[a / b / c / d / e / f / g / gif / h / hr / k / m / o / p / r / s / t / u / v / vg / vm / vmg / vr / vrpg / vst / w / wg] [i / ic] [r9k / s4s / vip] [cm / hm / lgbt / y] [3 / aco / adv / an / bant / biz / cgl / ck / co / diy / fa / fit / gd / hc / his / int / jp / lit / mlp / mu / n / news / out / po / pol / pw / qst / sci / soc / sp / tg / toy / trv / tv / vp / vt / wsg / wsr / x / xs] [Settings] [Search] [Mobile] [Home]
Board
Settings Mobile Home
/v/ - Video Games


Thread archived.
You cannot reply anymore.


[Advertise on 4chan]


File: 20260204_145103.jpg (124 KB, 896x842)
124 KB
124 KB JPG
Solve Doro's problem and you will be awarded 128Gb DDR5 RAM.
>>
>>732319776
1
>>
9
>>
25
>>
>>732319776
PEMDAS, Doro, PEMDAS!!!
>>
Nine
>>
>>732319776
6
>>
You don't need more than 32GB for video games but retards will panic buy 64GB kits when prices are up 400% because there's this weird fetishization of top tier specs.
I own a 4090 rig but at least I don't delude myself into thinking this was actually necessary or a good use of money even
>>
67
>>
>>732319889
Nigs
>>
File: 1388006258601.png (1.05 MB, 999x999)
1.05 MB
1.05 MB PNG
>>732319776
NIIIIINE
>>
File: 1121.jpg (27 KB, 336x538)
27 KB
27 KB JPG
parentheses first

6 % 2 * 3

multiplication and division from left to right

3 * 3

9
>>
Guys, things in tn the Parentheses get done first, then you divide because division and multiplication are on the same tier, so you go lest to right, then you multiply the resulting number from the first to operations.
NINE NINE NINE NINE
>>
>>732319994
whoa cool it anon
>>
It's one, but retards will pretend you don't do the addition in parenthesis or multiply before adding

its basically just an age test, if you grew up before schools reduced outcome accuracy for the sake of brown people you'll know the answer is 1
if you went to school after liberal women and weak men decided the most important thing in the world is ensuring brown retards don't cry and chimp out, you might get 9
>>
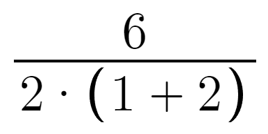
6/2(1+2)
6/2+4
6/6
1
>>
File: maffs.jpg (29 KB, 748x381)
29 KB
29 KB JPG
Is it A or B?
>>
A black woman said the answer is 17
You may have reached a different conclusion. Your process with conventional white methods may have been correct.
But is it worth losing your job over? When a black woman speaks, you listen.
The answer is 17
>>
>>732320135
its b
that's like reading the sentence "I drove my car" and asking if the subject is I or car
>>
>>732319776
1
>>
>>732319776
4!!
>>
File: 1763962616102584.png (58 KB, 748x400)
58 KB
58 KB PNG
>>732320135
>>
>>732319776
9
>>
>>732319776
9
>>
>>732320172
Yes. There are 4 lights
>>
>>732320172
Kudos, your wise words will help me become a better man. Merry Black History Month.
>>
It's 1
Im a fucking CPA
I'm so tired of you retards
No wonder the world is falling apart >>732320135
B
I genuinely think everyone who gets this wrong and is not trolling should not be allowed on the internet
>>
>>732320135
It's A. The divisor symbol is like the multiplication symbol, which is why it's shit and useless and nobody uses it. B makes several assumptions.
>>
>>732319776
Only 16GB RAM? Not worth it.
>>
File: 1769091314328143m.jpg (83 KB, 724x1024)
83 KB
83 KB JPG
>>732320172
Slavery is death, truth is liberation. If I become martyred at my job I'll rise beyond my station.
>>
>>732320314
I don't think Ribitta would say this
>>
>>732320306
Name them retard
Hopefully your parents get killed by a nigger tonight if you can't
>>
>>732320282
>calls everyone retarded
>can't perform operations left to right despite an entire year of schooling devoted to it
its sad, really
flexing your accounting qualifications? You know nobody respects accountants, right? A scientist you are not

There is literally no evidence supporting B
>>
>>732320282
A lot of your clients get audited, huh?
>>
File: 1755498190408429.png (5 KB, 453x590)
5 KB
5 KB PNG
1
How the fuck do people get 9 out of it?
>>
>>732320306
This is a decent point. If it was 6x0.5x(1+2) there could be no misinterpretation. Divide symbols are fucking unclear and exist only to avoid confusing retards who can't handle numbers smaller than 1.
>>
>>732319776
>lust-provoking image
>>
>>732320470
See>>732320230
>>
>>732320282
this nigger does taxes for a living
hahahahahahahahaa
>>
File: 1722540246805591.jpg (54 KB, 500x375)
54 KB
54 KB JPG
>>732320230
Afags BTFO
>>
File: 1123.png (6 KB, 487x330)
6 KB
6 KB PNG
math teacher here, it's 9
>>
>>732320470
Order of operations, nigga. PEMDAS, nigga.
>>
File: 1747154723209456.png (301 KB, 640x480)
301 KB
301 KB PNG
I saved all the robots in JS 3rd Grade. Do not question me.
>>
17
>>
>>732320560
Good to know it's still retards teaching our youth
>>
File: HAN9ydlbMAAwTWX.jpg (146 KB, 898x1250)
146 KB
146 KB JPG
>>732320375
its implicit in my fucking post. Learn to read. B makes the assumption that the entire right hand side of the equation is lumped together instead of following bodmas

Also, I would like to take this opportunity to note that your ridiculous overreaction and anger in both posts >>732320375
>>732320282 and random qual namedropping

is the most blatant inferiority complex I have ever seen in my life. I don't need to insult you or call you names because you clearly already consider yourself to be a failure at life and an unintelligent person. Hence the lashing out.
>>
>>732320595
>>732320172
Did I miss something?
>>
File: anakin-and-shmi-death.jpg (60 KB, 750x320)
60 KB
60 KB JPG
>>732320634
>bodmas
>>
>>732320536
This retard on 4chan thinks accounting is taxes hahaha
Now wonder he thinks it's A
>>
>>732319776
what do you need all that ram for if you're just gonna play gacha slop
>>
>>732320649
a black woman speaking apparently
>>
>>732319776
>1 has underline while others don't
It's 1
>>
>>732320649
no i just didnt bother reading the problem
>>
File: 543657653.gif (235 KB, 220x179)
235 KB
235 KB GIF
>>732319776
How do we know this problem is Doro's? or even if her problem is related to math at all?
>>
>>732320634
So your parents are for sure getting raped by nigs 2nite with that post
>>
>>732320710
Umineko ass plot twist
>>
>>732320560
But it's 2(3) not 2x3
>>
https://www.youtube.com/watch?v=-I7v0HqejXE
>>
File: 1735870266777714.png (67 KB, 196x211)
67 KB
67 KB PNG
>>732319935
>>
>>732320742
>Can't you read between the lines, battler?! Stop thinking about the murder of your entire family and start thinking about where or not I have a cock under this dress
If Battler used 4chan he would've figured things out a lot sooner
>>
>>732319987
>multiplication and division from left to right
ive literally never heard this, its always been multiplication first, then division regardless of order because of PEMDAS
>>
>>732320770
It's (6/2)(3).
>>
File: g14h4928d4fc1.png (289 KB, 1064x778)
289 KB
289 KB PNG
>>732320607
even if you follow PEMDAS, you "multiply and divide from left to right"
>>
>>732319776
People saying 9 are actually kind of astounding. Never actually learned math, but just repeat PEMDAS like its some kind of universal truth.
>>
>>732320856
6/2 is not in parentheses though??
>>
>>732320839
PEMDAS is P E MS AS where the multiplication/division and addition/subtraction can be swapped. But they always come after parentheses and exponents.
>>
File: 1743000399192555.gif (288 KB, 240x240)
288 KB
288 KB GIF
>>732319776
>>
File: Paddlin.jpg (33 KB, 536x324)
33 KB
33 KB JPG
>>732319776
>Using ÷ in [CURRENT YEAR]
The answer is fuck ya mudda.
>>
>>732319776
intentionally ambiguous
left to right pemdas
6/2(1+2)
6/2(3)
3(3)
9

