[a / b / c / d / e / f / g / gif / h / hr / k / m / o / p / r / s / t / u / v / vg / vm / vmg / vr / vrpg / vst / w / wg] [i / ic] [r9k / s4s / vip] [cm / hm / lgbt / y] [3 / aco / adv / an / bant / biz / cgl / ck / co / diy / fa / fit / gd / hc / his / int / jp / lit / mlp / mu / n / news / out / po / pol / pw / qst / sci / soc / sp / tg / toy / trv / tv / vp / vt / wsg / wsr / x / xs] [Settings] [Search] [Mobile] [Home]
Board
Settings Mobile Home
/sci/ - Science & Math

Name
Options
Comment
Verification
4chan Pass users can bypass this verification. [Learn More] [Login]
File
  • Please read the Rules and FAQ before posting.
  • Additional supported file types are: PDF
  • Use with [math] tags for inline and [eqn] tags for block equations.
  • Right-click equations to view the source.

08/21/20New boards added: /vrpg/, /vmg/, /vst/ and /vm/
05/04/17New trial board added: /bant/ - International/Random
10/04/16New board for 4chan Pass users: /vip/ - Very Important Posts
[Hide] [Show All]


[Advertise on 4chan]


File: 8c2e0fa9fdacd626eb5972.png (314 KB, 474x711)
314 KB
314 KB PNG
Previous thread: >>16759536

>what is /sqt/ for?
Basic questions regarding maths and science. Also homework.
>where do I go for advice?
>>>/sci/scg or >>>/adv/
>where do I go for other questions and requests?
>>>/wsr/ >>>/g/sqt >>>/diy/sqt etc.
>how do I post math symbols (Latex)?
rentry.org/sci-latex-v1
>a plain google search didn't return anything, is there anything else I should try before asking the question here?
scholar.google.com
>where can I search for proofs?
proofwiki.org
>where can I look up if the question has already been asked here?
warosu.org/sci
eientei.xyz/sci
>how do I optimize an image losslessly?
trimage.org
pnggauntlet.com
>how do I find the source of an image?
images.google.com
tineye.com
saucenao.com
iqdb.org

>where can I get:
>books?
libgen.rs
annas-archive.org
stitz-zeager.com
openstax.org
activecalculus.org
>articles?
sci-hub.st
>book recs?
4chan-science.fandom.com/wiki//sci/_Wiki
math.ucr.edu/home/baez/physics/Administrivia/booklist.html
>online courses and lectures?
khanacademy.org
>charts?
imgur.com/a/pHfMGwE
imgur.com/a/ZZDVNk1
>tables, properties and material selection?
www.engineeringtoolbox.com
www.matweb.com
www.chemspider.com

Tips for asking questions here:
>avoid replying to yourself
>ask anonymously
>recheck the Latex before posting
>ignore shitpost replies
>avoid getting into arguments
>do not tell us where is it you came from
>do not mention how [other place] didn't answer your question so you're reposting it here
>if you need to ask for clarification fifteen times in a row, try to make the sequence easy to read through
>I'm not reading your handwriting
>I'm not flipping that sideways picture
>I'm not google translating your spanish
>don't ask to ask
>don't ask for a hint if you want a solution
>xyproblem.info
>>
What is the side length of the smallest possible regular pentagon which has three non-overlapping unit squares inside it?

In picrel there's an approximation but what is that number exactly?
>>
>>16804227
That depends whether the result is a true approximation calculation using some kind of optimization method or if there is a closed form solution. What is the source of that result? Is there a reference to a paper? If nothing is stated then I suspect it was brute forced.
>>
>>16804263
I have not seen a paper on that. Picrel is also interesting, the smallest possible domino (a rectangle twice as wide as it is tall) inside of which you have packed four unit squares. That one doesn't look like it should be too difficult to find the exact value for the width of that domino.
>>
asd
>>
>>16803890
Guys, what do you think the easiest way to kill yourself is ;-;
>>
>>16804677
Starvation
Simply do nothing. Can't be easier than that.
>>
My previous glasses were pretty fine at the time, my current ones kind of skew/blur vision pretty aggressively anywhere outside the center, but I did let them use some process to have thinner lenses as not to make them much thicker than the previous ones.

Is my problem related to these thinner lenses/if I were to just say fuck it and go with hueg lenses for my next ones would I be fine?
>>
>>16805319
There's not enough information to give you an answer. There are a host of reasons you could be having problems and honestly thinner lenses (with a higher refractive index) is one of the least likely.
>>
File: bug.jpg (171 KB, 1170x741)
171 KB
171 KB JPG
The generalized bug problem. How do you solve it?

