Because it is pi day, post some of the most interesting pi formulas.
>>16929527
>>16929527pi = 22/7
>>16929527[math]\pi = 4[/math]
[math]Euler[/math][math]\sum_{n=1}^{\infty} \frac{1}{n^2} = \frac{1}{1^2} + \frac{1}{2^2} + \frac{1}{3^2} + \dots = \frac{\pi^2}{6}[/math][math]Leibniz[/math][math]\sum_{n=0}^{\infty} \frac{(-1)^n}{2n+1} = 1 - \frac{1}{3} + \frac{1}{5} - \frac{1}{7} + \dots = \frac{\pi}{4}[/math]
>>16929623based
>>16929542triviality masquerading as elegance. biggest psyop in history
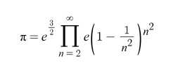
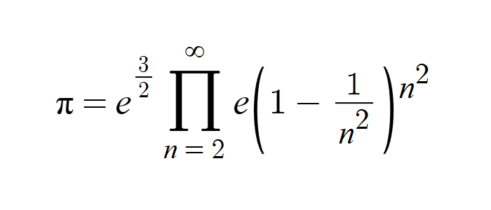
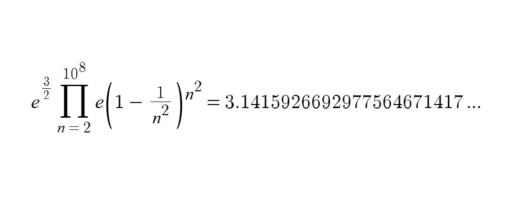
>>16929542[eqn]Holy Fucking Shit![/eqn]
Is Pi a rational number, but ape still too slow count rock calc machine big fast secret formula trick? Is Pi THE Rational number, the largest count of objects in the universe? Or count of "object"....Foam? Quantum...did you say foam...foam? *Spaghetti string theory falls out of the plastic bag in my pockets.....*HitsETHERPipe
>>16929739Go back to vixra schizonigger.
>>16929742I am not comfortable with the concept of infinity is all fren. I do not believe that it exists in this universe, perhaps outside of it, or beyond it...but not in it.Is that a sin?
>>16929700I don't know why they don't just hard swap everything over to tau, seems weird to allow legacy baggage to stick around in mathematics like it's some kind of bloated programming language
>>16929747pi is the best system we have, there's not enough resources for tau
"This specific series is famous because it converges incredibly fast, adding about eight decimal places of correct digits for every new term added to the sum."
Write a formal proof showing that tau is exactly equal to 2 times pi.
>>16930097only if you prove isotropy on the complex plane first
3.14259
>>16930124How would you distinguish a geometric shape we ought to use versus a shape that just fits the number?
>>16930285anon, it's a gay art project, you think pi gives a shit about how you represent it in base 10?
Gonna be funny when the 'happy pi day' thread is still here in july.
>>16930399If it's still there, might as well bump it all the way to the next year's pi day
>>16929527the one you posted is a very interesting pi formula because it diverges to infinity.
>>16930693No it doesn't
actually, e^(i*2pi) = D with D != 1oh the monodromy!
>>16929527>Because it is pi day, post some of the most interesting pi formulas.[eqn]\int_{-\infty}^{\infty}{\frac{1}{1+x^2}}[/eqn]
>>16929527Check this banger out from the Chud Bros. Fourteen terms of pi for every term of the series.And since November 2025 it was used to calculate pi to 314 trillion digits.
>>16929598That's a done deal, right there
>>16930124
>>16930097It's true by definition. [math]\tau[/math] is literally defined as a constant to be equal to [math]2\pi[/math]. What are you smoking?
>>16930097holy fucking kek look at this nigga
>>16929689super based