[a / b / c / d / e / f / g / gif / h / hr / k / m / o / p / r / s / t / u / v / vg / vm / vmg / vr / vrpg / vst / w / wg] [i / ic] [r9k / s4s / vip] [cm / hm / lgbt / y] [3 / aco / adv / an / bant / biz / cgl / ck / co / diy / fa / fit / gd / hc / his / int / jp / lit / mlp / mu / n / news / out / po / pol / pw / qst / sci / soc / sp / tg / toy / trv / tv / vp / vt / wsg / wsr / x / xs] [Settings] [Search] [Mobile] [Home]
Board
Settings Mobile Home
/tg/ - Traditional Games

Name
Spoiler?[]
Options
Comment
Verification
4chan Pass users can bypass this verification. [Learn More] [Login]
File[]
  • Please read the Rules and FAQ before posting.
  • Roll dice with "dice+numberdfaces" in the options field (without quotes).

08/21/20New boards added: /vrpg/, /vmg/, /vst/ and /vm/
05/04/17New trial board added: /bant/ - International/Random
10/04/16New board for 4chan Pass users: /vip/ - Very Important Posts
[Hide] [Show All]


Janitor application acceptance emails are being sent out. Please remember to check your spam box!


[Advertise on 4chan]


File: gupz.png (2.63 MB, 1800x2329)
2.63 MB
2.63 MB PNG
Previous thread: >>>96796195

GURPS is a modular, adaptable system, capable of running a wide range of characters, settings, and play styles, with a level of detail varying from lightweight to completely autistic.
Optional rules allow you to emulate different genres with a single system, or even switch genres within a single game.

A nearly complete archive of GURPS books can be found by using the image (follow the URL to get to a folder with some files, read the files to get to the archive). Never post direct links to the archive anywhere in plain text.

If you're wondering where to start:
- The Basic Set covers everything, including a lot of optional rules you probably won't use.
- A genre guide can be found in the archive, under Unofficial/GURPSgen. It tells you what extra books and articles you may find useful for many common genres.
- How To Be a GURPS GM is a good read even for players.
- GCS (gurpscharactersheet.com) is an excellent character-builder software, with page references to all the books and the option to export to both Foundry and Fantasy Grounds.

Thread question: What do you want there to be in the additional 27 pages of the new Basic Set?
>>
>>96867326
>TQ
I'm calling it now but it will just be a bunch of extra rule fixes or tweaks we're all already aware of or using from various pyramid articles or DFRPG books. Hopefully the PDF isn't bad.
>>
>SJG genuinely think that people don't like GURPS because the basic set has 'slave mentality' and didn't capitalize 'black'
>still going to have the infinite worlds stuff in the revised basic set

I'm imaging this hypothetical person who is genuinely repulsed by the word 'slave' but OK with the setting that has eighty-seven different variants of "naziworld". This could be fine though, a revised basic set would fix a lot of issues if the additional pages have the 'best of' of the additional or optional rules. Still though, we're in the death throes arc and I would have liked the vehicles book if support is going to eventually end.
>>
>>96867736
>Hopefully the PDF isn't bad.
One good thing about the accessibility changes: SJ Games will finally stop using a custom font that makes the yen symbol look like a multiplication sign.
>>
>>96867971
They just need to retroactively apply this to every other release for 4e
>>
>>96867326
>>96867736
I think that the Pyramid (Volume 3, Issue 70) article Ten for Ten gives a good overview of what Sean wished he had included. It's over a decade old now, but I'm struggling to think of many new mechanics which are both good and short enough (for example, I think that Skill Trees are superior to normal skills, but needed an entire supplement).
Specifically:
Appearance rolls as loyalty - works fine, needs only a paragraph to explain.
Complementary skills are already in.
IT: Damage Reduction, and maybe add a 1.5 level, which is handy when combined with 'cutting only' to make a character who treats cutting as crushing.
Gunslinger Reloaded - this might just be a rewrite of the Gunslinger advantage.
Ham Clause - an easy option to add.
Pulling Rank - a very short version, leaving the details to SE:PR
Restricted Dodge Against Firearms - gives an option to make things more realistic
Tactics for the Win - possible, could fit in one third of a page.
Team Efforts - very simple and easy to fit in
Quick and Dirty Modifiers - beloved and short
Control, Create, Illusion, (generic) Static, Neutralize, and/or Leech. Possibly too many to include them all.
Alternative Benefits for Talents (could fit in the Talents section if they remove the art).
Power Stunts - really expand what advantages can do in an interesting way
Ambushes - this is basically just explaining how the rules work, but that's worth including.
Everyman Traits - I'm not a fan of these, but Sean seems to love them.
Sean claims that Imbuements are popular. I hate how weak they are, but they do serve an important function. Probably take too much space to fit unless drastically simplified.
Chase rules likewise seem too big to fit.

