far as I understand. It's just part of the definition of product topology
>>
Hey quick question. If we have basic newtonian/einsteinian physics in R^3 and somebody modifies R^3 by adding a few handles of bounded cylinders that are locally R^3 but curve around the original manifold in 4d to intersect at two points, such that they appear to be tunnels which are bigger on the inside, is it definitely the case that:
>we've gone from having 100% conservation of energy to no conservation of energy by making the space no longer curl-free?
>>
>>16822026
Openstax.org
>>
>>16822277
It's A dude, give up
>>
>>16821582
Sine addition formula then |1-cos(x)| <= x^2/2 and |sin(x)-x| <= |x|^3/6 should do it.
>>
>>16821690
why not axiom of infinity
>>
>>16822026
I know it's kind of a meme, but Serge Lang's Basic Mathematics is actually a pretty great book for that sort of thing. If you get that book and then do literally every exercise in it, you'll come out of it with both a solid set of fundamentals, and a lot more confidence in your problem solving abilities in general.
>>
>>16822294
I found another method, but cheers.
>>
>>16822419
That we run into a problem when infinite products are involved tells me that AoC has something to do with it. You can reformulate AoC in terms of split epimorphisms. Sections of box topology bundles are likely ill-behaved in the infinite case.
>>
>>16822637
>That we run into a problem when infinite products are involved tells me that AoC has something to do with it
It doesn't.
The problem is that in the infinite case, you can just construct a product where each subsequent term tends to 0, and then create a function mapping it to an open interval where each mapping is continuous but the overall function isn't since it will take [0] itself to an open set
>>
>>16821986
You are thinking of Optimal Transport.
>>
>>16803076
I like to think about tensor products as 'extending' a space by another at each axis, while direct sums as 'appending' only to the whole; in the latter, each original axis is unchanged and you simply have more directions to move in, while in the former, each axis is now stretched to the size of the space being tensored.

Take for instance [math]\mathbb{R}^n\otimes\mathbb{C}[/math]. This is trivially isomorphic to [math]\mathbb{C}^n[/math], but from the point of view of the reals, you have stretched each axis to a different field.

Now I don't know much about physics, but I could imagine that if you have two different systems and combine them, you can't simply imagine them being orthogonal/independent, but that instead, there is some influence of one on the other and you must consider both simultaneously.
>>
>>16822279
>>16822441
alright thanks. i'll check these out.
>>
>>16822731
>tends to 0
>open interval
Pick up Munkres, kiddo. "Zero" isn't even defined for arbitrary topological spaces.
>>
>>16823260
The canonical example uses the reals, so that's where my mind jumped immediately. But you're right, that's my mistake.
It's to a single point more generally.
>>
File: thumbnail_IMG_8608.jpg (478 KB, 1425x1699)
478 KB
478 KB JPG
>>16807652
>>
File: yeetlimit.png (511 KB, 1162x655)
511 KB
511 KB PNG
I am not sold on the step at the end where the limit is basically distributed across the numerator and denominator
https://youtu.be/Nf4fQNNrWAk?t=473

am I being dumb here for questioning it
>>
>>16824229
You are not but they are probably assuming that both exist and denominator non-zero, in which case this is allowed. See properties of (real) limits
https://en.wikipedia.org/wiki/Limit_(mathematics)#Properties
>>
File: wojak-soyjak.png (54 KB, 390x498)
54 KB
54 KB PNG
>seriously applying to Applied Math masters

Any other low IQ poseurs in here that can't cut it and too cowardly to actually do a PhD, but still have the low self esteem and need for imagined validation from others and are paying out of pocket for a dead end degree?
>>
>>16824229
is this a good channel for a math beginner?
>>
How do I write [math]\text{det}(v_1,\cdots,v_k)[/math] in terms of the tensor product?
>>
>>16824838
No. Try professor Leonard.
>>
Am I an idiot or is this not true? What if f is the constant function? That is continuous but f(A) will always be a single element set for any set A which means it can't have a limit point.
>>
how to study math so i can get on your level? im a midwit but id love to try and learn
>>
>>16825091
The world of pop-science (I'm not using that as a pejorative) is flourishing. 3Blue1Brown-esque videos where people animate the way that these things work.