>you have a 3D block whose dimensions are A*B*C which can be any numbers unlike in picrelated where they're A=1, B=1 and C=2
>bug starts at one of the vertices
>you choose a point anywhere on the surface of the block
>the bug takes the shortest possible route to that point
>you always choose the point such that it forces the bug to walk the longest possible distance
>what is that distance in terms of the variables A, B and C?
>>
>>16805335
Well shit. Welp, I'll just have to sit down the optician and have a proper discussion then. Thanks for the help.
>>
>>16805426
I posted in the mathematics general
>>
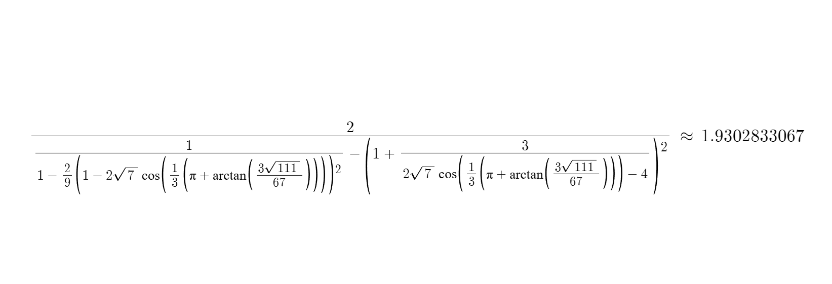
File: approximate.gif (11 KB, 599x90)
11 KB
11 KB GIF
>>16804271
lim_(θ -> 0.7071803221580622785653372003162958821142225919850185199871913137763128871526495) (tan(θ) + sec(θ))/(tan(θ) + 1/(2 (tan(θ) + 1))) = 1.930283306714269388479382889655815293968218059844208594792372679608045869550493
>>
File: exact.gif (26 KB, 544x412)
26 KB
26 KB GIF
>>16804271
lim_(θ -> 2 tan^(-1)(5/3 - 2/3 sqrt(7) cos(1/3 tan^(-1)((3 sqrt(111))/67)) + 2 sqrt(7/3) sin(1/3 tan^(-1)((3 sqrt(111))/67)))) (tan(θ) + sec(θ))/(tan(θ) + 1/(2 (tan(θ) + 1))) = (sec(2 tan^(-1)(5/3 - 2/3 sqrt(7) cos(1/3 tan^(-1)((3 sqrt(111))/67)) + 2 sqrt(7/3) sin(1/3 tan^(-1)((3 sqrt(111))/67)))) + tan(2 tan^(-1)(5/3 - 2/3 sqrt(7) cos(1/3 tan^(-1)((3 sqrt(111))/67)) + 2 sqrt(7/3) sin(1/3 tan^(-1)((3 sqrt(111))/67)))))/(tan(2 tan^(-1)(5/3 - 2/3 sqrt(7) cos(1/3 tan^(-1)((3 sqrt(111))/67)) + 2 sqrt(7/3) sin(1/3 tan^(-1)((3 sqrt(111))/67)))) + 1/(2 (1 + tan(2 tan^(-1)(5/3 - 2/3 sqrt(7) cos(1/3 tan^(-1)((3 sqrt(111))/67)) + 2 sqrt(7/3) sin(1/3 tan^(-1)((3 sqrt(111))/67)))))))
>>
I've been dabbling in enviro science recently, mainly in topics pertaining to oil depletion etc. From what I understand, the conventional oil production and the public discourse on natural resources reached their climax in mid 2000s before GFC, but then they magically vanished for some reason. Does any anon know why?
I know there has been a shale revolution in US and thanks to technology improvements we kicked the can down the road a bit further, but obviously a finite resource that is constantly being extracted has to end at some point (or rather become unaffordable for further extraction due to declining EROEI). The idea itself that finite resources will end one day is quite universal and rather uncontroversial, so where did this conversation go?
>>
Does the powerful magnetic field inside and MRI machine affect the chemistry of the human body? Since the machine also pulses electric fields to manipulate hydrogen atoms does it also affect electrons in ionic and covalent bonds changing chemical properties?
>>
Could a star be orbiting a black hole and then a habitable planet orbiting that star?
>>
>>16806078
Look up 3 body problem and stability
>>
>>16806018
MRIs work by inducing spin polarization of protons in the nucleus. Electrons, and so any chemistry, therefore remains unaffected.

>>16806202
Sure such systems are inherently unstable but that still means they can be semi-stable for a period of time. Take Alpha Centauri for example, that is a 3 star system that has existed with near-unchanging orbits for billions of years. So to answer >>16806078, yes it's possible, in theory, but it would require a very particular set of unlikely circumstances for that to happen.
>>
>>16806235
>unlikely
Moons are pretty ubiquitous for planets
>>
>>16806202
Sun-earth-moon is obviously a three body system and it stable. The effects of chaos in that system are so small that it's not noticeable due to the fact that the sun has 328915 times more mass than earth and moon combined. The black hole cold very well have that much more mass compared to the combined mass of the star and the planet.
>>
>>16804271

vertices of square 1:
A = (–2, –1)
B = (s – 2, –1)
C = (s – 2, s – 1)
D = (–2, s – 1)

vertices of square 2:
E = (s + t – 2, 1)
F = (s + t – 2 + s*cos(π + θ), 1 + s*sin(π + θ))
G = (s + t – 2 + √2*s*cos(π + θ + π/4), 1 + √2*s*sin(π + θ + π/4))
H = (s + t – 2 + s*cos(π + θ + π/2), 1 + s*sin(π + θ + π/2))

vertices of square 3:
I = (2 – s – t, –1)
J = (2 – s – t + s*cos(θ), s*sin(θ) – 1)
K = (2 – s – t + √2*s*cos(θ + π/4), √2*s*sin(θ + π/4) – 1)
L = (2 – s – t + s*cos(θ + π/2), s*sin(θ + π/2) – 1)

vertices of square 4:
M = (2, 1)
N = (2 – s, 1)
O = (2 – s, 1 – s)
P = (2, 1 – s)
>>
>>16806422

vertices J, K, and O are collinear
<==>
Det[{{2 – s – t + s*cos(θ), s*sin(θ) – 1, 1}, {2 – s – t + √2*s*cos(θ + π/4), √2*s*sin(θ + π/4) – 1, 1}, {2 – s, 1 – s, 1}}] = 0
<==>
(2 – s)*sin(θ) + t*cos(θ) = s
>>
>>16806422

vertices G, K, and L are collinear
<==>
Det[{{s + t – 2 + √2*s*cos(π + θ + π/4), 1 + √2*s*sin(π + θ + π/4), 1}, {2 – s – t + √2*s*cos(θ + π/4), √2*s*sin(θ + π/4) – 1, 1}, {2 – s – t + s*cos(θ + π/2), s*sin(θ + π/2) – 1, 1}}] = 0
<==>
(2 – s – t)*sin(θ) + cos(θ) = s
>>
>>16806422

vertices H, K, and L are collinear
<==>
Det[{{s + t – 2 + s*cos(π + θ + π/2), 1 + s*sin(π + θ + π/2), 1}, {2 – s – t + √2*s*cos(θ + π/4), √2*s*sin(θ + π/4) – 1, 1}, {2 – s – t + s*cos(θ + π/2), s*sin(θ + π/2) – 1, 1}}] = 0
<==>
(2 – s – t)*sin(θ) + cos(θ) = s
>>
Think of the digestive tract as a chromatography column. Do different foods have different affinities?
Intuitively I would say yes because there are enzymatic and acidic digestion stages. What foods have the longest and shortest residency times (eat to poo latency)? I eat a lot of fiber so personally everything looks homogenous to me.
>>16804749
Dehydration, you mean
>>
File: s and t.gif (3 KB, 236x43)
3 KB
3 KB GIF
>>16806426
>(2 – s)*sin(θ) + t*cos(θ) = s
>>16806428
>(2 – s – t)*sin(θ) + cos(θ) = s