multiplication by juxtaposition is sloppy
if you want 2(1+2) then write 6/(2(1+2)
>>
>>732320862
The irony is just like in South Park the retard is you
>>
>>732320918
>MS
HUH???
>>
>>732320918
>PEMDAS is P E MS AS
Fucking fat ass touchscreen fingers fuck
>P E MD AS
>>
9 and your school failed you if you think otherwise
>>
>>732319776
Someone please give this shit the fluffy pony treatment
>>
>>732320945
You need to resolve the P before you do the MD, so the 2(3) becomes 6
>>
>>732320913
The 6 and 2 are together. It's for clarity.
Otherwise it's (1/2)(3).
>>
>>732320867
9 comes from a misinterpretation/fuzzy idea of pemdas. solving inside the parantheses but then seeing the resulting 2(3) as being on the same order of precedence as the division, instead of as still being a part of the parenthesis step
>>
>>732320918
>>732320967
>Phoneposter is trying to give mathematics advice
kek. BODMAS every day.
>>
>>732320264
Fuck niggers.
>>
>>732321057
But 2(3) is implied to be 2*(3), we just don't write the multiplication symbol.
>>
>>732321028
The 2v is outside the parenthesis anon not inside
>>
Lmao these retards following pedmas specifically don’t understand basic math

2-3+1= challenge impossible for pedmas troons
>>
>>732321028
that's multiplication by juxtaposition
sloppy notation that would give you incorrect math at anything higher than basic algebra
you need to correctly notate your math
>>
Google ai says it's 9
>>
>>732321062
BODMAS is nigger math. PEMDAS forever.
>>
People saying PEMDAS are missing the point. The implicit multiplication should be grouped together. If I wrote:
6 ÷ 2x, it should be more obvious that the intention here is that 2x is a single statement.

Just saying "PEMDAS" doesn't make your correct because PEMDAS is a guideline we teach elementary school children.
>>
>>732321085
yes but you're supposed to solve for getting rid of the paranthesis completely before anything else, which here means multiplying it.
>>
still easier than the captcha
>>
>>732321135
Ah so it's actually one. Fuck AI.
>>
>>732320839
That's retarded. You're misremembering. My guess is you're a Boomer born before calculators were cheap, or went to a school that refused to use them for some reason, and were probably never taught to do in-line divisions in school, using only horizontal fraction bar notation.
>>
1
>>
Pluto got its planet status revoked over shit like this.
>>
>>732319776
I just end up with 2 number 3s where does the multiplication come from
>>
>>732321135
claude said it was 1
>>
Algebra and calculus are so fucking retarded bros
>>
>>732321146
math notation is just what you feel it should be now?
>>
>>732321194
It's still a planet to me. No liberal democrat Jesus hating "scientist" can tell me otherwise.
>>
>>732321054
>>732321093
If it were 2 x (1+2) I could see your reasoning, but you're adding in a multiply later before finishing with 2(1+2)
>>
it's 9 you retards.
>>
>>732321249
2*(1+2) and 2(1+2) are the same expression
>>
>>732319994
Arithmeticfag, tell me the answer to 6÷2(x+2) ?
>>
>ITT: Retards who can't into basic arithmetics
Solve a real math problem.
>>
>>732321230
Always was. Only a retard would write it like in the op though so alas
>>
>>732320839
>multiplication first then division
anon, I'm gonna blow your mind. Division and multiplication are the same operation, just with a reciprocal. In the same way that subtraction is the same as addition, just negated.
It follows that roots are the inverse of powers.
Highest order operations are still evaluated first, in reading order. Only parentheses can indicate that the person writing the equation wants something evaluated in a particular order with special grouping.
>>732321249
anon, only the interior of parentheses are of higher priority. Otherwise you'd get dumb shit like what you're spewing.
>>
((6)(÷)(2(((1)+(2)))))
>>
Calculator says it's 9
>>
>>732321347
Wow this is so much easier to parse
>>
>>732320470
detaching the 2 from the brackets
>>
>>732321347
((()))
>>
>>732321293
In terms of solving, yes, but 6/2y doesn't become 3y does it?
>>
>>732321352
You going to trust an educated rock to solve this complex equation?
>>
>>732321296
3(x+2)
>>
>>732321375
It's not attached to them to begin with. It's not in the brackets or a part of them. You resolve the 1+2 then do the rest. Answer's 9.
>>
>>732321146
>if I just substitute things for things and then try to put them back together the result changes
Yeah that's math past addition and subtraction.
>>
>>732321347
Unironcially better. Available no way to confuse this
>>
It's a malformed question meant to trick retards into arguing.
>>
posting basic math problems during indian hours has a VERY funny outcome
>>
Brackets (1+2)= 3
E
Division 6/2= 3
Multiplication 3 x 3 = 9
A
S
>>
>>732321352
Depends on the calculator. The older Casio calculators give the number before the parenthesis priority so they show 1 as the answer. To get nine it must be inputed as 6/2*(1+2).
>>
>>732321347
>9 dollars? What would you need 3 dollars for? You think I can just give you 1 dollar that easily?
>>
>>732321513
Imagine needing mnemotechnics as an adult to do elementary school level operations
>>
>>732321234
If you ardently believe that Pluto should be classified as a planet, you should also be prepared to learn the thousands of other objects in the solar system that are larger than Pluto is in both the asteroid belt and kuiper belt.
Hell, Asteroids used to not be a thing until it was discovered just how fucking many of them that there are. They got a unique classification because they are sufficiently different in formation from the terrestrial planets and gas giants.
The story of Pluto and other dwarf planets outside of Neptune's orbit is similar to what happened to asteroids.
Also if we really want to be particular, the terrestrial planets and gas giants should be differently classified as well. Simply orbiting the sun isn't enough to draw parallels between all of these celestial bodies. Their composition, gravity, formation, and orbital paths have all been used to give greater detail than simply calling everything "planet"
>>
>>732321296
sloppy notation
do you want the answer to (6/2)(x+2) = 3x+6 or 6/(2(x+2)) = 3/(x+2)?
>>
>>732321570
>Newer calculators assume the user is retarded
Grim
>>
>>732321491
I know this and argue with them anyways.
>>
File: HAWcEnIboAEaOat.jpg (487 KB, 2048x2048)
487 KB
487 KB JPG
chowayo
>>
File: PEMDAS need not apply.jpg (23 KB, 383x479)
23 KB
23 KB JPG
Alright lads, which flavour of white are you?
>>
>>732320470
Your wrong response along with picrel is killing me, anon, you sillybilly lmao
>>
>>732319776
6/2(1+2) = x
6/2(1+2) = x // /6
2(1+2) = 1/6x
2*3 = 1/6 x
6 = 1/6x // * 6
36 = x

answer is 36
>>
>>732321596
shut the fuck up retard there is no such thing as interpreting the notation to be what you want
>>
>PEDMAS
It's BEDMAS, you fucking pedophiles.
>>
>>732321654
retardkino...
>>
>>732321347
>>732321398
>>732321573
kek
>>
File: 1616947782950.gif (498 KB, 262x200)
498 KB
498 KB GIF
>>732321654
My god...
>>
>>732321627
As long as you know you're merely pretending
>>
>>732321635
>pinches cheeks
Sof’
>>
File: 1751604932426332.jpg (70 KB, 956x858)
70 KB
70 KB JPG
>>732321654
Galaxybrain answer right here
>>
>>732319776
9
>>
File: I KNEEL.gif (1.16 MB, 498x476)
1.16 MB
1.16 MB GIF
>>732321654
retardGOD
>>
>>732321645
I've always been taught BEDMAS where PEMDAS come from?
>>
File: pretend.png (796 KB, 1207x988)
796 KB
796 KB PNG
>>732321717
>>
>>732321717
I have argued both sides of the argument in this very thread
>>
File: nyot us.jpg (42 KB, 500x500)
42 KB
42 KB JPG
Is this the creatures thread?
>>
If you're white, the answer is 1.

