[
a
/
b
/
c
/
d
/
e
/
f
/
g
/
gif
/
h
/
hr
/
k
/
m
/
o
/
p
/
r
/
s
/
t
/
u
/
v
/
vg
/
vm
/
vmg
/
vr
/
vrpg
/
vst
/
w
/
wg
] [
i
/
ic
] [
r9k
/
s4s
/
vip
] [
cm
/
hm
/
lgbt
/
y
] [
3
/
aco
/
adv
/
an
/
bant
/
biz
/
cgl
/
ck
/
co
/
diy
/
fa
/
fit
/
gd
/
hc
/
his
/
int
/
jp
/
lit
/
mlp
/
mu
/
n
/
news
/
out
/
po
/
pol
/
pw
/
qst
/
sci
/
soc
/
sp
/
tg
/
toy
/
trv
/
tv
/
vp
/
vt
/
wsg
/
wsr
/
x
/
xs
]
[
Settings
] [
Search
] [
Mobile
] [
Home
]
Board
▼
Settings
Mobile
Home
/sci/ - Science & Math
Return
Catalog
Bottom
Refresh
Post a Reply
[
Post a Reply
]
Name
Options
Comment
Verification
4chan Pass users can bypass this verification. [
Learn More
] [
Login
]
File
Please read the
Rules
and
FAQ
before posting.
Additional supported file types are: PDF
Use
T
e
X
with [math] tags for inline and [eqn] tags for block equations.
Right-click equations to view the source.
08/21/20
New boards added:
/vrpg/
,
/vmg/
,
/vst/
and
/vm/
05/04/17
New trial board added:
/bant/ - International/Random
10/04/16
New board for 4chan Pass users:
/vip/ - Very Important Posts
[
Hide
]
[
Show All
]
[
Advertise on 4chan
]
[
Return
] [
Catalog
] [
Bottom
]
Anonymous
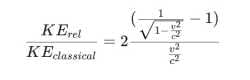
dupliter equation vs quantum g(...)
02/26/26(Thu)20:53:22
No.
16921062
File:
equation.jpg
(13 KB, 526x170)
13 KB JPG
dupliter equation vs quantum gravity
Anonymous
02/26/26(Thu)20:53:22
No.
16921062
Does quantum gravity disprove the dupliter theory?
>>
Anonymous
02/26/26(Thu)21:27:11
No.
16921071
Anonymous
02/26/26(Thu)21:27:11
No.
16921071
File:
3-Volvox2-x100-DIC-JM-Babalian.jpg
(944 KB, 2048x1844)
944 KB JPG
Quantum weak nuclear force...
[
Return
] [
Catalog
] [
Top
]
Post a Reply
Return
Catalog
Top
Refresh
[
Advertise on 4chan
]
Delete Post:
[
File Only]
Style:
Yotsuba
Yotsuba B
Futaba
Burichan
Tomorrow
Photon
[
Disable Mobile View / Use Desktop Site
]
[
Enable Mobile View / Use Mobile Site
]
All trademarks and copyrights on this page are owned by their respective parties. Images uploaded are the responsibility of the Poster. Comments are owned by the Poster.