You're gonna lose every time if you try to start out by squinting at symbols and waiting until they have some kind of meaning. Watch videos about novel topics with pretty colors and cool animations. I think there's some solid suggesting that 'analysis' by watching thing things in motion is a thousand times more effective.
>>
File: 20251023_151023.jpg (3.11 MB, 4000x3000)
3.11 MB
3.11 MB JPG
Something I thought was interesting:
This random assortment of numbers ends up equaling pi exactly. Anyone know why?
>>
File: 1761257733237426.jpg (3.11 MB, 4000x3000)
3.11 MB
3.11 MB JPG
>>16825311
oops
>>
>>16824936
>a single element set [...] can't have a limit point
What exactly is your definition of limit point? I've heard a couple different ones. Under one definition, any point in a set S is a limit point of S.
>>
>>16825198
>df/d(x^a) = [...] = (df/dx)/(d(x^a)/dx)
u/v = (u/z)/(v/z)
>>
>>16824229
>df/d(x^a) = [...] = (df/dx)/(d(x^a)/dx)
u/v = (u/z)/(v/z)
>>
>>16825349
Big words.
>>
>>16825091
We just started a study group for newfags >>16820457
>>
>>16825350
I do not think that was the questionable part
>>
>>16825318
The one I have been using is that a point P is a limit point for a set S if every epsilon neighborhood contains at least one point in S that is not P.

https://math.stackexchange.com/questions/663764/what-is-a-limit-point#:~:text=A%20point%20a%20is%20said,never%20become%20equal%20to%201.
>>
File: Untitled.png (1.38 MB, 1920x1080)
1.38 MB
1.38 MB PNG
Should people that treat multiplication by juxtaposition as having higher priority when reading and transcribing formulas be killed or just forcibly reeducated in camps?
>>
>>16825947
>that is not P.
That's the key difference. Some authors use this definition, but most authors I've seen drop this requirement.
>>
>>16825972
ask this question again without incriminating my boy Kam. he did nothing wrong in this situation
>>
>>16824229
>am I being dumb here for questioning it
Oh, absolutely not. Stuff like this is maybe talked about for like a second in your first calculus class and then you immediately forget it cause you're a young stupid teen.

Idk what this channel is teaching and I'm not gonna watch the video, so idk what you're learning. But have you heard of L'hopital's rule? Do you know how the rule is justified? When you have something that looks like 0/0 as your limit or sequence for f(x)/g(x) goes to infinity, try doing a taylor expansion on f(x) and g(x). For both f(x) and g(x), you'll notice that the 0th order terms are both 0, but the first order terms are f'(x) and g'(x), which is why L'hopital's rule can be justified.

That's basically the same as what's being done here.
>>
>>16824936
For your example, that's an adherent point, but not a limit point. Adherent point is for there exists a point amongst all points in the set, whereas limit point is there exists a point amongst all points in the set excluding f(P).
>>
>>16826049
*It's a limit point, but not an adherent point, my bad lol. I meant you were confusing your definition with an adherent point.
>>
>>16825705
Yeah, but that's really all there's to it.
All of that "lim" or limit stuff is unnecessary.
It's every bit as plain as 3/7 = (3/2)/(7/2).
>>
>>16826009
>he did nothing wrong in this situation
He reminded me F.A.T.A.L. exists.
>>
>>16826051
so f(P) would be an adherent point but not a limit point?
>>
i am on the track to fail fucking calculus 1 again how the fuck do i study more there's so much shit to remember and i'm the least hard working person on earth
>>
The adherent points of a set A are exactly those points that can be the limit of a sequence of elements from A.