Other possibilities:
Survivable Guns - arguably more realistic, certainly more fun.
Abstract Range (as seen in the Action Chase rules and After the End) - goes with the general trend of simpler options.
DFRPG slam rules - these make slamming much less of a headache!
>>
>>96867997
I would bet money that alternate gun skills is in.
>>
>>96867971
That error is due to the difference in TrueType/Postscript/OpenType font encoding tables, combined with the fact that they use QuarkXpress for layout.
>>
Elder Scrolls fag from many threads back. The conversion is done, and was made entitled in GCS, rules included. It's been submitted and should show up in the homebrew section of the Master Library next time it gets updated.
In the meantime, I've started making a pdf of the conversion, but that's a ways out.
>>
>>96869051
Oh nice, I was doing my own but got distracted by an Aliens game
>>
Some anon described the new guns system as not factoring in magazines for bulk determination. I think that glazed over things too much, but I guess we'll see when it drops.
>>
>>96869759
Bulk (as per the last version in the playtest) is calculated from empty weight, but a very large magazine can shift it:
>Add an additional -1 Bulk penalty if the weapon uses one or more of belt feed, linkless feed, or a hopper, or has an oversized detachable box or drum magazine.
>An “oversized” detachable box magazine is defined as any detachable box magazine (or combination of magazines for dual-feed weapons) greater than 20% of empty weight on a long arm or mounted weapon, or 50% of empty weight for a handgun.
>An “oversized” drum magazine is defined as one that is greater than 30% of empty weight on a long arm or mounted weapon, or 60% of empty weight for a handgun.
>>
>>96870328
>Bulk (as per the last version in the playtest) is calculated from empty weight
Wow, that's... not quite right. An AKM and an M16 weigh pretty close the same but the M16 is much unwieldier in close spaces
>>
>>96870645
>but the M16 is much unwieldier in close spaces
Is it? I've somehow never fired an AK over the years but I've fired my friends clone of an original pattern m16 a ton and i felt it was tremendously handy and well balanced. I certainly didn't test it in doors but I really feel like it would have been better there than most other options.
>>
Are there other list of how to use skills like "Action 2 Exploits" and "Dungeon Fantasy 2 Dungeons"?
>>
File: Combat_Maneuvers_GURPS_v8.jpg (2.14 MB, 2480x3508)
2.14 MB
2.14 MB JPG
>>96867326
Maneuvers, v8
>>
>>96867326
Combat resolution, v8
>>
File: 1729825313877128.gif (439 KB, 200x210)
439 KB
439 KB GIF
>>96867326
Why did they have to release this just 3 months after i bought 4e physical?
>>
>>96870844
I thought they said in the 4th edition introduction chapter that one book containing characters and campaigns would be too large, so I'm assuming they're only going to release 4th revised as a pdf but I don't know for sure.
>>
>>96870895
They're going to print it.
>>
>>96870833
>>96870842
>retarded grungy background
>>
>>96870833
>>96870842
keyed grungy background
>>
>>96867326
The little bit of time where there's no GURPS general in the board is truly dreadful.
>>
>>96867326
>Thread question: What do you want there to be in the additional 27 pages of the new Basic Set?
Melee combat while driving.
Big guns for big/strong guys.
Mecha combat.
>>
>>96870675
Well for one the M16 is about 4 inches longer. It's actually not that bad outside houses and stuff, competitive shooters used to use 18 to 20 in barrels after all (but these two rifles should NOT have the same Bulk)
>>
>>96871092
And by 4in I mean only the barrel. The stock is probably about the same on an A1 and an AK
>>
How will we refer to the revised edition?
1.) 4.5 Edition
2.) Revised
3.) Rev. ed.
>>
>>96871096
AK stocks are actually usually shorter, since ruskie men were shorter on average and had a shorter length of pull; especially in the mid 50s.
>>
>>96871113
It's just a revised Basic Set, not an entire revised edition.
>>
>>96871118
I know, owning both, but sadly I sold my A1 stocks so I have no handy reference now. I can measure an M16A4 clone against an AK-103 though
>>
Basic Set pp. 366 and 382-383: Pulling a weapon from its holster/sheath/scabbard, or unslinging it from your back, requires a single Ready maneuver. Pulling it from a pocket requires 1d seconds. Pulling it from a pack requires 2d seconds.
But are there any rules for how many holsters/sheaths/scabbards a character is allowed to wear?
Dungeon Fantasy 1 p. 25 introduces "delver's webbing" and "bandoleer" items that provide a zillion places to store small weapons like daggers. (See also High-Tech p. 54.) But what about larger weapons?

ACKS 2 rules for this: >>96865096 >>96865099
>>
>>96870936
>retarded
did you mean "patrician"?
>>
>>96871113
GURPS Final
>>
>>96870945
>keyed grungy
did you mean peak kino?
>>
>>96871113
The Money Sink
>>
>>96871153
>he sold
Ngmi
>>
>>96871186
>But are there any rules for how many holsters/sheaths/scabbards a character is allowed to wear?
Not at all. Also that d6 idea is an alright rule of thumb for coins or lighters or whatever but pulling a small flashlight out of your pocket should not be as finicky as pulling a coin.
>>
>>96870645
The funniest interaction with that is the Serbian M92, an AK carbine with a ten inch barrel meant for CQB and used by their special forces for such, has the same empty weight as a SCAR-H.
>>
>>96871217
One wouldn't fit the buffer tube for whatever reason and the other was a garbage tier reproduction
I decided I was happier with the A2 stock
>>
>>96871268
Yeah milled AKs get absolutely fucked and so do Para FALs and such
>>
>>96871272
Also how do you justify folding stocks removing 1 bulk when folded if bulk is based on empty weight now. Stock still weighs the same folded.
>>
>>96871295
I assume the idea is that weight is a quantifiable and verifiable point to reference and is the next best thing to 'Go pick one up and see how well it's balanced'
>>
>>96867326
I want a revised basic set to canonize KYOST's logarithmic ST but I know that ain't happening so what's the fucking point.
>>
>>96871391
Whatever they used for HT is close enough, barring a few edge cases
Weight alone is retarded
>>
>>96871391
Some formula based on overall barrel length that included weight should have been used. I have a really lightweight shotgun with a 28" barrel for birb hunting that weighs less than the M4 I used to carry before accounting for the optic and foregrip, but it's absolutely more bulky and unwieldily. I mean this is an extreme case but there are tons of examples like this. Weight is such an asinine metric to use alone.
>>
>>96871485
Without a figure for point of balance unlikely a formula like you're describing would really work either.
>>
>>96871570
Balance has never entered the equation considering a big front heavy bitch like the Mk 3 SMLE and an AK are the same Bulk already
>>
>>96871459
Introducing a formula that's a downgrade over "we just fucking eyeballed it based on a workable but mostly arbitrary standard" is an impressive feat of over engineering.
>>
>>96871570
>>96871640
I'll give them not accounting for balance because you need to have first hand experience with the gun for it to matter and it's probably better to account it for via accuracy if you do at all.
>>
How do I stat a "second phase" like a vidya boss fight? I know I can just fluff (just have a second statline when the first one dies) it as a GM but I want the players to be able to do it too.
Just to be clear by what I mean for second phase is some sort of transformation that is triggered after the first form takes a certain amount of damage, either reaching 0hp or dying.
>>
>>96872154
Alternate Form with Emergency Only that also adds HP or Vitality Reserve on top of the rest of the power up?
>>
>>96872192
Hmm, that's a good idea. I didn't think about Emergency only but that works. Vitality Reserve or extra HP would also fit the "heals him back" idea.
>>
>>96867326
>>96870842
>>96871195
caught a few errors on v8 here is v9
attack modifiers, defense modifiers, some formatting, critical head blow definitions
>>
>>96867326
>>96872765
>>
>>96872765
based
>>
I just want that revised book to look like one of the Rolemaster originals so I can also use it as an art piece.
>>
They should bring back the 3E cover.
It's the most soulful cover of any game book.
>>
>>96873515
disgusting it looks like a brochure for flat earthers or some shit
>>
>>96873553
I think you mean truthers
>>
>>96873594
let's do it like this,
"It’s a historically iconic piece of RPG design, but if we evaluate it by modern aesthetic standards (circa 2024), there are both strengths and weaknesses to note."
Even AI knows
>>
>>96873515
Weaknesses (From a 2024 Graphic Design Perspective)

