[a / b / c / d / e / f / g / gif / h / hr / k / m / o / p / r / s / t / u / v / vg / vm / vmg / vr / vrpg / vst / w / wg] [i / ic] [r9k / s4s / vip] [cm / hm / lgbt / y] [3 / aco / adv / an / bant / biz / cgl / ck / co / diy / fa / fit / gd / hc / his / int / jp / lit / mlp / mu / n / news / out / po / pol / pw / qst / sci / soc / sp / tg / toy / trv / tv / vp / vt / wsg / wsr / x / xs] [Settings] [Search] [Mobile] [Home]
Board
Settings Mobile Home
/sci/ - Science & Math

Name
Options
Comment
Verification
4chan Pass users can bypass this verification. [Learn More] [Login]
File
  • Please read the Rules and FAQ before posting.
  • Additional supported file types are: PDF
  • Use with [math] tags for inline and [eqn] tags for block equations.
  • Right-click equations to view the source.

08/21/20New boards added: /vrpg/, /vmg/, /vst/ and /vm/
05/04/17New trial board added: /bant/ - International/Random
10/04/16New board for 4chan Pass users: /vip/ - Very Important Posts
[Hide] [Show All]


[Advertise on 4chan]


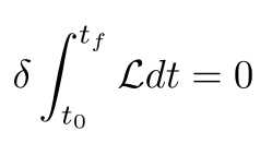
>"GUYS WE GOTTA GET THE GOD EQUATION AND THE GRAND UNIFIED THEORY!!!!"

[math]{\delta}S=0[/math]

It's existed since the 1800s, and it's fucking beautiful. And some may say, "What's the specific action needed for GUT, though?" My answer is who gives a fuck? You asked for the equation that explains everything, here it is. The action is minimized and that's why all the shit that has ever happened and will ever happen, happens. The end. I'd like one Nobel Prize please.
>>
>my fancy dandy symbols explain lidderally everyding
Ok then jackass, predict Mondays Powerball numbers with your gay little formula
>>
>>16961165
a fucking integral? nigga the god equation isnt some explanatory equation of functions
>>
>>16961165
>The action is minimized
Uhh akshually it says that the action has to be stationary



[Advertise on 4chan]

Delete Post: [File Only] Style:
[Disable Mobile View / Use Desktop Site]

[Enable Mobile View / Use Mobile Site]

All trademarks and copyrights on this page are owned by their respective parties. Images uploaded are the responsibility of the Poster. Comments are owned by the Poster.