[a / b / c / d / e / f / g / gif / h / hr / k / m / o / p / r / s / t / u / v / vg / vm / vmg / vr / vrpg / vst / w / wg] [i / ic] [r9k / s4s / vip] [cm / hm / lgbt / y] [3 / aco / adv / an / bant / biz / cgl / ck / co / diy / fa / fit / gd / hc / his / int / jp / lit / mlp / mu / n / news / out / po / pol / pw / qst / sci / soc / sp / tg / toy / trv / tv / vp / vt / wsg / wsr / x / xs] [Settings] [Search] [Mobile] [Home]
Board
Settings Mobile Home
/lit/ - Literature

Name
Spoiler?[]
Options
Subject
Comment
Verification
4chan Pass users can bypass this verification. [Learn More] [Login]
File[]
  • Please read the Rules and FAQ before posting.

08/21/20New boards added: /vrpg/, /vmg/, /vst/ and /vm/
05/04/17New trial board added: /bant/ - International/Random
10/04/16New board for 4chan Pass users: /vip/ - Very Important Posts
[Hide] [Show All]


[Advertise on 4chan]

[Catalog] [Archive]

the canals of braavos edition

ASOIAF wiki: https://awoiaf.westeros.org/index.php/Main_Page
Blog: https://georgerrmartin.com/notablog/
Old blog: https://grrm.livejournal.com/
So Spake Martin (interviews): https://westeros.org/citadel/ssm/
Book search: https://asearchoficeandfire.com/
SSM search: https://cse.google.com/cse?cx=006888510641072775866:vm4n1jrzsdy
General search: http://searcherr.work/
TWOW samples: https://archive.org/details/411440566-the-winds-of-winter-released-chapters

old: >>25060618
68 replies and 19 images omitted. Click here to view.
>>
>>25089396
>>
George R.R. Martin you stupid fucking nigger should have gone with the timeskip anyway so that we would've been done with this series now. Maybe would have been worse but at least we wouldn't have to think about anymore like we do now, constantly being drip fed with small news and information fuck you.
>>
File: 1556049084004.jpg (35 KB, 828x626)
35 KB
35 KB JPG
>>25090416
the only updates he gives are"I promise guys it's definitely closer to being finished please stop calling me a fat retard incapable of following through I swear just a little longer." I hope he cries his obese lardass to sleep every night from people being so horribly mean to him after waiting fourteen fucking years for the SECOND to last book in his setting, nevermind the actual finish. Fuck Martin, and fuck whatever ending he had planned - if he doesn't give enough of a shit to even get to it, why should I?
>>
>>25089466
Jon and Dany are each other's endgame couples, that's plain obvious
But how George is going to make it work in only two books I have no idea
>>
>>25090416
>we would've been done with this series now
lol, lmao even

File: brodernism.png (163 KB, 1059x636)
163 KB
163 KB PNG
>https://lareviewofbooks.org/article/against-high-brodernism/
Pic related is a mid review of a mid book by Krasznahorkai, but he also makes a point about the existence of a trend among male readers called brodernism.
>Brodernism is not a writerly movement but a critical tendency, not a tradition in the strict sense but a kind of post facto absorption, a critical construction with no real basis in textual history or novelistic corpus that is slowly trickling into the fictional unconscious. An aesthetic product, often, of critical ignorance or disregard: glorious local and regional traditions of experimentality or ambition vanish under the haze of a homogenizing (and loudly proclaimed) American reception as “difficult.” If careerism is the dominant literary style in the United States, brodernism esteems itself the resistance. Provincial or hermetic American texts balloon outwards and swallow up the world, unaware that the world was already in them. The complex interplays of local and transnational that define most literary production disappear into a diffuse but ever-expanding vacuousness into which all are incorporated: some broad notion of “challenging” or “maximalist” literature.

I'd say the trend started in the US, and extended well beyond it among readers who are terminally online. At least in my experience, I was first exposed to this kind of annoying male readership here on /lit/ more than ten years ago, and it seems that like me many other readers online (books of some substance, metafictional meathead, WASTE mailing list, etc.) have internalized this way of reading difficult fiction novels and using them as social signifiers.
What do you think of this "brand"? Does it exist? Do you see others or yourself in it? And how do you interpret it as a phenomenon? Effortposts welcome.
36 replies and 2 images omitted. Click here to view.
>>
>>25087301
That doesn't exist. People, not only male readers, choose books that have a good reputation, and there's nothing wrong or ignorant, or "fascistic" about that. The list he gave is full of people drowning in awards. Perhaps a young reader might give Krasznahorkai a try because he got the Nobel prize last year? Is this a far-reaching conclusion? Very few of the books he mentioned are known to be difficult, by the way, whether in their original language or in translation. Céline writes in an oral and fragmented prose notorious for avoiding any literary ornament and Sorokin underlines violence and alienation by using a deliberate flat style with some socialist pastiche. Nowhere is there any trace of "winding sentences", "explicit references to entropy and math and classical music", let alone "brick-length tomes". "Wittgenstein's Mistress" is a bit over 200 pages long, "The Looser", less than that and "The Plains" laboriously reach 150 pages. The whole article is just about insulting people with different tastes, he doesn't substantiate any claim, and the last quarter focuses on nazism for no evident reason. I'm baffled when he discusses his own review of a Romanian author he then admits knowing nothing about, and has the audacity to project his crass ignorance onto the literary critique world.