Overly busy textures and gradients:
The heavy metallic bevel on “GURPS” and the glowing lens flares feel dated — they reflect 1990s digital design trends. Modern design favors flatter, cleaner forms or more purposeful texture (e.g., subtle grain or painterly depth).

Font inconsistency and hierarchy issues:
There are too many font styles and weights (the serif for “Steve Jackson’s,” small caps for the subtitle, another serif for “Basic Set”). Contemporary design would simplify this into two font families at most with clearer hierarchy.

Color saturation and lighting mismatch:
The galaxy and the orange landscape compete visually — they don’t share a consistent light source or color temperature. Today’s design approach would tone down saturation and unify the palette via color grading (e.g., warm highlights, cooler shadows).

Border and framing feel heavy:
The thick black and red frame was a common print-era choice but now feels confining. A more open or minimalist layout with subtle drop shadows or transparent space would modernize the presentation.

Photomontage realism clash:
The castle silhouette, horsemen, and galaxy have different levels of realism. Modern covers usually blend styles (painterly or digital realism) more cohesively or intentionally stylize them.
>>
File: 0000000000000000000009.png (2.47 MB, 1024x1536)
2.47 MB
2.47 MB PNG
>>96873515
like this but better
>>
>>96873683
This is how you suck soul from art and end up with corporate memphis.
>>
>>96873683
>Modern design favors
>Contemporary design would
>Today’s design
Today's Contemporary Modern design is souless, just like AI.
>>
>>96873742
>discount humvee from C&C Generals
>flying coffee stains
holy sloppa
>>
So, when do I roll Strategy and when do I roll Tactics? To my understanding, Strategy is for large-scale conflicts, while Tactics is for small scale battles. But where's the breakoff point?
I also see in some books there are really useful optional rules for Tactics, like using Abstract Tactics in Martial Arts and using Tactics to stage ambushes in Tactical Shooting. Is there anything like that for Strategy?
I know that Strategy rolls are important in Mass Combat, but I kind of want to stay away from Mass Combat because it feels too divorced from the base game.
>>
>>96873963
You don't roll strategy ever, desu.
Even tactics is only used by a few niche Dungeon Fantasy rules.
>>
>>96873963
>to stay away from Mass Combat because it feels too divorced from the base game
you can't go on and spend your 2-hour session fighting small teams can you? a battle is fun, the local mayor of your "starter town" or whatever enlists everyone who can to join in the defense forces, you go in there roll one dice per ennemy until they're all dead and get 1/3 loot from each body than you'd get for an actual fun fight with regular rules
>>
>>96873963
Strategy would best fit during the planning stages of a battle where you are discussing the overarching plan of attack with others. It wouldn't be something you use right before battle, which is where Tactics is more useful.
>>
>>96873984
Maybe if mass combat was good
>>
>>96873963
Basic Set pp. 222-224: Strategy and Tactics default to each other at -6. Tactics applies only when you lead a group small enough that you can give orders to each warrior either personally or through a single subordinate.
Social Engineering p. 14: A group small enough that the commander can give orders either personally or through a single subordinate contains 20 or fewer people and is led by a commander of Rank 2 or lower.
Mass Combat p. 4: One unit contains either one vehicle or approximately ten warriors (possibly up to 15).
Mass Combat p. 36: In a battle, Strategy can be used by any commander, while Tactics can be used only by a commander of four or fewer units.
Tactical Mass Combat (in Pyramid vol. 3 iss. 44) p. 29: A PC can lead a non-Hero element in battle. If he does so, he multiplies the unit's strength by (Tactics + Leadership) / 20.

Putting this all together, I would say that a commander of up to 20 people can use Tactics, while a commander of at least 10 people can use Strategy. (I would also adjust Mass Combat p. 36 to say that a commander can use Tactics in a battle only if he leads just one or two units. And I would adjust Tactical Mass Combat p. 29 to say that a commander can lead up to two non-Hero elements in battle.)

