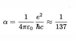
I heard some people say it's a new mathematical number like pi or e, except for a mathematical field not yet developed, and others say it's the fundamental constant of the universe from which all other constants are derivedwhy does it keep popping up everywhere?
> why does it keep popping up everywhere?Because it's a measure of the strength of the electromagnetic field. So anything quantum to do with EM and charge and it'll frequently appear.> others say it's the fundamental constant Then they are idiots. It's not actually a constant and varies with the interaction energy - though the difference is only really noticeable at higher energies.
>>16958032>why does it keep popping up everywhere?It's not popping up anywhere except QED, and it's not even as remotely fundamental as people want to think.And it's not even constant, to start with.And it's as fundamental as a half-life of some isotope (normalized by the Universe age, to get rid of dimensions, ofc).I understand why people were fascinated with it in the twenties and thirties, maybe even fifties and sixties, but physics doesn't revolve around electrons, protons and γ anymore.
>>16958032it isn't. The 1/137 thing is really just aesthetically pleasing and only approximate.Every single one of the physical constants (e,h,c,epsilon0) essentially relate to a choice of unit. >>16958055Hydrogen atom if you REALLY massage the equations but you gain fa from it
>>16958042The rest value is constant, you can easily derive the formula for how it runs at high energy.>>16958032There are other coupling constants that define the energy scales of the strong and weak nuclear forces, but QED is simpler and describes most systems you interact with well under the Born-Oppenheimer approximation
I'm a big fan of these papers. One comes from first principles dimensional analysis to find specific combinations of fundamental constants that cancel out to reveal a purely geometric relationship. I'm a big fan of this approach because, like alpha, pi is also a dimensionless constant (one that relates the 1D diameter with the 2D circumference), so it's useful to ideate it as some sort of geometric condition.The second comes from the geometries of the emission of point sources inside a cubic lattice to geometrically derive the physical basis for Reilly Jr (1971) (A new pastime—calculating alpha to one part in a million) empirical formula.While the first provided geometric interpretation, the second provided geometric precision, and both converge: akin to pi, alpha relates how a 1D vibratory source constructs a 3D vibratory field, a plain geometric definition.Given how alpha is in constant proportion to the impedance of free space—that being essentially a resistance per unit distance traveled in the field, we can see how a quantum of action (as charge) dilutes as it propagates between a 1D point source and 3D spherical wave modes and back.
>>16958216oops, the papershttps://www.researchgate.net/publication/333224718_The_Relationship_of_the_Fine_Structure_Constant_and_Pihttps://www.gsjournal.net/Science-Journals/Research%20Papers-Mechanics%20/%20Electrodynamics/Download/1827
>>16958042>>16958055>>16958200My QM prof who worked in LHC said it's one of the fundamental constants along with G and c so I think he probably knows a little more than you do retards
>>16959091It can't be a fundamental constant because it's a composite of other actual fundamental constants.
>>16958200>Every single one of the physical constants (e,h,c,epsilon0) essentially relate to a choice of unit.All the units cancel out though, anon. It doesn't matter what choice of units you use, you still need to convert them all to the same units to divide shit out.
>>16959091It's one of those hot takes that some people in the field have but everyone else just rolls their eyes at. Might as well claim the bohr radius is a fundamental constant.>>16959223There is a reason I didn't list alpha among the constants. It describes a relative unit, which is necessary because the natural length scales of EM and QM are mismatched. You can't choose c,hbar,4 pi epsilon0 and e to be all 1, and whichever you sacrifice will have that factor somewhere.
>>16958032It includes constants that indicate a relation between electromagnetism, quantum mechanics and relativity, I think that's interesting. But other than that I've never seen it before.
>>16959103you mean you can express through h, c, G? lmao
>>16959528What? h, c, G are fundamental because they can't be calculated from theory, only through measurement. So completely unlike alpha.
>>16958032>I watched a sci pop yt videok
>>16958032is it transcendental though
[math]\alpha \equiv \frac{\sqrt{3}}{\pi^{2}} \sqrt{\xi^{\prime\prime}(\gamma_{1})} \left(1 + \frac{\sqrt{3}}{\pi \gamma_{1}}\right) \approx 0.007300225192[math]
>>16959742Hang on...[math]\alpha \equiv \frac{\sqrt{3}}{\pi^{2}} \sqrt{\xi^{\prime\prime}(\gamma_{1})} \left(1 + \frac{\sqrt{3}}{\pi \gamma_{1}}\right) \approx 0.007300225192[/math]Forgot how 4chan even does latex.This is the geometric value that represents a pure mathematical baseline, and the remaining 0.04% difference accounts for the loop corrections or normalization flow (quantum electrodynamic effects) required to reach the physical value measured in laboratories.
>>16959744Oh, right, for you idiots that can't do string theory in their heads, that number is 1/137 derived strictly from a circle, a triangle, and the second derivative of the Riemann Zeta function. Electromagnetic stiffness is an artifact of the complex plane. The number line is a 1d compression of spacetime. Till next time, pussies.For
Why is it called the letter "a"?
>>16959769This guy gets it.