Solve[{(2 – s)*sin(θ) + t*cos(θ) = s, (2 – s – t)*sin(θ) + cos(θ) = s}, {s, t}]

the foregoing eventually leads to the following

s = (2*tan(θ) + 1/(tan(θ) + 1))/(tan(θ) + sec(θ))
t = 1/(tan(θ) + 1)
>>
>>16807191
>s = (2*tan(θ) + 1/(tan(θ) + 1))/(tan(θ) + sec(θ))

Plot[(2*tan(θ) + 1/(tan(θ) + 1))/(tan(θ) + sec(θ)), {θ, 0 – π/4, π – π/4}]

s has two local minimums
and one local maximum
in this interval:
–1 < θ/(π/4) < 3
>>
>>16807191
>s = (2*tan(θ) + 1/(tan(θ) + 1))/(tan(θ) + sec(θ))

Plot[(2*tan(θ) + 1/(tan(θ) + 1))/(tan(θ) + sec(θ)), {θ, π – π/4, 2*π – π/4}]

s has zero local minimums
and two local maximums
in this interval:
3 < θ/(π/4) < 7
>>
File: theta and alpha.gif (4 KB, 358x49)
4 KB
4 KB GIF
>>16807201
>local maximum

ds/dθ = 0
0 < θ < π/2

the foregoing leads to the following

3*tan(θ/2) = 5 – 4*√7*cos(α)
3*α = arctan(3/67*√111) + π
>>
can high fluid reasoning overcome poor working memory and memory recall?
>>
File: images-11.png (9 KB, 537x372)
9 KB
9 KB PNG
>>16803890
Circuit theory class is such bullshit. I hate dependent source superposition problems
>>
>>16807222
If you practice a concrete method of analysis enough maybe you can. But it has to be to the point that its second nature
>>
>>16807303
>filtered by matrix algebra
Sorry dude
Captcha: HAHHH
>>
>>16807310
Nigger I took that class, but the teacher wants it done via kvl, superposition and and supernodes. Seems like you're bad at showing work. Figures
>>
File: Q5.png (49 KB, 868x279)
49 KB
49 KB PNG
>>16803890
Having trouble with this question and would appreciate help. It's the type of question that doesn't directly appear in the text or lectures.
>>
>>16807572
What have you tried? You just have to bound the integrals. For 2 and 3 it can help to use
[eqn]\text{VAR}(Y) = \text{VAR}(Y - \mu)[/eqn]
first.
>>
>>16807572
Not the other anon, but 1 is pretty easy. If they gave you P(X=x) exactly, how would you do 1? Write it out.

You were not given P(X=x). What did they they give you instead? All they want is a proof, not some exact number now. How does what they give you help?
>>
chemistry question, the notes say "is refluxed under azeotropic distillation conditions until the evolution of water stops". im going to be using a dean stark apparatus so the azeotropic part is no problem, but what does it mean by the evolution of water? is it a typo and was supposed to be distillation? there shouldnt be anything in there that boils at under 100c so i cant see why i would stop then (because nothing would have happened), but maybe water is made in the reaction and im reading it wrong
i might be overthinking it but can anyone put me straight?
>>
>>16807211
>3*tan(θ/2) = 5 – 4*√7*cos(α)

s = (2*tan(θ) + 1/(tan(θ) + 1))/(tan(θ) + sec(θ))

tan(θ) = 2*p/(1 – p^2)

sec(θ) = (1 + p^2)/(1 – p^2)

p = tan(θ/2)
>>
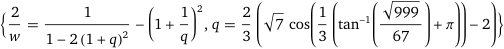
File: download.gif (6 KB, 299x228)
6 KB
6 KB GIF
>>16808139
>s = (2*tan(θ) + 1/(tan(θ) + 1))/(tan(θ) + sec(θ))

w/1 = 2/s

s = 1/(1 – 2*(1 + q)^2) – (1 + 1/q)^2

q = 2*(√7*c – 2)/3

c = cos((arctan(3/67*√111) + π)/3)

https://www.wolframalpha.com/input?i=Solve%5B%7Bw+%3D%3D+2%2Fs%2C+s+%3D%3D+1%2F%281+-+2+%281+%2B+q%29%5E2%29+-+%281+%2B+1%2Fq%29%5E2%2C+q+%3D%3D+%282%2F3%29+%28Sqrt%5B7%5D+c+-+2%29%2C+c+%3D%3D+Cos%5B%28ArcTan%5BSqrt%5B999%5D%2F67%5D+%2B+Pi%29%2F3%5D%7D%5D
>>
I can't tell if this bullshit is a schizo or a bot posting?
>>
Can someone help me understand why 1.2.5 is true? I understand when i=j it would be equal to 1, but don't understand why i j unequal would made it to zero to be a kronecker Delta(which is also a suspicious way of saying identity matrix.
The book is theoretical elasticity and Im beaten 5 pg in. PDF in the immediate response.
>>
>>16808350
Well shit, file size is too large.
theoretical elasticity by A. E. Green and W. Zerna
>>
>>16808350
>Can someone help me understand why 1.2.5 is true?
It's just saying that B= A^{-1} or BA = AB = I
You're transforming from like do -> dO -> do, isn't that just I?
You're transforming from like dO -> do -> dO, isn't that just I?