Also, the irony to complain about some glorification of density in a prose so convoluted and pretentious. Every word is polysyllabic, abstract, and culturally coded.
>Brodernism, nostalgic for the would-be uncharted waters of modernism (but whose?), revives the early 20th century’s fetish for textual originality devoid of its acute historical self-consciousness and critical cosmopolitanism
Can these people even read their own articles?
>>
>>25088828
Max your geriatric millennial unc taste has been ridiculed, now go to sleep
>>
the "brodernist canon" is basically just whatever a handful of anglophone translators and small presses (new directions, dalkey archive press, archipelago, wherever I'm forgetting) decided to put into English. Max Lawton translates Krasznahorkai so now Krasznahorkai is the guy. the whole canon this article complains about is like getting mad at people's taste when they all eat at the same restaurant because there's only one restaurant

imo the more interesting question is why translated experimental fiction is the prestige object instead of poetry or drama or essays. probably got something to do with how novels are a consumption commodity and those other forms aren't. you can hold a novel up, say how many pages it was, say it took you three weeks, but you can't flex a Celan poem because engaging with a poem is internal and you can't quantify it. the novel is the only literary form that works with clout logic because it has a visible size and a finish line. the novel's the one literary form structurally compatible with clout economics

nonfiction doesn't work for this because nonfiction has external accountability, you read a 700 page history book and someone can just ask you a factual question about it. a novel protects you because engagement with it is always interpretive, always subjective, so you can always pull the "well that's just my reading of it." the novel gives you the visible size of nonfiction with the unfalsifiability of poetry. perfect clout object
>>
>>25087301
Dismissing art through low-effort pseudogenres with the words "white" or "bro" in their name is a more verbose, more pseudointellectual way of making starterpack images. Like complaining about "DFW bros" on twitter but for prestige magazine readers.
>>
>>25087304
>>25087359
can you format this so it’s easier to read

File: images.png (3 KB, 225x167)
3 KB
3 KB PNG
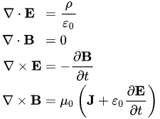
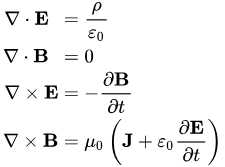
Why is philosophy needed in the current day when science allows us to behold the universe in such beautiful detail as picrel? Why doesn't philosophy take from math, as it is the fundamental way to understand physical phenomenon?
22 replies and 1 image omitted. Click here to view.
>>
>>25089504
Neither does philosophy.
>>
Based OP. Mathematics > Physics > Chemistry > Biology > Psychology > Sociology >>>>>>>>>>>>>>>>>>>>>>>>>>>>>>>>>>>>>>>>>>>>>>>>>>>>>>>>>>>>>>>>>>>>>>>>>>>>>>>>>>>>>>>>>> Philosophy. Math reigns above all.
>>
>>25090344
So does one divided by infinity have Platonic reality, or not?
>>
>>25089516
Ah. It's Apu. I see now.
>>
>>25089488
there is a philosophy of science.
there is not a science of philosophy, or of the many other things that there is a philosophy of.

File: Ondulations.jpg (223 KB, 960x1280)
223 KB
223 KB JPG
prev: >>25084976
114 replies and 18 images omitted. Click here to view.
>>
>>25088445
About 5 days ago, I re-visited one of my all-time favorite recordings. I must be the only person within a 50 mile radius who has a CD of it, never mind equipment suitable for listening to it, on the road or at home.
https://www.youtube.com/watch?v=2ff5YkzjgoA&list=PLAoXfDNWtrgMoWPG5kC3jrED2BVpA7lH6&index=9
>>
>>25088466
All in all I prefer the Stevensian sense of reality, wherein hummingbirds hovering near your face that have crossed the gulf of Mexico in one go are sometimes seen while Canada geese sweep overhead at just twice treetop level, while unusually serene weather prevails.
>>
Just realized how completely miserable I get whenever it isnt sunny; even though I stay inside all day.
>>
>>25090474
I don't have a window in my room, so I never know what the weather's like.
>>
>>25090069
My nephews think i'm the bees knees. All I do is feed them when I'm eating in front of them and give them toys slightly beyond the recommended safety levels, barely even see them

File: Orc.jpg (896 KB, 2572x1280)
896 KB
896 KB JPG
How can be fixed the orc species?
6 replies and 5 images omitted. Click here to view.
>>
>>25090443
Yeah, it means all of them.