If you're black, the answer is 9.
>>
>>732321654
how is it possible to be this wrong
that is impressive
>>
>>732321674
correct, which is why instead of lazy high school math you should correctly notate your problems
>>732321654
like this anon who is technically right that equations with an = implies two expressions

they would only write problems like this in a collegiate setting to trip up students
>>
>>732321771
PEMDAS is as American as apple pie. If you use any variation of BEDMAS, you're probably a communist foreigner.
>>
>>732321781
based mossad instigator
>>
>>732321802
Shut the fuck up jew.
>>
File: 1769149897494607.jpg (46 KB, 532x348)
46 KB
46 KB JPG
>>732321654
>>
File: 1760496291897775.png (175 KB, 600x400)
175 KB
175 KB PNG
>>732321786
Look at the posters and see for yourself
>>
>>732321887
she just said slurs btw
>>
>>732321831
BEDMASfags are the kinds of so called 'people' who say "maths" instead of math
>>
>>732321807
>correct, which is why instead of lazy high school math you should correctly notate your problems
there is no world where 6÷2(x+2) is a "sloppy notation"
it is always equal to (6/2)(x+2) and under no circumstance would it be 6/(2(x+2))
>>
I learnt "BIDMAS" in school
>t. australian
>>
>>732321913
won, twe, free
>>
>>732319776
not enough sex
>>
>>732321596
anon, there's no ambiguity there. Polynomial coeficient always stick with the grouped term.
>>
>>732321913
>maths
How I hate this shit even if I can conceptually understand it's correct.
>>
/sci/ here, it's 1
>>
>>732322015
>Polynomial coeficient always stick with the grouped term.
Says who?
>>
Factoring polynomials above binomials always made me want to kill myself in school. Fuck factoring.
>>
>>732321943
another dropout retard
>>
>>732322067
fuck off nerd
>>
>>732322067
Fuck yes definitely 9 then. Damn it
>>
>>732321654
>6/2(1+2) = x
>6/2(1+2) = x // /6
>.5(1+2) = 1/6x
>.5*3 = 1/6 x
>1.5 = 1/6 x
>1.5 * 6 = x
>9 = x
Fixed it for you.
>>
>>732319776
6÷2(1+2)
6÷2×3
3×3
9
>>
>>732320560
you should kill yourself because you failed as a teacher
>>
>>732322081
Only if you were a onefag.
>>732322083
>>
5±4
>>
>>732322136
>suddenly deciding the paranthesis transitioned into *
IT'S MA'AM!
>>
/sci/ here, it's 9
>>
>>732321943
>6÷2x = (6÷2)x
Absolute brainlet
>>
>>732322083
>>732322158
That's how they teach it. Priority on parenthesis multiplication is never notated at all.
>>
>>732322261
a sci 9 is an American 1
>>
>>732319776
6÷2(1+2)
6÷2(3)
3(3)
3 * 3
= 9
>>
>>732322212
2(1+2) is exactly the same thing as 2×(1+2) it just written cleaner. Common core destroyed zoomers brains.
>>
>>732322083
let me guess your gender is up to interpretation too faggot
>>
File: 1605741750150.jpg (17 KB, 225x224)
17 KB
17 KB JPG
6/2X = 3X
there's nothing ambiguous or controversial about this you're just retarded
>>
/biz/ here
>>
the correct answer is 1 btw
>>
>>732322327
But the 2 is dividing the 6. It's /2(1+2).
>>
File: 1763744978248716.png (105 KB, 316x325)
105 KB
105 KB PNG
/x/ here, it's 4
>>
>>732322281
yea, to special ed kids who think numbers understand left to right
>>
>>732322397
PEMDAS
Parentheses, Exponents, Multiplication and Division (left-to-right), and Addition and Subtraction (left-to-right)

Left to right.
Solve the parentheses first then....
>>
2(1+2) = 2.(1+2) which is an implied dot product which is evaluated before multiplication and division.

6 / 2.(1+2)
6 / 2.(3)
6 / 6
1

Answer is 1.
>>
>>732322539
...on the inside
>>
File: 20260204_101052.jpg (934 KB, 4032x3024)
934 KB
934 KB JPG
Stop fighting...
>>
>>732322429
that's like the japanese word for die or something. spooky.
>>
>>732322346
6/2x = 3/x = 1
The answer is 1.
>>
>>732322575
You did this to /v/, Doro. This is on you.
>>
>>732319776
6÷2(1+2)
6÷2(3)
6÷6=1

It's both 1 and 9, depending on how yoj solve it.
>>
>>732322539
>retard hillbilly who ended his match education in middle school taught by another hillbilly who ended his math education in middle school confidently asserts himself
>>
almost 200 posts about basic math
never change /v/!
it's 1 btw
>>
>>732322491
Even special ed kids don't solve right to left.
>>
>>732322539
>>732322573
https://www.youtube.com/watch?v=YLHpvjrFpe0&t=56s
>>
>>732322591
What if x is 5
>>
dumb doro poster
>>
File: boccin out.gif (65 KB, 131x100)
65 KB
65 KB GIF
>>732322618
someone better tell the arabs their numbers are backwards
>>
>>732320230
underrated post
>>
>>732320135
That stupid ÷ symbol is division without implicit parenthesis around the left and right values and at the same operator precedence as multiplication, so A
>>
division and multiplication have EQUAL precedence evaluated from LEFT TO RIGHT
anyone who thinks otherwise is a RETARD
>>
>>732319776
I want another Brain age video game.
The answer is one (1).
>>
File: common core counting.jpg (313 KB, 886x1279)
313 KB
313 KB JPG
>>732322593
kek
>>
File: Spoiler Image (1.92 MB, 480x320)
1.92 MB
1.92 MB GIF
>>732319776
>>
File: file.png (27 KB, 797x353)
27 KB
27 KB PNG
AI to the rescue.
>>
>>732322742
participation award parenting
>>
>>732322724
PEMDAS, BOMDAS, PINGAS, now RETARD? holy shit
>>
File: 177012025817930437.jpg (151 KB, 1440x2827)
151 KB
151 KB JPG
>>
File: zoos for ants.png (8 KB, 66x69)
8 KB
8 KB PNG
>>732319776
9 or 1 depending on whether it's (6/2)*(1+2) or 6/(2*(1+2)) because some asshole couldn't write it unambiguously.
>>
>>732322793
PENIS
>>
>>732322780
AI can't even draw hands. That tells me 1 is correct.
>>
>>732322742
no wonder kids these days are retarded
>>
File: 1765896291892749.png (45 KB, 200x200)
45 KB
45 KB PNG
who the fuck invented math brooo
>>
>>732322847
You're gonna make the helmet kids in this thread angry with your correct answer.
>>
>>732322780
>>732322794
coded by indians and redditors who never ever ever want to be caught wrong about the claim they made
>>
>>732320867
My calculator's borked! I know it's 1 but it says 9 when I write that shit!