[eqn]\text{p is adherent point of A iff } (\exists(x_n)\in A^{\mathrm{N}}): p = \lim_{n \to \infty} x_n [/eqn]
>>
File: 1736529724538605.png (78 KB, 1428x372)
78 KB
78 KB PNG
Why would he use this notation instead just asking directly?

[math]
\begin{gathered}
a - b = 5u\qquad x - y = 5v\\
a + x - (b + y) = a - b + x - y = 5u + 5v = 5( u + v)
\end{gathered}
[/math]
>>
>>16826261
Second part:
[math]
\begin{gathered}
a = 5u + b\qquad x = 5v + y\\
ax - by = (5u + b)(5v+y) - by\\
ax - by = 25uv + 5uy + 5bv + by - by\\
ax - by = 5(5uv + uy + bv)
\end{gathered}
[/math]
>>
>>16826172
Math isn’t about hard work. It ain’t a fucking construction site. The best approach is the one that requires the least amount of work. Avoiding brute force is the entire reason mathematics exists as a field of study.
>>
>>16826318
complete bullshit, i always thought of math that way and all that happened was i saw everyone around me do good only because of working harder than me, what you said is only applicable to the part of math which i do actually like i don't give a shit about calculus it's just formulas and calculations
>>
>>16826172
The secret with calculus is that they throw a bunch of shit at you and tell you that you need to learn it, but in actuality you only need a fraction of it to figure out the rest.
Arriving at the power rule for differentiation is pretty straightforward starting from the definition of differentiation itself. Euler's formula plus very basic knowledge of complex numbers will get you everything you need about sine and cosine as a consequence. That sort of thing.
>>
>>16826335
ok but just yesterday i bombed a test because i couldn't do 4 computation heavy proofs i only did one, second one i messed up the caluclations somewhere and the other two i just forgot how to do
>>
>>16826332
>calculus it's just formulas and calculations
lol lmao even
don't respond to me until you go through baby, papa, and grandpa Rudin
>>
>>16826348
i'm obviously referring to the course you ape
>>
>>16826172
>there's so much shit to remember
anki
>>
>>16826172
Bro, your baby Rudin?
>>
>>16826405
reading books wont help me
i'm curious: how is calculus taught in the US?
>>
File: IMG_20251024_230114.jpg (527 KB, 1898x944)
527 KB
527 KB JPG
Can conditions of symmetry be applied to a formula?
>>
>>16826149
Yeah all adherent points of a set are called its closure. So that's the points in the set and it's limit points. In your example where it's just one point, it's not a limit but it's still in the set.
>>
>>16826261
The point is he's defining a new type of equality that isn't conventional to high schoolers who didn't learn about modulo arithmetic (I learned it in summer school geometry for some fucking reason). Think of it as a new way of thinking, cause it comes up pretty darn often
>>
>>16826431
?? The symmetry means that you get to remove 10 degrees of freedom since they aren't free anymore. If you wanna make a formula out of this, sure, you always can make some formula if you're curious.
>>
>>16826439
Ok, but can picrel in >>16826431 be solved?
>>
>>16826431
[eqn]{5 \choose 0}{10 \choose 5} + {5 \choose 2}{10 \choose 4} + {5 \choose 4}{10 \choose 3} = 2952[/eqn]
>>
>>16826349
>math is courses or something
Clear case of a dumb ape. Refrain from posting here.
>>
>>16826426
Cal 1 = Baby Rudin
Cal 2 = Papa Rudin
Cal 3 = Grandpa Rudin
You refuse to read THE calculus book and you fail like a retard. What a fucking surprise.
>>
>>16803023
I'm about to flunk the math GRE because I hate calculus
>>
>>16826349
>you ape
>>
How bad of an idea is to take functional analysis without knowing measure theory?
>>
where can i learn about dependent types
>>
>>16826719
Just learn the basics of measure theory. The L^p spaces are very important in functional analysis and to define them and prove they are Banachspaces you need measure theory.
>>
>>16826719
Hey man, you can technically do it. There are some older books like Kreyszig that try to dodge measure theory, so it's not impossible.
But you're really shooting yourself in the foot, and it kind of depends on why you're asking. If you're struggling with measure theory, then functional analysis is going to absolutely destroy you. All the important examples that make the subject actually make sense (L^p spaces, Sobolev spaces) are built on the Lebesgue integral. You'll just be sitting there memorizing abstract definitions about Banach spaces without any concrete examples to hang them on. It's the fastest way to turn the subject into a pointless memory game.