>kronecker Delta(which is also a suspicious way of saying identity matrix.
It is, yes, but you shouldn't even need to always think about things in terms of matrices.
>>
>>16808360
I would like to do things element by element in a matrix before I can trust the circular definitions. Let me chew on what you said for a while.
>>
>>16808377
Just write out the matrix then, and multiply it out. It's pretty straightforward
>>
>>16808153
>bullshit
I know your posts are, but what are mine?
>schizo
I know you are, but what am I?
>>
File: leaningtoer.jpg (95 KB, 1200x675)
95 KB
95 KB JPG
To make the leaning tower of lire lean over the edge of the table by N brick lengths, the minimum number of bricks you need is supposedly round(e^(2*N-y)), where 'y' is Euler-Mascheroni constant. How do you prove this?
>>
>>16809652
The block stacking problem has a known solution given by: [eqn]N = \frac{1}{2} \sum_{i=1}^{b} \frac{1}{i}[/eqn] where N is the overhang in brick lengths, and b is the number of bricks. This answer is what your image is depicting.
The sum is just the Harmonic Series, and the total at the 'b'th term is approximated by the Euler-Maclaurin formula: [eqn]\sum_{i=1}^{b} \frac{1}{i} \sim \ln{b} + \gamma - \frac{1}{2b} + \mathcal{O}(\frac{1}{b^2})[/eqn].
So [math]2N \sim \ln{b} + \gamma - \frac{1}{2b} + ...[/math], then with the rounding you can drop the 1/2b (and smaller) terms and isolate for b, which gives you what you wanted to prove.
>>
>>16803890
>be me
>sitting about, thinking of restaurant menus
>take a noun and an adjective
>a word with the adjective on the left of the noun is seen as inherently less fancy than that with the same adjective on the right
>e.g. foster bananas vs bananas foster
>also see: french cuisine
>and i was thinking, is there some (obv noncomm) algebraic structure A where xA < Ax for all x in some set?
>>
File: 1730099223337685.png (232 KB, 756x385)
232 KB
232 KB PNG
I'm going through a university physics book. I spend about 0.5-1 hour every day on it. I'd like to get through the first two parts: part 1: mechanics and part 2: oscillation, waves, and fluids in the next 100 hundred days. Would you say I'm going through it fast enough? I'm on page 40 out of about 290. But I'm not being really disciplined. I stop when I get a little tired, I just make sure I do a bit every day.
So I guess my question is if 100 days is enough to learn these two parts if you do a bit every day but no more than an hour.
>>
>>16810888
Just go at whatever pace works for you. Slow but understanding everything you read is better than quick but learning nothing.
>>
>>16810895
I have physics 2 at uni starting February I want to be ready by then.
I took physics 1 like 9 years ago and my professor gave me a pity C. I just slept in her class.
>>
>>16804271
>That one doesn't look like it should be too difficult to find the exact value for the width of that domino.
In the image, w = Evert Stenlund's constant.
>>
>>16811407
>Evert Stenlund's constant
In the image, there are 4571 digits after the decimal point.
And, with the possible exception of the last few digits, all of them are correct.
>>
>>16811407
That's cool. I'll try to create the picture of the domino with four unit squares inside it with Desmos to see if that constant matches. The only thing left would be to know what the center coordinates of the squares are and their angles. Otherwise I need to approximate those manually.
>>
Why is Multivariable Analysis so fucking hard? There are so many obtuse theorems that are so fucking hard to understand compared to Real Analysis. I need to read and reread a theorem for hours until I'm able to start understanding it somewhat. I've never had this issue with any other area of mathematics.
>>
File: 1729049571418858.png (285 KB, 1792x576)
285 KB
285 KB PNG
I'm getting 23.1569 out of (gx)/(v_0*_v0). So what am I doing wrong?
>>
>>16812512
Wrong units. You didn't convert km to meters.
>>
>>16812099
>That's cool.
Ain't it?
>I'll try to create the picture of the domino with four unit squares inside it with Desmos
No, let me do that!
>to see if that constant matches.
We already know from the OP's "1.930+" that it does.
>>
>>16812412
Do you understand linear algebra well?
>>
File: 1665887347057128.png (17 KB, 1025x205)
17 KB
17 KB PNG
How do you prove that this integral is equal to this series?
>>
>>16812903
Try writing it as a power series? [math] x^x^2 = \exp(x^2 \log(x)) [/math]?
>>
I wanna research gravity/black holes, what is the best country in the EU for that?
>>
>>16812893
I'm a little rusty in it but I'm not completely clueless.
>>
>there is a field called the inflation field that flies through space, generating an infinite amount of universes
>the universes are born, they live, and then they die
>the inflation field then eventually creates a new universe in their place
if space is infinite and has always existed, then why do they say that time hasnt always existed? is inflation theory really our current best idea about the universe?
>>
>>16813622
> if space is infinite and has always existed
We don't know that. We don't what existed before the big bang, it's almost a meaningless question, like asking what is north of the north pole, since all the space and time in this universe began from that event. There was no "before".

>generating an infinite amount of universes
>the universes are born, they live, and then they die
>the inflation field then eventually creates a new universe in their place
I don't know what you have been reading/watching but there is no proof for any of that. Inflation is the idea that in the very earliest fractions of a second after the big bang the universe expanded exponentially fast. It is a theory that explains a lot of things we have observed about the universe and the consensus is that the idea is generally correct. The inflaton field is a different hypothesis that tries to explain why inflation happened, what caused it. I'm not sure even the majority of physicists believe it's the correct explanation, there's certainly no current evidence it's true.
>>
>>16811410
It took my program one minute and 12 seconds to calculate it to 25000 decimal places. I bet nobody has calculated this many digits of this number before.
>>
>>16813270
well, it really helps. on the one side the derivative is a map [math]D: \mathbb R^m \to L(\mathbb R^m \to \mathbb R^n)[/math] and on the other side multilinear forms are, well, linear maps, and their exterior products live in finite dimensional vector spaces.
>>
File: probably witchery.png (11 KB, 875x287)
11 KB
11 KB PNG
>>16803890
Anydice tells me that the middle of 3 ten sided dice has a 21.6% chance of being 3 or less. Same chance it has of being 8 or more. Which I understand no issue and AnyDice agrees.
Going by that understanding say it should have 43.2% of being either
But then AnyDice goes and tells me that this same middle of 3d10 has ~38.5% chance of being either.