Even if you don't use Mass Combat's battle rules, it has a lot of other guidance on uses for the Strategy skill.
>>
>>96869542
What I have is pretty comprehensive, so even if you don't like something, you'll have a bunch of stuff to work with.
How's your Aliens game? I always enjoy when people in the bread share stories of their current games.
>>
>>96870645
Sorry, it's actually empty weight and overall length. I only mentioned 'empty weight' to distinguish it from 'loaded weight' and make it clear that magazines matter in an 'all or nothing' fashion where they either modify bulk by one or don't.

>>96870734
After the End 2: The New World
Monster Hunters 2: The Mission

>>96873963
Strategy is essentially useless outside of mass combat. It's the skill of being a general (in the sense of 'commander of a large force', not necessarily someone with the rank of general), and if you aren't commanding a significant amount of troops, you don't use it.
>>
>>96871186
Probably best to just use common sense. You can carry a pack on your back and a couple of things suspended from straps over your shoulders (e.g. baldric, bandoleer, rifle with sling, messenger bag). Chest can have maybe six pouches or pockets (this would usually be layered pockets, possibly from multiple garments). Belt has room for two handgun or knife sized items at the hips, plus maybe six more small pouches, and a space at the back for a larger pouch or similar. Sleeve pockets can carry a couple of small items. Trouser pockets each hold a wallet / smartphone sized item, while cargo pockets add capacity for a paperback book sized item on each side (but if you over-burden your legs you will need braces / suspenders to hold them up and have issues with running). Ankle holster can take a small weapon or similar on either side, but should impose some penalties for running, stealth, etc. Helmet can mount optics, lights, etc. but overloading should cause more issues.
In short, there are plenty of places to carry stuff if you have appropriate load-bearing gear and your actual limits are probably going to be weight.
>>
>>96874650
Right now I'm just converting some setting-specific stuff. I have a bad habit of fleshing out game settings on the off chance it comes up so I'm currently working on compiling the entire equipment and vehicle roster of the Colonial Marines and four other governments (all of whom have been casually mentioned in side material that I don't actually like) to a very strict set of internal guidelines into a series of PDFs.

My friend thinks I have OCD.
>>
>>96873984
>>96873989
>>96874015
>>96874415
>>96874668
Thanks for the input. I don't think I'll be using Mass Combat's battle rules, but I'll look through it again to see if there's other stuff I can use, since I only glanced it the first time.
The PCs are going to be taking the role of both commanders and super soldiers who can turn the tide of battle on their own. So both command ability and personal combat ability are important.
What I was thinking of doing was using GURPS Zombies' Horde rules as a basis to resolve battles between many combatants in only a few rolls. After any amount of time passes in-game, I can calculate the number of attacks that might've occurred based on the time and the number of combatants, then look that number up on a table to determine the number of successful attacks and defenses based on the average skill of the combatants. To add an element of randomness, I might add +3d6-10 to effective skill before looking it up on the table. In any case, roll damage once, subtract DR, then multiply for the number of failed defenses. Each major wound's worth of injury means one casualty.
To make Strategy and Tactics useful but distinct, I was thinking of using the Abstract Tactics rules from Martial Arts and Ambush rules from Tactical Shooting; but like you said, limit the Tactics skill to battles of 20 or fewer people, and allow Strategy in place of Tactics for battles of 10 or more people.
>>
>>96876556
>My friend thinks I have OCD
You probably just building things.
If you feel like sharing, I'd be interested in the equipment and vehicles.
Hope you get to play a fun game
>>
>>96873963
I think of strategy rolls as being pertinent to winning the battle or the campaign, and tactics rolls as being pertinent to the specific skirmish you're in. A tactics roll will allow you to win the skirmish, a strategy roll would tell you if you should or not.
>>
>>96874791
>Belt has room for two handgun or knife sized items at the hips
I've personally wore 6 filled holsters once as a gag, and discounting weight issues that obviously brings it worked fine.
>>
>>96876647
would be nice to know of a few common sense battle strategies without having to research it too much, e.g., archers have high ground and their ennemies walk in the middle of them and get shot at from every direction which gives them a surprise of a round or 2 before they can react
in play before the team enters the battle they discuss strategies with the commander (NPC) and they say where they want to be placed on the battlefield, if they did it rright they crush the ennemy, if not it's painful and they may have to even leave the fight, gotta make it kind of easy strategy decisions so it's not like an actual warrgame battle situation, need to find clear and easy battle strategy advantages to be able to craft battle scenarios without a sweat, the actual fighting and how you handle it in play that's another story but at least the placement vs the battlefield and the ennemy positions is a starter
>>
GURPS is so universal that it gives me analysis paralysis. I want to run every setting and genre I come across as a game. One day, I want to play a retro-space game, another a tactical shooting action game, the next a prohibition era mafia campaign with lovecraftian cults.

How do you deal with the infinite possibilities?
>>
>>96877383
>How do you deal with the infinite possibilities?
does not compute
cannot answer infinite questions