Honestly, if you're already looking for ways to skip the prereqs, it might be a sign you should slow down and make sure you actually have the foundations down first. Just some friendly advice, anon. Good luck either way.
>>
>>16826736
>>16826750
It's just that I didn't take measure theory yet.
One month studying a measure theory textbook would be enough?
>>
My numerical analysis professor is obsessed with Quantum Computing.
>>
>>16826752
One month? Let's be serious for a moment. The very question presupposes a level of diligence you almost certainly do not possess, making the entire hypothetical rather moot. You aren't going to spend a month rigorously studying Royden; you are going to skim the first two chapters, feel overwhelmed, and then show up to class anyway.
Even if, by some miracle, you did dedicate yourself, you would only achieve a dangerously superficial understanding. The point of a prerequisite is not to memorize a set of theorems, but to develop an intuition for the subject, a process which cannot be compressed. You would need a full semester, at minimum, to properly internalize the material. Frankly, this is all just a pointless intellectual exercise.
>>
>>16826774
What about taking measure theory together with functional analysis? Is it feasible?
>>
>>16826571
>THE calculus book
in the us
>>
>>16826961
Nobody cares what you use in your commie shithole, Ivan Ivanovich.
>>
>>16826963
i think that you should be more concerned about your mother anon
>>
File: 1761431969388.jpg (117 KB, 1220x1108)
117 KB
117 KB JPG
category theory nerds: is this wrongly attempting to state the universal coefficient theorem or am I missing something?
>>
File: 1761432078578.jpg (303 KB, 2039x642)
303 KB
303 KB JPG
>>16827032
for reference
>>
>>16827032
okay I've figured it out, sandwich and burger are mixed up in the final UCT statement, fucking memers can't even get their textbook category theory right
>>
>>16827032
>>16827050
This is barely category theory. Just homological algebra.
>>
any stack recommendations? I'm taking NAC and CDP choline and i still have some noopept i was thinking of l-tyrosine, just need a bit more enjoyment and motivation
>>
>>16828234
Creatine's really good for your brain too.
>>
>>16828505
i dont want to take creatine since i'm already fat but i guess i will if that's the case
worried about that balding thing not really sure if it's real
>>
>>16828234
>just need a bit more enjoyment and motivation
Meth
>>
>>16828708
considering it but i'm bad with self control so i'll probably not do it
>>
File: applied.jpg (285 KB, 1000x1250)
285 KB
285 KB JPG
How do I stop being a pure math snob/elitist despite being bad at it?
I'm almost graduating and I really struggled all the way with the "pure" subjects. I've been studying some graduate algebra and analysis topics, but I feel stuck.
Meanwhile every time I had an "applied" subject I did really, really well, so much that two professors asked if I wanted them to help them out with undergrad research. Got three papers out this way.
The writing is on the wall, I'm clearly going to go for applied, but I still feel like I'm "giving up", if that makes any sense.
Just asking here in case someone relates.
>>
>>16829332
no such thing as "applied math"
All math is applied
>>
>>16821820
great book, already read it sadly
>>
>>16826426
>reading books wont help me
I aced undergrad thanks to books though. Most courses are designed like fucking shit, why not learn from the masters?
>>
>>16829471
Yeah, bro, let me apply them Grothendieck-Teichmüller groups irl…
>>
>>16829332
I don't quite understand. Which applied topics in particular. Do you mean that you are competent with the math that has applications, or that you are good at applying math to real world problems? Were these collaborative papers with psych girlies that needed some rigor in their publications?
>>
Hold on hold on:
-Protons and Neutrons use S4 symmetry (3 spatial dimensions + time)
-S4 symmetry groups have a relevant subgroup called Sylow P groups
-Sylow groups of prime values can have normal subgroups
-S4 groups cannot have normal subgroups because... 4 isn't prime