I need a less retarded anon to explain to me what I'm too smooth to see
>>
>>16814294
I can't replicate the 38% figure with a simple simulation. Maybe it's incorrect?


import random

def sim():
dies = [random.randint(1, 10) for _ in range(3)]
dies.sort()
med = dies[1]
return med <= 3, med >= 8, med <= 3 or med >= 8

c1 = 0
c2 = 0
c3 = 0
n = 100000
for _ in range(n):
r1, r2, r3 = sim()
c1 += r1
c2 += r2
c3 += r3

c1 /= n
c2 /= n
c3 /= n

print(c1, c2, c3)

>>> 0.21728 0.21546 0.43274
>>
>>16814352
Maybe i'm talking to it wrong, I'll try and email them see if I'm doing syntax errors
Thanks for telling me my brain has some wrinkles anon
>>
>>16814363
I was about to say, the & operator may not be doing what you think it does because >>16814352 looks correct to me. The 38.5% answer is dubious.
>>
>>16814363
>>16814367
Looking into it a little bit it seems anydice is treating the two instances of M as independent draws. So it's computing [math]p(A or B)=p(A)+p(B)-p(AB)[/math] and then by independence [math]p(AB)=p(A)p(B)[/math] instead of 0 (which would be the dependent case where it's impossible to have both at the same time).
This would also explain why
M:d3
output M<=1
output M>=3
output M<=1|M>=3
yields 1/3, 1/3, 5/9 instead of 6/9 in the last case. Maybe in the documentation they mention how to actually assign a variable to one die and reuse it but I didn't see it after a quick look.
>>
hey if i want to consider teaching myself some fundamentals (like say i would follow some basic biology 101 curriculum) what would you recommend the best way to go about it? download some lectures online, maybe look up semester syllabi from some big name schools, see if there's some free example tests somewhere, that sorta thing? it's been a long time since i used it but how about shit like coursera just for a 'free class' already made

i want to teach myself maths from the ground up too but i imagine that would involve a whole lot of note-taking and many practice tests
>>
I think I’ll have to learn the Julia language in order to implement and test a certain genetic algorithm I’m working on. Do any of you have experience with it? I just want to know how steep the learning curve is and what subtleties I should be aware of.
>>
>>16815724
You'll be fine. As far as programming languages go it's one of the easiest for noobs, even more so than Python. It's relatively high level and it's only designed to do a few things but do them very well, and that's all related to manipulating and visualising data.
>>
>>16812099
>the picture
I drew pretty. And you?
>>
>>16813738
>[image]
I would have written q like this:
2*(sqrt(7)*cos((arctan(sqrt(999)/67)+pi)/3)–2)/3
And copied and pasted it into this:
2/(1/(1–2*(1+q)^2)–(1+1/(q))^2)
For a total length of 31–2 + 2*48 = 125 characters.
>one minute and 12 seconds
71955 ms
>I bet nobody has calculated this many digits of this number before.
I bet so too.
>>
>>16815922
Lol
>>
>>16814352
>>16814367
>>16814377
I've sent a message to the guy with my retelling of your theory, will update you if he replies.
Re reading through the documentation it only shows using & with fixed variables so it's probably that
Even variable themselves are always shown as M: [fixed number or formula]
>>
File: 1556003998520.png (932 KB, 1000x767)
932 KB
932 KB PNG
Anyone here know of something befitting: >>>/wsr/1540306 ?
>>
>>16807206

s = s(θ) has three local maximums.
The second one occurs when:
3*Tan[θ/2] = 5 + 4*√7*Cos[ArcTan[3/67*√111]/3]
The depicted situation corresponds to that θ.

θ ≈ 2.75847546287800732597
s ≈ –0.5867342553508008908
t ≈ 1.6751308705666460709

vertices C, F, and G are collinear
vertices G, H, K, and L are collinear
vertices J, K, and O are collinear
>>
Does anyone know how much longer a black person can stay under the sun before they get a sunburn compared to a white person? I cant find any numbers on it and i know there are ethical problems with waiting till people burn but surely someone was curious enough to test this when the rules were more lax
>>
>>16816932
You're search-fu must be shit because I found hundreds of links. tl;dr 10-15 minutes longer than it would take a white person.
>>
>>16816935
It is total garbage, i have no idea what im doing, all i get is junk. Can i see the source you found please?
>>
>>16816937
It was really difficult. I had to enter the complex input "how much longer a black person can stay under the sun before they get a sunburn" into something called Google.
>>
>>16816940
I used the wrong search so i got about 2 dozen websites of "Do black people never get sunburnt(MYTH)!!1/!?>?!?!!!" with one site claiming that white people are 8 times more sensitive to the sun whatever the hell that means
Google does work better it seems so thanks
>>
>>16804271
Here it is in all of its glory, the Evert Stenlund number. Even has the meme number 67 two times in it.
>>
>>16817303
Fascinating...excellent...

Just issue a variable to represent it and call it a day
>>
>>16815885
I found that the angle of the two middle squares is about 49.4815 degrees. I'm not even going to try to figure out what that is exactly. The center coordinates of the first middle square are about (1.46514164,1.22533848) if the bottom left corner of the domino is at (0,0).

Here's link: https://www.desmos.com/calculator/xgbhuygcfh
>>
>>16817303
This looks like a fun one. Our next challenge shall be to find the exact side length of the smallest possible regular hexagon which has seven equilateral triangles (with unit side lengths) inside it.
>>
File: 1755308840717.jpg (359 KB, 711x633)
359 KB
359 KB JPG
Why do schedule 1 drugs exist if they don't have any medical or chemical use?
>>
>>16817651
In some cases they're naturally occurring (e.g. heroin)
In some cases they once had medical use but got phased out in favour of better alternatives (e.g. benzylmorphine)
In some cases they were created in search of better alternatives, but ended up showing less promise than the original and so never replaced it (e.g. acetorphine)
>>
>>16817396
Your picture is finer than mine.
And it doesn't deviate from the OP's prompt (the way mine does).
>Näyttökuva
>21[:]23[:]02
I guess, that you're based in Finland.
Evert Stenlund is from Sweden.
>I found that the angle of the two middle squares is about 49.4815 degrees.
It's closer to 49.4816.
And mathematicians don't use degrees.
I guess, that you're not a mathematician.
>I'm not even going to try to figure out what that is exactly.
It's π/2 – θ.
That's in radians.
Where 3*Tan[θ/2] = 5 – 4*√7*Cos[(ArcTan[(3/67)*√111] + π)/3].
>Here's [the] link:
I should learn how to use Desmos.
>>
>>16818160
Degrees are easier to understand than radians. Degrees are better.
>>
>>16811410
>1.930...431

>>16813738
>1.930...430893...115
>>
>>16817303
>>16817396
>>16817438
>>16817441
>>16818160
>>16818253
fucking hell, make your own thread for this autistic bullshit. it doesn't belong here.
>>
>>16807206

s = s(θ) has three local maximums.
The third one occurs when:
3*Tan[θ/2] = 5 + 4*√7*Cos[(ArcTan[3/67*√111] + 2*π)/3]
The depicted situation corresponds to that θ.