in all seriousness it depends on your goal, be nice to settle down with a genre and give it a try solo or with a group
>>
>>96876556
I'm similar in some regards, in addition to doing worldbuilding for the game's setting, I also maintain an increasingly large spreadsheet of gear I find neat and isn't in HT or other materials, which contains:
>assorted IRL weapons I find neat, from production ones like the FAMAS to mockups like the Crye MR-C
>every US grenade, most soviet ones, a ton of european and other designs, every Precision Ordnance design
>every weapon from MGSV and Project Silverfish
>assorted fictional guns such as the Gallian from Valkyria Chronicles (haven't done every single one from there because it's a mess)
>all US and soviet/russian body armor and helmets, with russian stuff having been quite a rabbit hole
>Vehicles, mostly using Describing Vehicles from Pyramid
In the end, it's simply because I enjoy worldbuilding and I find figuring out the stats for stuff fun.
>>96877383
You can narrow it down by talking to your group about what they'd like to play.
>>
>>96877445
Torrent plz
>>
>>96877383
Write down the options and roll a die
>>
>>96877475
Which of those are you interested in? I can stitch together a screencap
>>
>>96877491
All the non-fiction stuff really
>>
File: HT stuff.png (1.15 MB, 3284x3129)
1.15 MB
1.15 MB PNG
>>96877549
Here's the bunch. I think a couple weapons come from blogs, namely the Lifecard and the Luty SMG if memory serves. Here's a few notes:
>a yellow name just means I didn't put it in my GCS library yet, it doesn't matter here
>all weights (weapon and vehicle) are empty weights, since for the former you can derive the ammo/mag weight and for the latter you can just add the load
>the grenade list includes some from HT for reference purposes
>the armor list has the HT body armors and helmets marked in gray to indicate the generic armors the US (white) and soviet/russian (yellow) ones are comparable to
>CL in the armor list means it comes from Chainlink and Concrete, while HB is my own homebrew
>the 6B5 (and 6B11/12/13/17/18 iirc) family have a ton of small plates made of different materials and arranged in various mixed patterns, not a solid plate, if you wanted to go full autism you could model that by making a roll table for how much DR a hit to the armor encounters
>>
>>96877692
Good stuff, especially the smoke/illum grenades and flashbangs. And the rifle grenades because that's my fetish
>>
>>96876556
Neat! I've written some summaries of USCM gear (in the mid 2280s) and organisational structure for my Alien RPG game. I'll share them on my blog later today.
>>
>>96877692
good stuff man
>>
File: Light Levels.png (214 KB, 1867x670)
214 KB
214 KB PNG
>>96877865
>>96877936
Thank you! Hopefully you find some use for them, I largely make these as a distraction.
An additional note on illumination, I treat light sources as reducing darkness penalties to 0 within the listed range, with them increasing by 1 past that range every two range bands. It's a bit of an abstraction but based on my light level calculations and Enhanced Senses, it generally holds true. Pic related is a 15º beam, so for example a 150 lumen light would have a range of 7 yd, -1 until 15 yd, -2 until 30 yd, and so on.
>>
>>96878014
There are better illumination rules in High-Tech: Electricity and Electronics, but your basic approach is consistent with them.
>>
>>96877445
Not him but if you have the soviet stuff that would save me literally dozens of hours when I inevitably do the exact same thing at some point.
>>
In the Aliens Colonial Marines Technical Manual it says that the Sulaco's sub-light reaction drives use carbon (specifically, diamond dust) as reaction mass. Obviously that raises a lot of questions about how the hell it works, but the one I'm interested in is what effect on thrust and Δv using carbon instead of hydrogen, water, etc. has for GURPS Spaceships purposes.
So far as I can tell, it's something along the lines of multiply thrust and divide Δv by √(average molecular mass/2) compared to hydrogen. So I guess it would be a 2.45 multiplier/divisor. Can any physics-fags confirm?
>>
>>96878107
Good to know! I never saw it mentioned when it came to illumination, so since I was frustrated with the BS and other books disagreeing on whether illumination range was for -3 or -0, I just brute-forced it.
Another rule of thumb is that wide angle flashlights (70º) have their range reduced by four range bands.
On that topic I'm not sure how bright car and other vehicle headlights should be, in addition to their angles.
>>96878240
See here: >>96877692
I would have liked to make lists of compenents and weights for load-bearing gear the way I did for MOLLE (working off CL&C's ALICE breakdown) but I couldn't find much about those.
>>
>>96878395
Yeah we could use some statted up LBE since they get very much glossed over in official books.
>>
>>96878395
On that topic I'm not sure how bright car and other vehicle headlights should be, in addition to their angles.
HT:E&E gives a method of converting wattage into lux. For example, 100 W LED recessed lamp would illuminate up to one yard away at about 1,800 lux, which is easily bright enough to read by. There's no darkness penalty at 2 yards (360 lux), -1 at 3-5, -2 at 6-10 and a further -1 per two range bands.
Looking at this aerial photograph of car headlights, it seems that the light is most intense within 15° of the centre, and almost all of it is with 30°, so the horizontal spread should be 30-60°.
>>
>>96878815
forgot image
>>
File: MOLLE.png (166 KB, 1497x569)
166 KB
166 KB PNG
>>96878769
Here's my GCS setup for MOLLE and IIFS, with the Vest . Note that I've just implemented all this in GCS for convenience so I don't have to manually beancount. It's sourced from assorted US manuals and listings from stores, so not all figures are guaranteed good.
Here's how they fit together, you can read more about what components replaced each other and "canonical" loadouts on CIE Hub:
>Load Bearing Vest
>+ Butt Pack = Light Fighting Load
>+ Patrol Pack = Assault Pack Load
>+ Main Pack = Light Rucksack Load
>+ Sustainment Pocket = Intermediate Rucksack Load
>+ Sleep System Carrier = Full Rucksack Load
>Large Field Pack Set: a large rucksack w/ frame and straps, 2x sustainment pouches, a molded waistbelt
For ALICE, check here: https://chainlinkandconcrete.blogspot.com/2017/02/the-all-purpose-lightweight-individual.html
>>
>>96878847
I should borrow my friend's British belt kit one day to weigh it in order to stat it up
>>
File: city guards 1.png (1.01 MB, 1318x614)
1.01 MB
1.01 MB PNG
Our friends must be starting the discord VTT soon. Speaking about vtts, here's a few tokens to print or for vtts I've been making and collecting a bunch for fun. Not sure if I should give them a hex base, just the outline or full base, arrow for forward direction?
I'm about to try and make some dark elves for ranged ambushes.
Anybody got a cool map with some trees on elevated terrain overlooking a path in the center?
>>
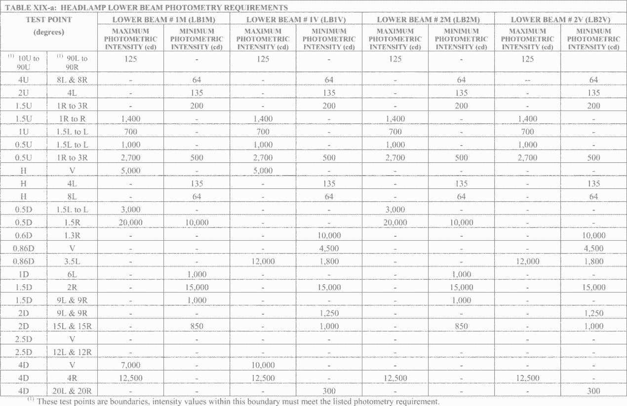
File: table XIX-a.png (99 KB, 1270x823)
99 KB
99 KB PNG
>>96878815
You can just look up the official standards for headlight brightness. The US regulations are a bit complicated, but still reasonably understandable even if you're not a lawyer. https://www.ecfr.gov/current/title-49/subtitle-B/chapter-V/part-571/subpart-B/section-571.108 (section S10 and tables II and XIX; pic related)
For example: In a car with replaceable bulbs, two headlamps, and mechanical aim ("LB2M" in the table), minimum brightness ranges from 10,000 candelas at 0.5° down and 1.5° out ("0.5D, 1.5R") to zero at 1.5° up and 1° right ("1.5U, 1R to [90]R").
>>
>>96879404
>pictured: what a typical GURPSfag wants to be in the next edition of Vehicles
>>
>>96879420
had a bad week? wanna talk about it?
>>
File: faggot.png (24 KB, 520x334)
24 KB
24 KB PNG
>>96879573
I samefagged to make a joke, anon. Lighten up.
>>
>>96879596
hehe that thought passed though my mind, I still don't know, though
>>
>>96870844
Relax anon, in spite of their assurances that nothing broke, they most certainly broke things.
>>
>>96867997
>>96868011
>Alternative Gun Specialties
>Armor as DR
>Combat Writ Large
>Wildcard Bonus (the stronger one from Pyramid #3-107)
>>
What books should I read for a 20s mafia campaign? I assume action and hi-tech, but is there a good book of the period and genre for inspiration? even if not directly from GURPS.
>>
>>96882237
GURPS Cliffhangers (1930s--close enough)
GURPS Cops
>>
>>96882237
A lot of Call of Cthulhu stuff is set in the 1920s and Chaosium's research standards were considered almost as good as SJG's back in the day.
High-Tech: Pulp Guns 1&2 give you a pretty comprehensive list of firearms. The rest of the High-Tech series cover most other equipment except for vehicles and obscure stuff.
There are probably hundreds of pop-history books about the early mafia and 1920s America, but I've never researched the subject so I can't make specific recommendations. Clause or ChatGPT are usually decent at generating reading lists; get a hundred or so titles from them, then see which ones are on Anna's Archive. You can usually tell if a history book is going to be worthwhile with five minutes of skimming through it, so you can churn through dozens in an evening to narrow your list down, then spend the actual time to read the handful of most promising ones.
>>
>>96879290
>Anybody got a cool map with some trees on elevated terrain overlooking a path in the center?
>>
>>96873660
>It’s a historically iconic piece of RPG design
It's not even that, the historically iconic GURPS covers are the bubble ones used from 1e through the original 3e core sets.
>>
Ahem.