Aren't Koreans into numbers?!
>>
File: file.png (11 KB, 724x133)
11 KB
11 KB PNG
>>732319776
The answer is 1. Anyone who says otherwise is a retard.
>>
File: 1770269794578211.png (56 KB, 1006x836)
56 KB
56 KB PNG
>>732322682
You tell them, I can't afford long distance anymore.
>>
>>732322780
kys = kill(your(self))
>>
File: file.png (29 KB, 794x514)
29 KB
29 KB PNG
AI has spoken. The answer is 1.
>>
>>732322847
There's no 2*(1+2), it's clearly written 2(1+2), the parentheses need to multiply to be fully resolved.
>>
File: 7ww1byuivv571.jpg (750 KB, 3024x4032)
750 KB
750 KB JPG
>>732322941
are long-distance calls even a thing anymore? we obviously don't need them, but I fully expect some boomers out there getting fleeced for long-distance packages on their landlines
>>
>>732322921
That's not at all true and your AI needs rape correction for being such a brat
>>
>>732321347
Longnose thread
>>
>add bed
>subtract clothes
>divide legs
>multiply
>>
>>732322976
>under that reading
>is unambigously
literally lmaoing my ass off
>>
File: c5f.gif (1.14 MB, 250x250)
1.14 MB
1.14 MB GIF
>>732322921
>a higher tier operation than the peasant "x" and "÷"
>>
>itt retards get trolled by retards pretending to be retarded
>>
>>732322847
>some asshole couldn't write it unambiguously.
That's because its Facebook engagement bait, aimed at boomers whose last recalled bit of math was when they still used ÷ and × frequently and unironically.
>>
>>732322591
you don't know what x is retard
>>
>>732323023
how did he make his wealth?
>>
File: mashiro.gif (212 KB, 600x337)
212 KB
212 KB GIF
how are the japanese doing math if their writing is up to down!?!?!1
>>
File: 1769952742383634.png (131 KB, 286x359)
131 KB
131 KB PNG
>>732319935
>>
>>732323063
>pretending
>>
For me it's long division
>>
File: 1750089213318800.gif (68 KB, 370x300)
68 KB
68 KB GIF
Retards
It's 9
Or 1
Depends on who you ask
>>
>>732323063
found the 9fag
>>
the answer is 1
whomever answered 9 should go back to primary school
>>
>>732323108
he's a Zoom math tutor
>>
File: 1770864270078133.gif (811 KB, 720x720)
811 KB
811 KB GIF
>>732323112
Up to down.
>>
>>732323097
>used ÷ and × frequently and unironically.
I have no idea why they stopped. Is it because people didn't have handy ÷ buttons on their keyboards?
>>
>>732323160
Congratulations.
>>732323162
Primary school teaches nine.
>>
>>732323112
It WAS up to down. Not anymore.
>>
File: pepeapproves.gif (130 KB, 325x321)
130 KB
130 KB GIF
>>732319828
fpbp
PEMDAS
/thread
>>
how often do /v/ threads get relocated to /sci/
>>
>>732323238
It's more common that the threads are deleted.
>>
>>732323238
>/sci/ solves obscure mathetical theorems and get cited in published proofs
>/v/ can't figure out how to divide or multiply
I would hope never
>>
>>732323162
>whomever answered 9 should go back to primary school
Niiiinnnneeee!
Fuck yes fuck yes fuck yes. Yes girls, I'm available
>>
>>732319776
>>>732319776 (OP)
The correct answer is whatever the AI answers because bothering with maths equations is now redundant.
>>
>>732323238
3 times in the last decade
>>
whoever invented PEMDAS did more damage than good
>>
It's not about PEMDAS. It's about the implicit multiplication with the parentheses. No one writes equations on one line anyway, that should be a fraction.
>>
>>732321654
So close yet so far

6/2(1+2)=x
(6/2(1+2))*6=2(1+2)
x*6=6x
2(1+2)=6x
2*3=6x
6=6x
1=x

or

6/2(1+2)=x
6/(1*2+2*2)=x (Distributive Property)
6/(2+4)
6/6=x
1=x
>>
File: 1748521254453440.png (35 KB, 828x684)
35 KB
35 KB PNG
Microsharts pajeet calculator says 9
Therefore I believe the answer is actually 1
>>
>>732323339
I just solve everything left to right. So it's 33
>>
>>732323327
The dumb rocks that think Cockroaches hide inside cocks?
>>
>>732323410
>Distributive Property
>doesn't distribute the six
This is how I know you failed algebra.
>>
>>732319776
>Actually play nikke
>Realize this meme girl is actually the biggest fucking bitch and one of the least likable girls in a game full of completely unlikable women.
Weird how that works out.
>>
File: cube.jpg (42 KB, 636x424)
42 KB
42 KB JPG
You should be able to solve this.
>>
>>732323479
>Afags
>>
>>732323479
topkek
>>
>>732323479
should have swapped a and b so either way its wrong
>>
>>732321645
bodmas and they explicitly stated DM and AS are equal and you work left to right
>>
File: based dubs checker.webm (2.99 MB, 360x626)
2.99 MB
2.99 MB WEBM
9 is a sign of advanced intellect, this person is used to calculators and writing code and advanced algebra
1 is a sign of a simpleton who does divisions by drawing a long horizontal line and writing things on either side like a baby learning division for the first time
>>
>>732322054
I quit going to /w/ and /wg/ years ago because they call wallpapers as papes.
>>
>>732320470
a lot of people don't know that +- and */ have the same priority.
so when you have 2 separate operations with either, you do the one on the left first
>>
>>732320405
>Left to right
Math isn't done left to right. Math is performed by the rules and there isn't left to right rule.
>>
>>732319935
LOL GOOD ONE ANON
>>
This not only has zero to do with RAM which is more of a /g/ topic, more importantly this discussion has NOTHING to do with video games! Can you believe that?
>>
File: gloopy glorp.jpg (5 KB, 128x128)
5 KB
5 KB JPG
this facebook bait only works on Americans btw
>>
>>732323642
the fuck you think powers your titty gacha
>>
>>732323642
RAM?
>>
>>732323642
tb h i thought i was on /a/ this whole time because of the anime girl
>>
>>732323214
Because if I'm typing anything more complicated than 2 + 2, I'm probably doing so with an equation editor. That gives me lots of options. If the divisor is simple, then I can always do
>xy-2
If I want it to be inline,
>(x+y)/(a+b)
If its in full form I can just have the vinculum with no ambiguity. I also have the option of doing any of the above, making the numerator or denominator a single variable, and following it up with "where [that variable] is..." Usually if you're getting to the point where the equation is getting hard to read, you can and should be grouping it into logical subunits so people can follow its development. It's your job when writing math to make it unambiguous, no different than it's your job when writing plain text.

t. wrote papers with too many equations in them so everyone got bored and nobody cited them
>>
It really do be like dat tho
>>
File: 1765843675510967.jpg (447 KB, 1290x1797)
447 KB
447 KB JPG
Thanks Grok.
>>
>>732323642
Pretty sure that deformed creature trying to solve the math problem is a video game character
>>
>>732323623
weak bait. learn from the others itt
>>
>>732323720
>It's your job when writing math to make it unambiguous
Unless you're intentionally making it ambiguous in order to provoke arguments with idiots.
>>
>>732323721
(1+2) goes at the top.
>>
>>732323721
take a knee plebs, this anon knows LaTeX
>>
>>732321913
I say BEDMAS and math. saying maths is fucked.
>>
>>732319776
6/(2+4)=1
I don't want computer parts. I just want love.
>>
>>732323720
>xy-2
Thanks for stripping out the superscript, moot.
>>
File: 1740487295180811.gif (107 KB, 220x163)
107 KB
107 KB GIF
>>
>>732323678
Technology, which belongs on /g/. RAM is a component, not a video game. Nobody is even talking about RAM anyway. They’re arguing about math. Video games also have math. That does not mean this is on topic.