Are you fucking telling me that the reason our universe operates the way it does is because 4 isn't a fucking prime number!?
>>
It's up.
https://www.kurims.kyoto-u.ac.jp/%7Emotizuki/IUT-report-2025-10.pdf
>>
>>16829577
>S4 symmetry (3 spatial dimensions + time)
Anon, I...
>>
>>16829608
I am literally reading a QCD book that is talking about S4 symmetry groups and on the next page is using 4 demensions for the renormalization. Pray tell, where is this Four comming from then, if not the demensions it just listed.
>>
>>16829612
Your first point of concern should be that [math]S_4[/math] is a discrete group, not a continuous one.
The group you are looking for is the Poincaré group
>>
>>16829577
Strong law of small numbers.
>>
>>16829596
>81 references to some random article
his jimmies seem rustled
>>
File: images.png (12 KB, 182x277)
12 KB
12 KB PNG
Why the fuck is this shit so hard?
>>
>>16829783
Measure and functional analysis are pretty damn hard if you actually do them rigorously. It's not an accident that measure is a "weed out" course in most analysis focused PhD programs.
>>
>>16829797
That's neither a book on measure theory nor functional analysis.
>>
>>16829800
It's a book on a topic that applies both.
>>
>>16829797
measure theory is undergrad, not PhD-level
>>
>>16829553
me when trying to get a rational Drinfeld associator to have senpai notice me (this is an application I swear)

Also Ihara products are useful to play with multiple polylogs
>>
>>16829783
Schilling has a book (Brownian Motion) which I found much friendlier, and which has exercise solutions online.
>>
>>16829474
euro or mutt?
>>
>>16829878
You didn’t go to grad school, did you? Every topic has an undergrad book, grad book, and a postgrad book. You don’t start learning real analysis by considering arbitrary Banach spaces.
>>
If I have a linear map [math]f:V\to W[/math] between vector spaces, and a subspace [math]S\leq V[/math] s.t. [math]\pi:V \to V/S[/math] and [math]S \in \ker(f)[/math], can I apply the first isomorphism theorem?
>>
>>16830462
[eqn]V/\ker f \simeq f(V)[/eqn]
>>
>>16830444
no, retard, that's just how it is in Europe.
>You don’t start learning real analysis by considering arbitrary Banach spaces
Banach spaces are introduced in Analysis 2, i.e., the second semester of undergrad. Some professors, like Soergel, even prove Stokes for manifolds in the 2nd semester. I also had full courses on commutative algebra, algebraic geometry, ODEs, PDEs, and differential geometry all in undergrad
>Every topic has an undergrad book, grad book, and a postgrad book
doesn't mean unis need to follow that atrocious order. My PDEs course was based on Evans and Gilbarg-Trudinger, one of which is a grad book, and the other a postgrad one (part of Springer's "Grundlehren der mathematischen Wissenschaften"), but it was an undergrad course.
>>
>>16829866
It also applies high school calculus. What's your point?

>>16830475
>Banach spaces are introduced in Analysis 2, i.e., the second semester of undergrad.
No wonder Europoors have such piss poor research output.



[Advertise on 4chan]

Delete Post: [File Only] Style:
[Disable Mobile View / Use Desktop Site]

[Enable Mobile View / Use Mobile Site]

All trademarks and copyrights on this page are owned by their respective parties. Images uploaded are the responsibility of the Poster. Comments are owned by the Poster.