Kill Realm Management. Behead Realm Management. Roundhouse kick Realm Management into the concrete. Slam dunk Realm Management into the trashcan. Crucify filthy Realm Management. Defecate in Realm Management's food. Launch Realm Management into the sun. Stir fry Realm Management in a wok. Toss Realm Management into active volcanoes. Urinate into Realm Management's gas tank. Judo throw Realm Management into a wood chipper. Twist Realm Management's head off. Report Realm Management to the IRS. Karate chop Realm Management in half. Curb stomp pregnant Realm Management. Trap Realm Management in quicksand. Crush Realm Management in the trash compactor. Liquefy Realm Management in a vat of acid. Eat Realm Management. Dissect Realm Management. Exterminate Realm Management in the gas chamber. Stomp Realm Management's skull with steel toed boots. Cremate Realm Management in the oven. Lobotomize Realm Management. Mandatory abortions for Realm Management. Grind Realm Management fetuses in the garbage disposal. Drown Realm Management in fried chicken grease. Vaporize Realm Management with a ray gun. Kick Realm Management down the stairs. Feed Realm Management to alligators. Slice Realm Management with a katana.
>>
File: .png (22 KB, 782x509)
22 KB
22 KB PNG
GURPS Ring of Fire is nearly out!
>>
>first campaign in gurps was completely medieval, no guns
>second campaign had muzzleloaders, still mostly melee combat
>prepping the third campaign
I now want to move on to the next level of tech, where guns are the main weapon even for non-formation fighting but we're still not on the age of machineguns. As in guns now reload fairly quick, to the point where even in the second by second combat of gurps you can still get more than one shot per fight.
What year and TL is that?
>>
>>96884159
1860s
>>
>>96884159
High-Tech pp. 86–88 provides a summary of reloading times.
>>
>>96884181
>>96884183
Thanks!
>>
>extra cash in basic: 1pt = 10% of starting cash
>extra cash in DFRPG: 1 = 50% (500$) of starting cash
That's a big difference. If I'm running a game that is sort of like DF but at tech level 5, which of the rules should I use?
>>
>>96884535
Basic Set (p. 26) assumes that 80 percent of your wealth is illiquid--e. g., your house.
In contrast, Dungeon Fantasy 1 (p. 23) assumes that all your wealth is liquid and can be spent on adventuring gear.
>>
>>96884548
I am assuming it's all liquid too. So how much cash should the players start at TL 5 assuming liquid wealth only?
>>
I’m surprised they’re keeping IQ as the shorthand for intelligence for the reprint, since IQ scores are apparently racist these days
>>
To those who use Restricted Dodge Against Firearms, how do you handle Dodge and Drop? The rules say you must dive prone at the end of your turn to claim the bonus for Dodge and Drop. Does this mean you receive the penalty for being prone to active defenses as well? Do attackers receive penalties to target you?
>>
>>96884576
The listed amount. If you assume a pc has illiquid assets, e.g. house, car, home desktop etc depending on Status, then they only have 20% of the listed amount available on char creation
>>
>>96884576
B27
>>
Is luck underpriced? If you try to build the same thing using impulse points you usually end up paying almost double.
>>
File: mgmj.jpg (62 KB, 720x480)
62 KB
62 KB JPG
GURP ON THE BORDERLANDS, AFTER-ACTION REPORT: SESSION ONE

