[a / b / c / d / e / f / g / gif / h / hr / k / m / o / p / r / s / t / u / v / vg / vm / vmg / vr / vrpg / vst / w / wg] [i / ic] [r9k / s4s / vip] [cm / hm / lgbt / y] [3 / aco / adv / an / bant / biz / cgl / ck / co / diy / fa / fit / gd / hc / his / int / jp / lit / mlp / mu / n / news / out / po / pol / pw / qst / sci / soc / sp / tg / toy / trv / tv / vp / vt / wsg / wsr / x / xs] [Settings] [Search] [Mobile] [Home]
Board
Settings Mobile Home
/v/ - Video Games

Name
Spoiler?[]
Options
Comment
Verification
4chan Pass users can bypass this verification. [Learn More] [Login]
File[]
  • Please read the Rules and FAQ before posting.

08/21/20New boards added: /vrpg/, /vmg/, /vst/ and /vm/
05/04/17New trial board added: /bant/ - International/Random
10/04/16New board for 4chan Pass users: /vip/ - Very Important Posts
[Hide] [Show All]


[Advertise on 4chan]


Do you adapt to new metas well?
>>
File: 1692603776151.jpg (238 KB, 1440x1799)
238 KB
238 KB JPG
7-1/2 is 6.5 and not 3!
>>
>>730794362
PEMDAS bros...
>>
>>730794362
>>
>>730794362
order of operations is racist
>>
the only use of the รท symbol is trolling
>>
>>730794362
>Hotfix: improved UI
>>
this seems somehow more convoluted and will lead to students not actually understanding the core mathematics
>>
>>730794362
What a convoluted way of doing algebra.
>>
>>730794637
Brilliant.
>>
What the fuck happened to BIDMAS?
>>
>>730794468
the difference is 0.5, close enough
>>
>>730794362
qrd?
>>
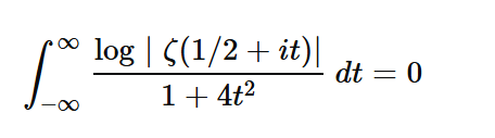
File: integ.png (9 KB, 456x127)
9 KB
9 KB PNG
Can /v/ solve this?
>>
File: 1754741658119166.jpg (345 KB, 1000x1000)
345 KB
345 KB JPG
>>730794468
It's just him writing it dumbly, (7-1) should be in brackets because he's carried the one to the right. And then carrying the 2 under the right.
Yeah, knowing that 2*3 = 6 to the obvious person. But what this is clearly teaching is showing how to carry over.

Things get weird for some people when you start to have to carry over x t the power of y, or square root of x
>>
>>730800792
0
>>
>>730794362

This is why you have to show all your math.
>>
File: file.png (6 KB, 242x189)
6 KB
6 KB PNG
>>730794362
>onion method
peh! i do my operations in any order i please
>>
>>730801210
>Having to rely on fractions in a clear integer equation
Leme guess, you believe in half A presses too.
>>
What's the point of triforcing your arithmetic?
>>
>>730794362
>two times plus one equals seven
Huh?
>>
>>730794362
What happens if you add y and exponents



[Advertise on 4chan]

Delete Post: [File Only] Style:
[Disable Mobile View / Use Desktop Site]

[Enable Mobile View / Use Mobile Site]

All trademarks and copyrights on this page are owned by their respective parties. Images uploaded are the responsibility of the Poster. Comments are owned by the Poster.