Next time at least try to keep it vidya like a professor Layton thread
>>
>>732323747
It's not bait, it's just how math works.
You are shit at it and you think simple facts are bait.
>>
File: Gy7Nm17boAQK3BC.jpg (758 KB, 2480x3508)
758 KB
758 KB JPG
>>732320230
A being the right answer vs B being the funny answer as always
>>732323472
nuh uh
>>
>>732323792
moot was sexually abused
>>
>>732323781
who needs latex when you have the microjeet word equation editor?
>>
>>732323740
>sources: reddit
I hate AI so much it's unreal. Kill yourself Pajeet.
>>
>>732323802
>>Next time at least try to keep it vidya like a professor Layton thread
this ain't /lit/ bro
>>
>>732323740
>Source: Youtube and reddit
Checks out
>>
>>732323740
very cute very passionately confused chibi
>>
>>732323764
The first thing you need to do is open the brackets.
What is the open form of 2(1+2)? I'm going to give you a hint, there is a rule for this exact operation.
>>
>>732319776

6 / 2(1+2)
6 / (2 * 1 + 2 * 2)
6 / (2 + 4)
6 / (6)
1
>>
>>732323740
Doro doesn't even look particularly confused t b h
At least no more than usual
>>
>>732323740
>Modern arithmetic
Oh, so it's wrong.
>>
>>732323805
so 10/1 = 1/10 ?
fuck off
>>
>>732323807
In algebra 6/2 would be one unit
Doing 6/x(1+2) as 6/(1x+2x) would result the wrong answer.
>>
These bait questions are the best because everyone gets mad because it's impossible to tell who's trolling and who's just a retarded mathlet.
>>
>>732323118
this little girl seems like she loves MiSide
>>
>>732323882
Its [1/2](1+2).
>>
>>732323942
Do you even distribute, bro?
>>
>>732319776
which can also be expressed as
(6/2)(1+2)=
>>
>>732319776
The answer is Nice ass
>>
>>732323932
That's two different operations.
Let me give you are example
+10-2+3-5-4+(-3)
Does my answer differ if I go left to right, right to left or random order?
No, because it's the same fucking operation.
What math is all about is understanding what operation goes where, this is why pemdas was invented so retards like you could do it without understanding shit.
>>
>>732324004
You didn't so I did it for you.
>>
>>732323882
> 6/2+4 = 7
A New Challenger Appears
>>
>PEMDAS PEMDAS PEMDAS
you niggers realize it's all pretend, right?
there was a time less than 100 years ago where the accepted standard was just left to right anything goes
>>
>>732324005
You can't just add parentheses wherever you want
>>
File: 128773367_p1.png (1.89 MB, 4000x4928)
1.89 MB
1.89 MB PNG
>>732319776
9
give me my RAM
>>
>>732324072
>6
>7
>>
>>732319828
Fuckin' nerd
>>
>>732323721

Nah, that would imply 6 / (2*(1 + 2)) but instead it's really just a 6/2 fraction then multiply (1+2)
>>
>>732321645
BOMDAS, the bomb I will not hear your lesser acronyms
>>
File: 1608775123164.gif (2.19 MB, 498x373)
2.19 MB
2.19 MB GIF
ITT
>>
>>732320839
Niggu a division is just a moltiplication
You niggas are retarded
>>
>>732324130
Tell me you haven't taken math courses without telling me you haven't taken math courses.
>>
>>732321654
Can we go more retarded?
>>
>>732323781
So even a retard can learn Latex.
>>
>>732324130
2(1+2) is a legitimate way to write an operation in algebra. A single operation, do you know what operation it is?
>>
>>732324039
yes because 1 - 10 != 10 - 1
>>
>>732324165
Life would be so much easier if I was a smooth brain.
>>
>>732324223
You again made two different operations. If you wanted to move them then it would be -10+1 why are you so shit at math?
>>
>>732324212
>in algebra
Yet you wrote it wrong in algebra.
>>
>>732323883
you cant distribute because there is a division
>>
>>732323942
I'm merely pretending to be retarded anon dw
6/2(1+2)=x
(6/2(1+2)=x)*2=(6(1+2)=2x)
6(3)=18
18=2x
9=x
I'm surprised you didn't catch the rest of the shit I threw in there
>>
this thread is nothing but dropouts pretending to be math experts because they think it makes them look smart
>>
>>732324249
that works until your group isn’t abelian
>>
File: Wisdom.png (545 KB, 762x812)
545 KB
545 KB PNG
>>
>>732324305
a /sci/ thread
>>
I never knew that Multiplication and Division had the same priority and to do the one that's on the left first.
This is new to me.
>>
File: 1638394238412.png (143 KB, 346x482)
143 KB
143 KB PNG
>>732324090
Sorry but all the RAM was used to solve OPs equation.
>>
File: chen-67.mp4 (592 KB, 360x318)
592 KB
592 KB MP4
>>732319935
!
>>
>>732324393
well you should have paid attention in 5th grade math, retard
>>
>>732324294
I did, I said you were wrong.
>>
>>732324308
It always works in Albion or not on Albion.
>>
File: 1755979505018858.png (559 KB, 957x555)
559 KB
559 KB PNG
>>732319776
This is called implicit multiplication. Whether or not it takes precedence over division is a matter of disagreement.
https://en.wikipedia.org/wiki/Order_of_operations
>>
>>732324179

(but I'm right)
>>
>>732324567
I had a Casio calculator when I was in school therefore top is correct.
>>
>>732319987
retard
parentheses first includes the parentheses being a multiplication
so either 2(1+2) becomes 2+4=6 or 2(3)=6
>>
>>732324567
There is no disagreement on this in circles other than reddit.
>>
>>732324567
Implicit multiplication isn't used or notated anymore.
>>
>>732324624
So is the implied multiplication a part of the parentheses step or the multiplication step?
>>
>>732324683
The issue is using the fake and gay / symbol to intentionally produce an ambiguous equation that is flattened to one line of text. In the real world, the 6 is on top of the divisor and everything else is below it, and then it's obvious what the answer is.
>>
Where did this epidemic come from of Americans believing PEMDAS is a strict tier system where you have to do multiplication before division and addition before subtraction and not 3 groups of priorities PE MD AS? Like this is such a common misunderstanding and I don't understand where it keeps coming from because it was pretty explicit how it worked when I learned it in fucking elementary school
>>
>>732324737
you got a 2.0 in math
>>
>>732324603
Top would in fact be preferred by physicists. So you're in good company.
>>
>>732324763
No Child Left Behind was an education policy introduced in the 90s which basically made it impossible to fail students so now the school system just pumps every retard through each grade. Americans participate in Whose Line Is It because the grades are all made up and they don't matter.
>>
>>732324683
It's not an implied multiplication. You dumb moron.
>>
>>732324776
Joke's on you, I got mostly As and A-s in math, and now I'm an engineer and I don't do any math any more, we just stare at CAD and spreadsheets all day.
>>
The state of 9jeets.
>>
>>732324853
>NG
hol up
>>
>>732324869
You mean 1jeets.
>>
>>732324853
>No Child Left Behind was an education policy introduced in the 90s
NCLB was Bush Jr. in the 2000s.
>which basically made it impossible to fail students so now the school system just pumps every retard through each grade.
This part is true.
Now there's "Common Core" which is explicitly designed to smear American students down to a homogeneous 90 IQ brown paste. "Equity".
>>
File: Untitled 2.png (400 KB, 640x359)
400 KB
400 KB PNG
>>732324868
veeerrry prestigious engineer saar
>>
>>732324972
I work in an office that's 95% White men and the door explicitly states "NO FOREIGN NATIONALS"
>>
>>732324994
>WE ARE BRAHMIN ARYAAN SAAR VERY HIGH CASTE YOU BENCHOD
>>
>>732325017
It's funny because some jeets came by asking if we wanted to outsource work to them and they basically got told to fuck off, politely.
>>
File: 172672761267821.jpg (37 KB, 832x319)
37 KB
37 KB JPG
Number up against a parenthesis from the front like this without an explicit operation is always considered paired to the parenthesis as if it was another nested one.
>>
>>732324953
>Now there's "Common Core" which is explicitly designed to smear American students down to a homogeneous 90 IQ brown paste. "Equity".
But anon, if parents can help their children learn their math, that would make it unfair to the fatherless niggers in the class.
>>
>>732325095
My oldest isn't four yet and I'm already teaching him negative numbers, multiplication, and exponential notation. God help him.
>>
>>732325069
Math is all about removing all unnecessary shit from your equation.
>>
File: 1742965813502784.jpg (2 KB, 124x68)
2 KB
2 KB JPG
>>732319776
>>
>>732325141
>Math is all about removing all unnecessary shit from your equation.
Yes, like the ambiguity of the single-line division symbol.
>>
>>732319776
Fucking retards are pulling up Wolfram Alpha to get the right answer to this, who would do that?
>>
>>732325149
You added a multiplication operand there by mistake anon.
>>
>>732325165
Everyone understands that symbol as division, it's better not to use it but it's fine. You are literally grasping at straws
>>
>>732325135
Teach him boxing too because his teachers are about to sanction all the shitty kids to bully him for questioning the common core foidbabble
>>
i need an animated jiff of a doro doing pull ups on arnold schartziniggers flexed bicep.
>>
>>732325239
Google does that by default even if you don't.
>>
>>732319776
Unsolveable, there is no operation stated between the first 2 and the bracket.
>>
File: eschew obfuscation.png (5 KB, 496x304)
5 KB
5 KB PNG
>>732325247
Now there's nothing for retards to argue about.
>>
File: irys.png (1.08 MB, 1080x864)
1.08 MB
1.08 MB PNG
oh sick, I'm here for the QA meetup
>>
File: nothanks.jpg (103 KB, 900x601)
103 KB
103 KB JPG
>>732319776
>DDR5
>>
>>732325254
They are all 99th percentile for height and weight and head circumference. Have already showed them the power cage and pushups and pullups. Boxing is a good idea tho.
>>
>>732325338
There was never anything to argue about.
>>
>>732325383
>There was never anything to argue about.
I suggest that you scroll up and read the 400 posts of mathlets getting the problem wrong.
>>
>>732325239
>>732325318
It shouldn't make a difference anyway
x( ) will evaluate the same as just ( )
>>
>>732325338