Just last night we went through our first session of what was, as the name implies, a GURPS adaptation of the classic DnD module B2: Keep on the Borderlands. Using Dungeon Fantasy of course, but besides that only the Basic Set. This is my first time with DFRPG, though far from my first with GURPS. The other players vary in experience from newbies to fellow veteran GURPSers
The Pcs are all 250pts as standard, 50 disads/5 quirks, the usual. Most of us stuck pretty close to the templates. Not sure how long it'll take to run through the whole module, but as the party's official Chronicler, I've taken it upon myself to write these reports after every session. And that being said...
Across the Duchy of Karameikos, word had been sent calling for the aid of brave men to defend it. Rumors of kidnappings, of travelers and caravans ambushed, of the forces of Chaos mounting their strength within the northern mountains, have pressed the people to dire need. Great wealth and honor will come to those who can brave the fabled Caves of Chaos and put an end to the threat!
At around 4 in the evening, on the northeastern edge of the Grand Duchy of Karameikos, central Mystara, a motley crew of would-be adventurers arrived at the gate of Castellan Keep, their number reckoned as follows:

>Mik, Ogre Barbarian
>Bernard, Human Wizard (and his pet cat)
>Sulimo, Elven Cleric of Ilsundal
>Skav, Troll Shaman (with his possessed vulture and black bear servants)
>Rakesh, Human Monk
>>
>>96885081
For most of this eclectic coterie, the trip and the expense of being properly kitted out had drained their purses, with some scarce able even to afford a bed at the inn - particularly Mik, who had to sleep in the stables for want of ogre-sized accommodations. But over their scanty meals, the party learn some helpful info, including tales of a trader attacked at the bend of the river, of a daughter looking to pay a handsome reward to whoever might rescue her father (presumed kidnapped and taken to the Caves), and of the presence of certain accursed altars to profane gods deep in the Caves, which even to touch would cause one to die. The omens are not good.
>>
>>96885091
The start of their adventure the next day isn't entirely auspicious either. First, the monk is snubbed by the guards, who seem to have little trust in (or like for) adventurers. Then, short on coin, the Elven Cleric tries to do some panhandling. It turns out that the locals dislike elves even more than they do adventurers, as no sooner had he assumed his station than a group of thugs with clubs assaulted him. (Critfail on Panhandling) The guards drove them away, but not before they'd dealt Sulimo some sore blows (6 injury suffered).

At last, joined by their now-bruised companion, the party set out for the Caves of Chaos! They make a short stop on the way to search near the river where the caravan was said to have been attacked a week ago. There are no tracks, no prints, no signs of any struggle either along the road or in the woods to the north. Yet, after backtracking down the river a ways, they eventually find a dagger, still bloody, lying in the muddy turf. Whoever has been doing these attacks, they're clever and coordinated, leaving scarcely a trace of their crimes. After some waffling on whether or not to keep digging for evidence, they carry on the northward trail.

Meeting no obstacles on the road, the party discovers the side path through the wood which leads to the fabled Caves of Chaos. The Elf's poor luck continued, as not only did he fail to bolster their spirits against the Caves' awful aura of degradation with a sermon, but he also healed only the minimum 1 HP on First Aid for himself, meaning that he went into the Caves already at 6/11 HP.
>>
>>96885008
I thought impulse buys only let you do stuff like upgrade successes/failures and dictate dice rolls. Not roll 3 times and get the best result.
>>
>>96885081
nice
>>96885096
>panhandling
first time I've ever heard of anyone using panhandling
>>
>>96885096
Naturally, with a dozen or so different entrances available to start the journey into the Caves, the party debated which one to begin with. Meanwhile, the wizard cast Continuous Light on a few stones so that we might have ready light sources. Really is a wild spell, giving torch-level light for several days at a pretty cheap cost. At last, with nothing to bias them one way or another, they decide to go down the nearest tunnel to see what they're in for.
For the first half hour, that proves to be empty tunnels, broken only by the occasional rat (often dead and decapitated) and a bloody hand print on a wall. Obviously the tunnel is occupied by something savage. There are several points where the tunnel splits, and we decide to go west and north back towards the edge of the cliffs. The GM has us the players mapping the Caves ourselves based on his description, which is pretty fun actually, even if it means we don't get any cool maps out of it, we get to chart our own progress.

Soon we reach a larger ovoid section of the cave with a table and other evidence of occupation. And no sooner do we see such than we spot a green-skinned thing ducking for cover out of the light. A crossbow bolt narrowly misses the Ogre in front, and it's combat!
>>
>>96885113
Arrayed against us are four goblins with crude crossbows and shortswords. An easy enough fight on its face. The ogre charges right in and batters the table that the one goblin was trying to hide under, crushing its leg in the process. The wizard and shaman get into position while the elf doffs his heavy backpack and the monk readies a javelin.
A couple more crossbow bolts fly, one hitting the ogre but failing to penetrate his thick hide, another hitting the troll shaman in the foot, successfully crippling it. The ogre finishes off the one goblin while the wizard starts cooking up a fireball and the shaman directs his beast-servants to join the fray. The Bear proves to be the most competent fighter of all of us this combat, as it turns out. Meanwhile, the monk impales another gob with a javelin and the elf gets into position himself.