θ ≈ –0.967564240239560753
s ≈ –16.4493830819557121
t ≈ –2.21431974337753519

vertices C, F, and G are collinear
vertices J, K, and O are collinear
(for every θ)
>>
What's a simple way to quantify how uniform a distribution is?
For example if I have 20 dollars distributed amongst 5 wallets in [8 3 1 1 6] and 20 dollars distributed among another 5 wallets in [3 4 5 5 3]. What would be a good way of quantifying that? Doesn't need to be anything very complex.
>>
>>16818960
Average.
>>
Whats it like to be smart? Im really jealous of smart people and how their brains work, how easy it is for them to come up with ideas and create things. It's like watching magic
>>
>>16819083
I've found that a lot about being smart is having a good memory, learning fast, then using everything I can remember to solve most problems easily. But then when I run into something new where that doesn't work I'm just like everyone else, as dumb as bricks.
>>
>>16814352
>>16814367
>>16814377
>>16814294
There goes the official reply
>It is working as intended. M is defined as the probability distribution for 2@3d10, not a concrete value. Usage of M is a substitution of that, nothing concrete. To act on the same number multiple times, create a function that acts on a specific number, like so:

function: check M:n {
result: M < 8 & M > 3
}

output [check 2@3d10]

It does return 43.2 as expected
>>
>>16818960
>[8 3 1 1 6]
The sum is only 19.
>[3 4 5 5 3]
The sum is 20.
>>
Does anyone here have some intermediate knowledge on metaanalysis? I want to find a book that talks about fixed effect meta analysis, but where there is still some differnce between different study populations, but they can be estimated using bmi, age, percentage of men etc, so kind of like random effects metaanalysis but not really
>>
File: 1737382971564510.jpg (26 KB, 661x136)
26 KB
26 KB JPG
Can I just say that [math]f^{-1}(B_\epsilon(f(x))) = B_\epsilon(x)[/math] so that it's an open ball contained in [math]f^{-1}(V)[/math]?
>>
>>16818960
The simplest thing is just the range "max - min". If you want to be a bit more sophisticated you'd probably compute a coefficient of variation.
>>16819205
Cool, so it can do it, it's just a bit of work.
Thanks for following up.
>>16819397
If [math]f(x)=|x|[/math] and [math]x=1,\varepsilon=0.5[/math] then [math]f^{-1}(B_\varepsilon(f(x)))=(-1.5,-0.5)\cup(0.5,1.5)[/math] but [math]B_\varepsilon(x)=(0.5,1.5)[/math].
[math]f[/math] could also "stretch" or "bend" or ... space so it doesn't map balls to balls.
So you need some more effort to find a ball within the preimage.
>>
>>16819397
No, dude, you aren't assured that a ball is always mapped to a ball. If you map the interior of a circle to something else, are you always assured that something else is a ball? That would be insane and way too strict.

Your question asks
>Given that definition #1 is true, can you prove claim #2?
They even hand hold you and give you the first place to start.
Read this second sentence thoroughly. Then reread what was given to you for free to be true, also thoroughly. How can you relate the two together? Literally use what was given to you. This is literally how most homework is to be done.
>>
What if you take pi in base-2 and then treat that number as though it was base-10? So you would take the number 11.0010010000111111011... and decide that that's a base-10 number now.

What do we know about this new number, is there a mathematical formula for it like there is for the normal pi?
>>
>>16819735
The value of pi doesn't change, only its representation does.

Your binary number is just the sum of specific powers of 2: [eqn]B = \sum_{k=0}^{n} 2^{p_k}[/eqn] (in this case n would be infinite: [math]2^1 + 2^0 + 2^{-3} + ...[/math])

So to transform that representation to base10, use the same exponents but change the base: [eqn]T = \sum_{k=0}^{n} 10^{p_k}[/eqn]
>>
>>16817441
s ≈ 1.277349778300002378923
>>
File: download.gif (9 KB, 452x332)
9 KB
9 KB GIF
>>16817441
Solve[{(-s + Cos[Pi/3] - u)^2 + (0 + Sin[Pi/3] - s (Sqrt[3]/2))^2 == 1, (s + Cos[(2 Pi)/3]/Sqrt[3] - u)^2 + (0 + Sin[(2 Pi)/3]/Sqrt[3] - s (Sqrt[3]/2))^2 == 1}, {s, u}]
>>
File: download.gif (7 KB, 578x186)
7 KB
7 KB GIF
>>16817441
252 s^4 - 102 sqrt(3) s^3 - 306 s^3 + 63 sqrt(3) s^2 + 108 s^2 - sqrt(3) s - 9 s = 2 + 2 sqrt(3)
>>
File: solar eclipse.jpg (32 KB, 600x333)
32 KB
32 KB JPG
i'm going to see a solar eclipse in august next year, it will be a very uncommon opportunity and i want to make the most out of it. i'm planning on watching it from a very high mountain

i hear i need special glasses for protection, are the cheap ones sold at aliexpress ok?

anything else i should look out for or prepare?
>>
>>16819901
Hell no, you risk damaging you eyes permanently. Just follow this advice: https://science.nasa.gov/eclipses/safety/

As long as you use common sense and don't stare into the sun, just like you normally wouldn't, it's fine. The experience is still mind blowing (I've been to two).
>>
>>16819807
Can you do this one next? The side of the smallest hexagon with five unit circles inside.

It looks like it's just a tiny bit less than three. I wonder how close to three that number is.
>>
>>16820354
I first thought this was easy by assuming that the circles are arranged in a regular pentagon pattern. But that assumption is false because I got an incorrect answer by assuming that. The arrangement of the circles is an irregular pentagon which is very very close to a regular one.
>>
with public-private key cryptography would it be mathematically possible to have additional keys which decrypt some mapping instead of the actual data?
>>
>>16820896
Not at a cryptography level since while any possible key can attempt to decrypt the data, the result will be junk. However applications can do various things to add functionality, as in encrypt separate blocks of the data with different keys - this is how hidden partitions work - or encrypting copies of the real key with multiple different keys to allow multi-user access.
>>
File: 1760189357703087.png (107 KB, 1232x282)
107 KB
107 KB PNG
Why is this book recommended in the sticky? Nobody uses this notation.