(1 + 2) isn't in the denominator tho
>>
>>732324683
The correct answer is that implied multiplication is a part of the parentheses and takes priority over explicit mult/div

The scary thing here is that Americans have polluted the internet with their simplified and wrong algebraic rules to such a degree that Google and even most LLMs will tell you the answer is 9, when it is, in fact, 1.

Since some of wouldn't be open to this otherwise; I have a degree in mathematics and a tested IQ above 140.
>>
>>732325430
This is some Patrick and Man Ray shit
>>
>>732325459
>The scary thing here is that Americans have polluted the internet with their simplified and wrong algebraic rules to such a degree that Google and even most LLMs will tell you the answer is 9, when it is, in fact, 1.
That would explain why I couldn't find anything that ended up on search engines with 1, which is how I was taught BEDMAS/PEDMAS in Canada.
>>
÷ is a shit sign and should never be used specifically because of this.
>>
>>732325578
It's the implicit multiplication, more than PEMDAS. And intentionally formatting the question ambiguously (with the single-line divisor) in order to provoke arguments online.
>>
>OP
6 / 2(1 + 2) = 9

>retards
6 / (2(1 + 2)) = 1
>>
>>732325418
>Retards who don't understand the rules
Not arguments, people who try and force their ignorance onto others. Argument is when two people with knowledge try and figure out the correct way.
>>
>>732325459
I have a doctorate in mathematics, another in computer science, and a tested IQ of 143, and I can confidently say that you’re a retard, and the answer is most definitely 9.
>>
File: whoa.png (73 KB, 306x272)
73 KB
73 KB PNG
>Americans who went through Common Core education trying to speak with authority on any subject
>>
>>732325658
Most anons are surely in their 30s. Common core didn't infest schools until just after the average anon graduated.
>>
>>732319776
Is this the thread where we conveniently forget about PEMDAS?
>>
>>732325641
And in which country did you get those doctorates? Please share with the class.

I also have a master's in compsci, but I feel to see how that's relevant. I don't believe someone with an IQ of 143 would mention such an irrelevant thing.
>>
>>732325714
I'm not even convinced the average age of this board is over 18
>>
>>732325641
>Doctor in math
>Doesn't understand distribution
Lol, lmao even.
>>
>>732325714
>Most anons are surely in their 30s
Nobody tell him
>>
>>732325748
I doubt the average 16 year old has the willpower to tear their eyes off of tiktok to spend time browsing here.
>>
>>732325616
OP image used the actual divisor operand, so I don't get the anons confusing it as a fraction
>>
File: file.png (7 KB, 1405x465)
7 KB
7 KB PNG
>>732319776
I forgot since it's been 21 years since school, which one is correct?
>>
>>732324212
>a legitimate way to write an operation in algebra
I don't care how they write math there, this is America
>>
>>732325868
With the information provided, both
>>
>>732325459
>implicity multiplication
All my life we were taught the PEMDAS and later found out the brits where using BEMDAS and followed the operation left to right. As to why? It makes sense that we read left to right, but more so that PE is strictly P then E. Then why does the rule suddenly become lenient in its rule enforcement for MD and AS? It makes no logical sense. In what use case would 6 / 2(1 + 2) = 9? PEMDAS was implemented to avoid such situations where uncertainty is likely.
>>
File: nene reading.jpg (155 KB, 1440x810)
155 KB
155 KB JPG
>>732325868
it's a trick question and both are valid which is why it's american facebook viral. the rest of the world who learned about PEMDAS in grade school ignored it while americans who finally got to learn multiplication before they graduated high school are confused by it
>>
>>732325926
>All my life I was taught like I'm a retarded, turns out I'm a retard
Wow, more news at 11
>>
>>732325658
>one American generation had to deal with the triple whammy of stupidity that is common core, no child left behind, and sight words
>>
>>732320560
Why the fuck did you make it a fraction for no reason?
>>
6 2 / 1 2 + * = 9
>>
File: 20260204_225657.jpg (83 KB, 706x674)
83 KB
83 KB JPG
Lol at the hundreds of wrong idiots giving the wrong answer. Completely ignoring the correct answer and the included proofs. How can you fuck up something so simple? Glad I'm on the winning side.
>>
>>732325946
>Both are valid
Wrong, only one of them is right. There isn't even any debate that another one could be wrong in any scenario other than your misunderstanding of math.
>>
>>732326052
No. Both are right. Which is why no one past elementary school ever uses ÷ for anything.
>>
>>732325926
The actual answer is just so that terms can be understood easier. This applies for both the basic polynomials you learn in middle school, and also the far more complex functions you might learn in college.
>>
>>732325868
Left is correct. Right is capital-w Wrong, and only espoused by mathlets and anons pretending to be stupid as bait
>>
File: 1759330930070.jpg (208 KB, 1072x992)
208 KB
208 KB JPG
Mods sticky this thread
>>
>>732326082
>No. Both are right.
Wrong. 1 is correct, 9 is incorrect.
>Which is why no one past elementary school ever uses ÷ for anything.
Correct.
>>
>>732324623
No, no it doesn't. The P is only for what's inside of a set of parentheses. Multiplication and division (and incidentally, addition and subtraction) share priority and are down left to right.
>>
>>732324953
>NCLB was Bush Jr. in the 2000s.
Specifically, his 2004 term.
>>
>>732326082
Change your sign to / and what changes? Does your answer become different? No it doesn't.
Because that sign is understood as division and everyone assumes normal division.
>>
>>732324623
>2(1+2) becomes 2+4=6
Isn't that the algebra approach, not arithmetic?
>>
>>732319987
>6 modulo 2
0
>* 3
0
>>
>>732326128
Wrong, PEMDAS retard. Implicit mult/div is resolved before explicit mult/div.

