[a / b / c / d / e / f / g / gif / h / hr / k / m / o / p / r / s / t / u / v / vg / vm / vmg / vr / vrpg / vst / w / wg] [i / ic] [r9k / s4s / vip] [cm / hm / lgbt / y] [3 / aco / adv / an / bant / biz / cgl / ck / co / diy / fa / fit / gd / hc / his / int / jp / lit / mlp / mu / n / news / out / po / pol / pw / qst / sci / soc / sp / tg / toy / trv / tv / vp / vt / wsg / wsr / x / xs] [Settings] [Search] [Mobile] [Home]
Board
Settings Mobile Home
/sci/ - Science & Math


Thread archived.
You cannot reply anymore.


[Advertise on 4chan]


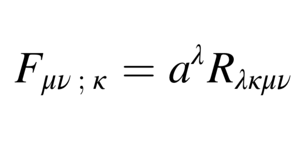
File: IMG_2801.jpg (23 KB, 613x330)
23 KB
23 KB JPG
Apparently this cute little relation is all you need to couple Maxwell’s tensor to the spacetime curvature tensor; gravity and antimatter fall out as natural results.

Why isn’t this bigger news? Isn’t this what Einstein was blueballing for?

Is Biefield-Brown back on the menu..?

https://www.sciencedirect.com/science/article/pii/S0003491624000691
>>
>>16910961
I vaguely follow the math, and can't truly appreciate the paper, but I can answer your question.
> Why isn’t this bigger news?
It doesn't combat hair loss or prolong erections.
People can't use it yet and the number of people that can understand it is small. It will become big news when one of these things change.



[Advertise on 4chan]

Delete Post: [File Only] Style:
[Disable Mobile View / Use Desktop Site]

[Enable Mobile View / Use Mobile Site]

All trademarks and copyrights on this page are owned by their respective parties. Images uploaded are the responsibility of the Poster. Comments are owned by the Poster.