Young and Freedman - University Physics with Modern Physics
>>
I have a question but it's not really simple, it's about a weird graduate admissions situation. /adv/ doesn't seem to be responding. Is this the right board to post it?
>>
File: behold.gif (9 KB, 511x304)
9 KB
9 KB GIF
>>16820354
>I wonder how close to three that number is.

Solve[{((s – 2/√3) – c)^2 + (0 – (√3*s/2 – 1))^2 = 4, (c – (√3 – s))^2 + ((√3*s/2 – 1) – 1)^2 = 4}]

s ≈ 2.9993554 > s
c ≈ 0.6413526 > c
>>
File: downloadfile.jpg (29 KB, 637x358)
29 KB
29 KB JPG
The midterms ended and the math general died. How dare you dumb fucks. Why is hitler quarter e1b african jew through a jew grandma and mystery afrojew giving adolf the wide african nose?
>>
>>16820863
>an irregular pentagon
the interior angles thereof are:
1.87419/π*180 ≈ 107.38 = 108 – 0.62
1.91297/π*180 ≈ 109.61 = 108 + 1.61
1.85046/π*180 ≈ 106.02 = 108 – 1.98
1.91297/π*180 ≈ 109.61 = 108 + 1.61
1.87419/π*180 ≈ 107.38 = 108 – 0.62
>>
>>16821399
>>
>>16821399
>>
>>16821900
The pentagon formed by connecting the centers of the five unit circles (in the order Circle 1 2 3 4 5 1) is equilateral, with all side lengths exactly 2 (up to the numerical precision of the given parameters). Due to the specific geometric construction—likely involving the circles being tangent to each other and to the hexagon—it is very nearly regular. The computed interior angles are therefore all approximately 108° (as expected for a regular pentagon), with only minor variations attributable to the approximate input values for the parameters:

- At Circle 1 center: ≈106.0°
- At Circle 2 center: ≈109.6°
- At Circle 3 center: ≈107.4°
- At Circle 4 center: ≈107.4°
- At Circle 5 center: ≈109.6°

The average is precisely 108°, and the sum is 540° (as required for any pentagon).
>>
>>16821399
No, there's no end to pretty.
>>
>>16821399
How jealous is Erich Friedman now?
>>
>>16821145
The /STEM/ general of /sci/ would be better
>>
How 564nm on vacuum space is 10^14 hertz frequency if (2.997×10^8(light speed))×(5,64×10^-11(wavelenght)) = 16,90?
>>
>>16823022
This is not the speed of light at all
>>
>>16821399

h = s*cos(π/6)
r = h – 1

y – r*sin(1*π/6) = tan(2*π/3)*(x – r*cos(1*π/6))
y – r*sin(3*π/6) = tan(0*π/3)*(x – r*cos(3*π/6))
y – r*sin(5*π/6) = tan(1*π/3)*(x – r*cos(5*π/6))
y – r*sin(7*π/6) = tan(2*π/3)*(x – r*cos(7*π/6))
y – r*sin(9*π/6) = tan(0*π/3)*(x – r*cos(9*π/6))
y – r*sin(11*π/6) = tan(1*π/3)*(x – r*cos(11*π/6))

a = s – 2/√3
b = 0

c = c
d = √3/2*s – 1

f = √3 – s
g = 1
>>
>>16821443
>WIR
>>
File: Jesus fish.png (6 KB, 250x101)
6 KB
6 KB PNG
>>16822542
>[pentagon]
≈ ichthys
= "Jesus fish"
>>
>>16807201
>two local minimums
They occur at θ = 0 and θ = π/2.
These two values of θ result in the same "constellation" or situation.
>>
>>16823036
Btw how do you simplify this equation with logarithims
>>
File: Erich Friedman.jpg (17 KB, 262x300)
17 KB
17 KB JPG
>>16822542
>Erich Friedman
green with envy
>>
I'm trying to get the magnitude of the components of a vector perpendicular to another vector, this is what I have so far, and I'm not even sure if it works but it seems to. But this seems like a very retarded solution I feel, is there a better way to do this?
(-abs(sin(acos(abs(vector.dot(v1, v2)))))) * vector.magnitude(v2)
>>
>>16825046
oh btw I forgot to mention v1 and v2 are normalized in the dot function
>>
>>16803890

Hey I am looking for a list with all the math subjects one studies in a bachelor in math.

I've seen this list many times but can't find it right now.

I will go to request next, I just thought it was likely someone here has it since it came from this board.