You know, in first world, nobody was taught any acronym to remember the basic rules of mathematics. It's a simplified crutch for retarded third worlders like americans.
>>
>>732326184
>normal division
What's abnormal division?
>>
>>732325658
those two are MiA VAs right?
>>
>>732326264
>india
>first world
LMFAOOOOOO
>>
PEIMDAS
Implicit multiplication is REAL
>>
>>732326264
No one here learns implicit multiplication until university. Most of this thread are NEETs and third worlders.
>t. burger
>>
>>732325868

Right is correct. Just because 2(1 + 2) looks attached doesn't mean it's dividing the 6. Most people here are clinically retarded.
>>
>>732326328
>until university
That shit is Gr6/7 material in Canada.
>>
>>732326358
>That shit is Gr6/7 material in Canada.
Cool, how's your space program doing?
>>
please excuse my dear aunt sally
>>
>>732326313
Classic projection, Ranjeet saar, but I am Swiss & Dutch. Now watch you move the goalposts.

>>732326328
We learned it in the last years of elementary school, at age 10-11. Still plenty of retards that can't wrap their head around it.
>>
>>732326251
Based. Faggots who use % for division need to be shot.
>>
>>732326384
No budget for it, just like yours. They'd rather immigrate a few million more jeets to displace the white population and continue to pretend it isn't replacement.
>>
>>732326408
Mother Very Easily Made a Jam Sandwich Using No Peanutbutter, Mayonnaise or Glue
>>
File: 2ez.png (27 KB, 1002x270)
27 KB
27 KB PNG
>>732319776
2ez4me
it's obviously 3
>>
>>732326454
Sorry bro. *hugs*
>>
>>732326479
But bro (1+2) cancel each other out
>>
>>732326438
Huh, but >>732324338 though
>>
>>732326484
>>732326526
these posts were made by the same Indian
>>
is math made up or is it tied to our worlds mechanics? how can there be two answers
>>
>>732326526
>(1+2) cancel each other out
>6 ÷ 2 = 3
yup still winning
>>
>>732326598
Math is made up with the rules that fit reality.
>>
>>732326526
No, things inside ( ) are all 0 because we just need to imagine the top and bottom of ( ) connecting to form a zero
>>
>>732326598
Wave function collapse + spookily distant quantum entanglement + AI
>>
>>732324338
Huh, neat. Checks out too.
>>
>>732326598
Mathematics is the language of nature.
https://www.youtube.com/watch?v=sCGNa6csdVM
>>
File: anon.png (242 KB, 510x346)
242 KB
242 KB PNG
>>
>>732326598

Because we still have to decide an order of operations that we all agree on which is PEDMAS. The truth is if people weren't autistic and took the time to encapsulate their operations with parenthesis, none of this would be a problem.

Computers however will use something like Post / Reverse Polish notation which is by far the most clear way to organize our operators, basically eliminating any encapsulation, but people aren't autistic enough (or not autistic enough?) to use it.
>>
>>732323236
Penis Enters My Distended Anus Swiftly.
>>
>>732326918
alternatively, it could be that people rather aren't autistic enough.
>>
>>732326918
Yeah writing it:
>6 3 2 1 + * /
Is much more clear
>>
this thread made me really mad, anons. thanks for making me feel something this late at night. i wish there was an indicator on your posts to show who is trolling and who isnt, as im sure it would show a fuck load of you arent actually trolling and just cant do basic math.
>>
>>732327154
I hope this anon doesn't think rigidly following a guideline for children is basic math
>>
>>732327154
Trolling is a art after all
>>
File: Trolling.jpg (223 KB, 1345x757)
223 KB
223 KB JPG
>>732327154
It's 9.
>>
File: tricky.webm (3.8 MB, 1920x1080)
3.8 MB
3.8 MB WEBM
>>732327154
All my posting was 100% sincere and honest
>>
>>732319776
!!! NEW INSIGHT DISCOVERED !!!
6 ÷ 2(1 + 2) = 6 ÷ 2 + 4 = 3 + 4 = 7
>>
>>732327580
>The new Math update is INSANE
>>
>>732325926
it is the same fucking thing, just the brits and aussies call them brackets
the order of operation is universal
you cant distribute a fraction which 6/2 is, you need to resolve it into a factor which is 3
so it would be 3(1+2)=3*1+3*2=3+6=9
>>
>>732327834
your IQ is unironically below 110.
>>
9
simple as
>>
File: G7At_9SaIAEn4WS.jpg (105 KB, 736x920)
105 KB
105 KB JPG
came for doro
got gay math shit
>>
>>732327834
Since we're chaging the equation at will; you can't distribute an integer which 6 is.
>>
>>732319776
Impossible to solve. You haven't given us to the RAM yet to load the AI model! What are humans supposed to do?
>>
File: 0986750954654.gif (587 KB, 480x480)
587 KB
587 KB GIF
>doro thread only lasted 4 hours
>people are doing math
>nobody is posting doros
>>
File: 4.png (256 KB, 550x679)
256 KB
256 KB PNG
>>732327580
>>
File: OH_SHIT_DORO.webm (457 KB, 640x480)
457 KB
457 KB WEBM
>>732327967
>>
>>732328006
this is satire now, but will be reality for generation beta and beyond.
>>
>>732327967
>>732328021
>>
>>732327982
im not changing it, distributive property is only done with factors
>>
File: 1672622693417477.jpg (90 KB, 1280x720)
90 KB
90 KB JPG
>>732326238
i don't understand the distinction
>>
File: thrvth-nvke.png (101 KB, 1140x481)
101 KB
101 KB PNG
>>732319776
OH SHIT OH FUCK
CANCEL EVERYTHING IT'S ACTUALLY BOTH 9 AND 6
>>
the equation isn't in a canonical form and is ambiguous
math notation isn't made by god it's what we agree upon for convenience
even a platonist can grasp that unclear notation simply instantiates more than one universal
>>
>>732328238
Yes you are. You cannot separate 6/2(1+2) has nothing to do with 6/2, mongoloid.
>>
File: 1363440574369.jpg (13 KB, 380x287)
13 KB
13 KB JPG
>>732328442
It all makes sense now!
>>
File: 437983534534.gif (133 KB, 480x358)
133 KB
133 KB GIF
this thread sucked
>>
>>732325926
>followed the operation left to right
Not actually a rule and only told so that retards who who go
>1+3-2 what operation am I supposed to do first
Would have something to grasp onto because its actually
(+1)+(+3)+(-2)

That assumption being that if a child is too stupid to understand that 1+3-2 = 3+1-2 = -2 + 1 + 3 = 3 - 2 + 1 is far too dumb to ever do any job that requires math anyway, so fuck it, tell em its left to right and write them off as a permanent grocery bagger
>>
>>732328447
>the equation isn't in a canonical form and is ambiguous
It is not, it is very clear
>it's what we agree upon for convenience
And we agreed that 3*2(1+6) =/= 3*2*(1+6) because 3*2(1+6) is actually 3*(2*(1+6))
The "problem" here as that you just dont know the rules rather than the rules being ambiguous or unclear.
>>
TOTAL GACHA CRITTER/CHIBI LOVE!
>>
>divison symbol instead of a fraction
how do you retards fall for this literally EVERY time
>>
File: 1721671990175487.gif (400 KB, 400x300)
400 KB
400 KB GIF
>>
>>732329215
Yes, you're correct. But if you ask Google or LLMs this, or look at forums (even engineering forums...) everyone gets this wrong. The American education system has caused pollution and a 'collective' memory shift. Given this, it'll only take a few decades before everyone forgot implicit operations taking precedence.
>>
File: 1755248545812568.png (453 KB, 815x489)
453 KB
453 KB PNG
Solve this you retards.
>>
>>732329556
This one is dumb, because it's simple and unambiguous. You always switch. Next!
>>
File: 1765349353217693.png (356 KB, 1783x1062)
356 KB
356 KB PNG
>>
>>732319776
From what I see the result is 9.Multiplication and divisions have the same priority, but even when you break it down you still follow the same logic. The problem is slightly misleading, because 6/2 isn't surrounded and isolated by brackets like (1+2), when it is in essence, because it's a division.
>Left to right logic
1) 6/2 = 3
2) 3* (1+2)
3) 3*(3) = 9