The goblins prove stickier than expected, both because of poor rolls on our part and because they have more HP than one would expect of a short cretin, especially as (unlike DnD) they don't automatically go down at 0HP.
The ogre swings his heavy warhammer at the minotaur, cracking its shoulder and crippling one of its arms with a mighty blow. The bear kills another goblin while the monk sticks another with a javelin. The elf attempts to heal the shaman's crippled foot, but due to the roll being IQ-6 and having no time to, well, take extra time, he fails. Meanwhile, the wizard keeps cooking.
>>
>>96885120
Two more goblins join the fight, firing their bolts ineffectually, but one manages to get a good hit in on the elf with its shortsword, leaving him tottering at 1 HP. The wizard can't get a great angle for his fireball because the ogre and the bear and the shaman are all stuck into melee with various enemies, but he nonetheless tries flinging it at the minotaur. Against the odds, it whizzes past, and also fails to hit the psy-goblin behind it. Four turns wasted. Hard times for a wizza. The elf is more successful, healing the shaman (even if his foot is still crippled).

The session ends shortly after, with the minotaur and ogre locked in a wrestling match while the wizard readies another spell and the elf casts Might on the ogre to give him +3 STR. One minotaur, two goblins and the weird gob with the rock in its skull still remain, but even though victory is likely, the party is definitely gonna have to rest up after this. The wizard and cleric are nearly spent FP wise, and everyone is at least a little injured.

Fun game so far though, looking forward to doing another AAR next week!
>>
>>96885105
You can build impulse points that allow you to reroll 3 times and get the better result too, but it ends up being more expensive to do it at the same rate (1/hour).
See the pyramid 3/100 and power-ups impulse buys.
>>
>>96885124
Yeah, using standard spell rules to do damage with fireball is going to have the wizard resting after every fight, plus the whole "wait one entire year to charge the spell". That wizard has my condolences.
>>
>>96885152
Going by the power-ups example, it initially seems like the conceptual intent is to give the players a small pool of them by default, like luck or fate points in other games. The pyramid article seems to restrict that a lot, but either way IP is more flexible than Luck is. 1 IP that refreshes 1/hour might be more expensive, but you're RAW capable of using it to buy everything IP is able to be used for (such as dictating margin of success out right, gaining FP, money or favors the character otherwise doesn't have); not just rerolling singular dice results.
>>
>>96885248
You are correct, but you can make a "luck point" that is "aspected" to only be rerolls, essentially building the luck advantage back as it is, (and this is what they suggest you to do), but it ends up costing more because the "aspected" part only applies to the point itself, and not the recharge rate which for some reason they made it a separate advantage.
>>
>>96885264
I think it's more of a case of them underpricing the aspected modifier for the Luck points. So using the example in pyramid 100; you'd spend 4 points per Luck(IP) point and then an additional 20 for the separate advantage of refreshing faster. At low levels, the baseline luck advantage is superior; but with more IP the IP pool is probably better because you can use it several times back to back as you need it, while being able to "bank" luck rerolls, unlike the basic set advantage.

Though ultimately it feels to me this is a case of trying to take a system that's priced around being far more flexible and then poorly trying to crunch it down into being super limited.
>>
>>96885106
Panhandling was given a bit more direct rules implications in Dungeon Fantasy, normally it's a serviceable but low-yield way to get some money when in town. Unfortunately, critfailing is dangerous when one is pretending to be a penniless mendicant.

>>96885178
It's definitely punishing to miss, which means spending an extra turn Aiming. He probably would've been fine if the ever-growing melee hadn't forced him to change targets. And if he hadn't shared the Elf's bad roll luck.
>>
>>96885339
>Though ultimately it feels to me this is a case of trying to take a system that's priced around being far more flexible and then poorly trying to crunch it down into being super limited.
Yeah, I agree.
>>
>>96872765
>>96872787
critical head blow 17 is wrong it should read
rounded up after divisors
will be fixed at V10
>>
What's the best way for a cinematic martial artist to keep up with melee weapon damage? Any particular combinations of skills and advantages that allows them to (consistently) deal similar damage to a swung melee weapon with fists and feet? And by consistent, I don't mean spending 50 points in Power Blow so they can roll at -10 to double their ST every round.
>>
>>96885711
and +3 on parry during retreat with fencing but I didn't put hardly any advantages or skills on the cheat cheat, that's probably the only one
>>
>>96885822
There's a Pyramid article that outlines the possibility of turning unarmed attacks into Natural Weapons, forget the exact one. But that makes martial arts much deadlier because you can have comparable damage while also having access to techniques and such that give you more versatility than he who swings the sword.
>>
>>96886104
Googled it after you brought it up, it's from 3/65; the article in specific is literally called "Natural Weapons"

>Can make Martial Arts deadlier than melee weapons
I think I'm fine with that, since it's a TL6 game with guns around. Having the cool martial arts person being able to obliterate people just as good, if not better, than the guy with the katana is fine by me. Given all the other limitations with unarmed fighting.
>>
File: 4.png (3.27 MB, 1403x991)
3.27 MB
3.27 MB PNG
>>96882950
I'd love the rest...
those maps are usable



[Advertise on 4chan]

Delete Post: [File Only] Style:
[Disable Mobile View / Use Desktop Site]

[Enable Mobile View / Use Mobile Site]

All trademarks and copyrights on this page are owned by their respective parties. Images uploaded are the responsibility of the Poster. Comments are owned by the Poster.