Alternatively, post complete math bachelor coursework subjects from whatever source, or link me to one.
>>
>>16825161
Have you tried to use any search engine to search for "{university name} + math + syllabus"?
>>
Why does blood sugar start rise to rise 15-30 minutes after eating when food stays in your stomach for 2-4 hours? Does the stomach have the ability to absorb glucose somehow or does little bits of digested food enter the intestines early?
This always confused me
>>
>>16825046
You worded that pretty strangely, but what I think you want is, for vectors [math]v,w[/math], you split [math]w[/math] into a part parallel to [math]v[/math] (call it [math]w_\parallel[/math]) and a part perpendicular to [math]v[/math] (call that [math]w_\perp[/math]). So [math]w=w_\parallel+w_\perp[/math] and these have inner product zero so [math]|w|^2=|w_\parallel|^2 + |w_\perp|^2[/math].
Since [math]w_\parallel=(v\cdot w / v\cdot v)v[/math] you have [math]|w_\parallel|=|v\cdot w|/|v|[/math] and you can rewrite [math]|w_\perp| = \sqrt{|w|^2 - (v\cdot w)^2 / |v|^2}[/math].
>>
>>16825789
Yup that's exactly what I was looking for thank you, sorry for my incomprehensible ESL
>>
>>16825525
the small instestine absorves it quicker than the chloridric acid breaks celulose
>>
File: P(MeNC2H4)3N.svg.png (33 KB, 1280x938)
33 KB
33 KB PNG
mix a verkade base with fluorantimonic to see what happens
>>
>>16825046
If you're in 3D or less, use a cross product. Otherwise, the pythagorean theorem with the dot product cosine is the general way
>>
File: animation.gif (405 KB, 800x600)
405 KB
405 KB GIF
>>16804271
In the animation, 0 <= θ <= π/2.
>>
File: animation.gif (298 KB, 640x480)
298 KB
298 KB GIF
>>16816578
In the animation, π/4 <= θ/3 <= π/2.
>>
>>16804677
For me? It’s the helium exit bag. Painless and best sleep of your life,
>>
>>16826396
>π/4 <= θ/3 <= π/2
correction: the inequalities are strict
>>
>>16803890
How close are we to AI that can play warhammer 40k or SC2 with me and simulate a real player at my skill level (rather than being human)?
>>
File: rocks.png (2.65 MB, 1350x1920)
2.65 MB
2.65 MB PNG
>>16803890
do you guys ... uuuh... like... rocks?
>>
I have a factory that generates cubes with a sidelength of 0-1. I pulled a cube from the collection:
what are the odds of side length being greater than 0.5?
what are the odds of face are being greater than 0.5?
what are the odds of volume being greater than 0.5?
>>
>>16826659
What attempt have you made on this simple ass hw problem?
>>
>>16826809
What are your answers?
>>
>>16826659
>what are the odds of side length being greater than 0.5?
1 – (1/2)^(1/1) = 50%
>what are the odds of face are being greater than 0.5?
1 – (1/2)^(1/2) ≈ 29.29%
>what are the odds of volume being greater than 0.5?
1 – (1/2)^(1/3) ≈ 20.63%
>>
File: duration = 5 seconds.gif (222 KB, 640x480)
222 KB
222 KB GIF
>>16818479
In the animation, 6 < θ/(π/4) < 7.
>>
[math]sinθ[/math]

Does this represents the ration between the [math]90°[/math] of a triangle rectangle and the hypotenuse? I don't seen to understand properly
>>
>>16826247
0 <= θ/(π/4) < 2
(2*45 – 1) – (0*45 + 0) + 1 = 90 frames
9 seconds
10 fps
>0 <= θ <= π/2
is still correct

>>16826396
3 < θ/(π/4) < 6
(6*45 – 1) – (3*45 + 1) + 1 = 134 frames
13.4 seconds
10 fps

>>16827408
6 < θ/(π/4) < 7
(7*45 – 1) – (6*45 + 1) + 1 = 44 frames
44/8.6 = 5 + 5/43 seconds
8.6 fps
>5 seconds
is incorrect
>>
>>16827437
It's the ratio of the two sides of the triangle, the
side opposite from one of the angles (not the 90
degree angle) and the hypotenuse.
>>
File: berry-colored squares.gif (772 KB, 640x480)
772 KB
772 KB GIF
>>16807201
Regarding the animation:
–1 < θ/(π/4) < 3
(3*45 – 1/2) – (–1*45 + 1/2) + 1 = 180 frames
10 seconds
18 fps
>>
File: berry delicious.jpg (134 KB, 960x960)
134 KB
134 KB JPG
>>16827763
>>
Did god make a way of breaking colour? Did the fella do it a bunch and to the very moment shoves it in Le face? La yes, La kinky
>>
>>16827018
This is a contradiction. If half the cubes have s > 0.5 how can ~80% of the cubes have a volume greater? 0.5^3 ???
>>
>>16828282
might want to reread that, very slowly this time
>>
Will water flow up the sides of a straw automatically in space? Online stuff are saying no for reasons but what about capillary action/water adhesion?
>>
>>16827762
so, the side that is an horizontal line?
>>
Is this AI slop or does it exist as a theorem/part of some theory from somewhere?
>>
File: ratbig.gif (17 KB, 875x605)
17 KB
17 KB GIF
>>16828485
No, the vertical line like pic related. The vertical
line of the right triangle (opposite) divided by
hypotenuse is your sine of the angle.
>>
File: green magenta.gif (994 KB, 640x480)
994 KB
994 KB GIF
>>16807191
range: 0 < θ/(π/4) < 8
(8*45 – 1/2) – (0*45 + 1/2) + 1 = 360 frames
duration: 15 seconds
24 fps
>>
>>16826659

Side Length Greater Than 0.5

The side length s is uniformly distributed between 0 and 1, so the probability density function is f(s) = 1 for 0 ≤ s ≤ 1.

The probability P(s > 0.5) is the integral of the density from 0.5 to 1:

P(s > 0.5) = ∫ from 0.5 to 1 of 1 ds = 1 - 0.5 = 0.5

(50% chance.)
Face Area Greater Than 0.5

The face area A = s2, so A > 0.5 implies s > √0.5 ≈ 0.7071.

Thus,

P(s > √0.5) = ∫ from √0.5 to 1 of 1 ds = 1 - √0.5 ≈ 0.2929

(≈29.29% chance.)
Volume Greater Than 0.5

The volume V = s3, so V > 0.5 implies s > (0.5)^(1/3) ≈ 0.7937.

Thus,

P(s > (0.5)^(1/3)) = ∫ from (0.5)^(1/3) to 1 of 1 ds = 1 - (0.5)^(1/3) ≈ 0.2063

(≈20.63% chance.)
>>
>>16828643

>(50% chance.)
>Face Area Greater Than 0.5
I put three blank rows between those two rows.
But the 4chan editor replaced them with no blank rows.

>A = s2
s^2

>(≈29.29% chance.)
>Volume Greater Than 0.5
I put 3 blank rows between those 2 rows.
But they were automatically deleted.

>V = s3
s^3
>>
>>16828282
>This is a contradiction.
Think again, because Grok and I got the same answers.

Here are Grok's answers:
>>16828643



[Advertise on 4chan]

Delete Post: [File Only] Style:
[Disable Mobile View / Use Desktop Site]

[Enable Mobile View / Use Mobile Site]

All trademarks and copyrights on this page are owned by their respective parties. Images uploaded are the responsibility of the Poster. Comments are owned by the Poster.