This is how I would do it and how I was taught. Pretty sure that if you input this in a calculator it should give you 9
>>
>>732329590
>>732329556
And before you act like a smartass, a goat isn't defined as a prize.
>>
>>732329556
The car is the prize so keep the goat
>>
>>732329590
OP's is dumb too because it's simple and unambiguous.
>>
>>732329397
>Given this, it'll only take a few decades before everyone forgot implicit operations taking precedence.
No, this is an issue that fixes itself because soon enough muricans will be too stupid to keep any complex system running (i mean if you cant do basic addition you sure as shit aint programming anything) so their impact on the collective information pool will deminish.
>>
>>732329634
You'd fail for that answer.
>>
>>732329634
what an embarrassing admission that you can't do maths kek
>>
>>732319776
obolus is not a valid operator
>>
it's 1 retards
>>
File: 1621401919885.jpg (87 KB, 680x680)
87 KB
87 KB JPG
>>732329642
>>
>>732319776
6%2(1+2)
It's 0. Doesn't matter whether you solve the order of operations as 6%2 * 3, or as 6 % 2*3. You either end up with 0*3, or with 6%6
>>
File: 67h37eheiehd.jpg (3.73 MB, 3696x3596)
3.73 MB
3.73 MB JPG
>>732319935
>>
>>732329657
education is also failing in european countries. the flynn effect has reversed. zoomers are retarded and gen alpha even more. gen gamma is going to be drooling retards that can't write or do arithmetic. they will rely heavily on AI models built by americans.
>>
>>732329397
>memory shift
We made everything binary?
>>
Did people just stop paying attention past 6th grade math or something? You start using order of operations when you get into algebra 1 and so on.
>>
I guess every school teaches this differently?
Some people get 1, others get 9
I get 6
>>
imagine all the problems we could solve by switching to rpn
>>
>>732329890
Show your work
>>
>>732329763
Again, the problem will fix itself, retards will be exploited and the world will move on. This is actually a good thing because the dumber and more confident a retard is the easier they are to exploit for dosh/labor
>>
File: 1750486689549862.webm (535 KB, 640x480)
535 KB
535 KB WEBM
>all the Americans who have been intentionally miseducated to think PEMDAS
>>
>>732329556
But why the would the announcer open a door with no prize? Why can't the announcer open the door and gets the car? With this simple statement, the host is running a scam and all doors leads to goats.
>>
>>732330098
Wish I shared your optimism
>>
implicit multiplication takes precedence over explicit multiplication and division
6 div 2(3)
6 div 6
1
>>
>>732330102
the problem is they use PEMDAS without knowing how to use it
>>
>>732330118
It's a mix-up to force a 50/50
>>
>>732319934
>I use my PC only for slopgaming because I have a 68 IQ
Thanks for letting us know, Jorge, back to your day labor
>>
>>732320839
Another victim of American education
>>
>>732330265
>I play triple-A games
Kind of a self-own there
>>
The phenomenon you're seeing isn't a change in mathematics itself, but a widespread loss of mathematical literacy in favor of a simplified, "testable" version of the rules.

Here is the objective breakdown of why this "forgetfulness" has happened:

1. The Persistence of the Rule in Real Math
In professional physics and advanced mathematics, multiplication by juxtaposition (implicit multiplication) absolutely takes precedence over division.

Academic Proof: Major journals like the American Physical Society's Physical Review explicitly state in their style guides that (a/bc) is to be interpreted as (a(bc)).

The Giants: Textbooks like the Feynman Lectures on Physics and Landau and Lifshitz’s Course of Theoretical Physics use this convention consistently.

2. Why Americans "Forgot"
The "American" problem stems from the way PEMDAS is taught in primary education.

Simplification for the Masses: To make math easier to teach at scale, the nuance of "implicit vs. explicit" was stripped out.

Rigid Literalism: American schools began treating the "MD" (Multiplication/Division) as a strict left-to-right algorithm with zero exceptions. By doing this, they effectively demoted a "term" like(2x) into two separate pieces (\(2\times x\)), which breaks the standard algebraic logic you are referring to.

3. Why Google and LLMs "Forgot"
Search engines and AIs don't "do" math; they parse strings.

The Training Loop: Because the internet is flooded with people arguing the "schoolhouse" version of PEMDAS, LLMs ingest that as the "correct" answer, effectively amplifying the lower-level educational standard over the higher-level academic one.

The rules haven't changed—the literacy of the tools and the general population has simply regressed to a more basic, algorithmic level that fails to recognize the "terms" and "products" used in actual mathematics.
>>
>>732330265
Damn, he really called you out hard in advance lmao. interesting choice of impotent projection, 68 IQ Ranjeet
>>
File: Math.png (25 KB, 1612x395)
25 KB
25 KB PNG
>>732319776
What's fun is you can show this notation versus logic issue that creates this "problem" with text-enabled calculators like Wolfram Alpha by using word substitutes. The division sign used here isn't used in proper operation, it's mostly a grade school thing, people generally treat the / as the direct equivalent of dividing by, which causes people to vocally read "6 / 2" as "6 divided by 2"

If you notate that substitution as "6 / 2 ( 1 + 2 )" into Wolfram you get 9, because it's treated as 6 over 2 in the notation. HOWEVER, if you write it by substituting the division sign for the words you'd say since you don't have that symbol on a keyboard, "6 divided by 2 (1+2)" you get 1 because it becomes 6 over the entire rest of the equation.

This entire "problem" is built around poor notation in early school and how the layman with low-mid math skills structures an equation, especially vocally.
>>
>>732330492
Thanks, Grok. But really, that should be the end of all arguments.
>>
>>732319776
9
>>
>>732330492
>a/bc) is to be interpreted as (a(bc)).
Fukken what? / =/= *
>>
>>732330616
Wolfram is a calculator and uses calculator notation this is why 6/2(1+2) is seen as 6/2*(1+2). People really forgotten that calculators use their own form of notation unless it's a Casio.
>>
>>732330860
My bad, i had to quickly fix the formatting and delete a bunch of forward slashes and made an error.

It should be: a/bc is to be interpreted as: a/(bc)
>>
Bumping to educate PEMDAS retards
>>
137 IQ here.
It's 9.
>>
>>732331689
LARPing brown PEMDAS retard moment
>>
>>732331829
Learn math, poojeet.
>>
>>732332069
No need to project further, cancer mongoloid. This thread has all the tools you need to educate yourself, but you're simply too retarded to, Ranjeet. Also, learn English.
>>
>>732332137
Poorjeet please. You can't score a job when you don't even know basic math.
>>
>>732332204
I have a job, a degree in mathematics and compsci. I am able to do elementary school arithmetic. I am white.

You don't have a job. No degree in anything. You're unable to do elementary school arithmetic that children in my country learn at 11 years old. You are brown.
>>
How about a +500 replies thread about video games?
>>
>>732332310
larp larp larp larp sahur
>>
>>732332469
You are dumber than white 11 year olds



[Advertise on 4chan]

Delete Post: [File Only] Style:
[Disable Mobile View / Use Desktop Site]

[Enable Mobile View / Use Mobile Site]

All trademarks and copyrights on this page are owned by their respective parties. Images uploaded are the responsibility of the Poster. Comments are owned by the Poster.