>>25090434
>inherently malicious servants
I'm gonna stop you right there.
>>
>>25090413
Who started the green thing?
>>25090414
Half-orcs can pass if they are still huge and dumb
>>
>>25090462
I'm not sure, but I think it comes from their association with goblins, which usually they're green. Orcs in most fantasy worlds are bigger goblins.
>>
>>25090458
You know what I mean
>>
>>25090475
Tolkien himself used goblin and orc somewhat interchangeably, something you don't really see in his imitators, particularly in those influenced by D&D and other settings inspired by role playing games. I believe D&D creating clear distinctions between different types of monster was a byproduct of it being a game setting, and needing quantified statistics for everything to facilitate simulated combat, and desiring a diverse array of enemies to throw into their scenarios. Fighting "orcs" all the time is boring, in a game setting, so why not have a dozen different similar monsters with variable strengths and weaknesses instead?

Tolkien was aspiring to mythology when he wrote about Middle Earth, so he wasn't concerned with being overly repetitive or a lack of variety in the monsters arrayed against his heroes. Orcs were tools of menace, and Tolkien wasn't even particularly interested in explaining their origins or genealogies.

Has anyone read Sade's Journey to Italy?
3 replies and 1 image omitted. Click here to view.
>>
>>25089191
Don't forget to get Stendhal's to complete your collection. Seems like people loved Journeying to Italy
>>
>>25089491
I still love journeying to Italy. If I could snap my fingers and be in Florence right now, I would.
>>
It’s on the list, surprised someone else mentioned it. I also recommend the collection of prison letters, they do a good job not humanizing him exactly, but at least add some worth to his literary output, since there seemed to be a brain behind it, quite an interesting one.
>>
>>25089467
kek
>>
>>25089471
tell me more anon, never read a word of goethe. what did he get up to when he was in italy

File: tantric-buddhism.jpg (195 KB, 1280x720)
195 KB
195 KB JPG
Literature to become tantra /x/pert?
33 replies and 6 images omitted. Click here to view.
>>
Universal Line, by John Paolucci
>>
File: 1754532651587851.jpg (291 KB, 1604x2048)
291 KB
291 KB JPG
You can learn the general philosophy, but a lot of actual, genuine tantric practices haven't yet been written about or may never be written about. It really is a case of finding an authentic lineage and learning from someone, whether thats Shaivism or Tibetan Buddhism/Vajrayana.
I completed a round of Ngondro, and got pointing out instructions in basic Dozgchen teachings (trekcho and thogal) and also got introduced to some elements of Mahamudra (there are a lot of different Mahamudra practices, a lot) and I originally started out trying to learn on my own, which in retrospect was a complete waste of time. Save yourself the pain and just find a legitimate teacher.

I don't practice it anymore because I had increasing questions about the validity and truth of it all which undercut my practice severely, but it does seem to genuinely improve a lot of people's lives in a significant way.

>>25090196
>>25090199
There are PLENTY of legitimate critiques of Tibetan Buddhism, but you hit almost none of them and just made some shit up because you seem very pissed for some reason.

A lot of the philosophy for example is definitely influenced by general tantrism from India and Nalanda, but most of the major practices can actually have their influence traced back to interactions with China and the silk road. Take Dzogchen for example. Tibetans all believe it originated in India, and will deny this, but the Dunhuang manuscripts make it pretty clear that Dzogchen is a syncratized form of Chan (Zen) Buddhism that intermingled with Bon practices. They don't say this exactly, but Chan monks had traveled to and worked with Tibetan Bon shamans prior to anyone from Tibet going to India and bringing teachings back.

Tibetans as a whole were quite prideful about their interactions with Chan Monks before Buddhism became a state religion, and originally claim they kicked out Chan Buddhists, but the manuscripts prove the opposite in reality, showing that chan buddhism stuck around for a while
>>
>>25090280
>The idea that one can achieve the same realization by attending a Western meditation center ignores the structural role of tantric initiation. In Vajrayana contexts, empowerment is not symbolic decoration. It establishes the practitioner’s relationship to the yidam, the mandala, and the teacher, and it authorizes engagement with specific methods. In both Mahamudra and Dzogchen, realization is supported by vows, samaya commitments, and specific contemplative frameworks. To strip away empowerment and instruction while claiming the same result is like claiming surgical competence after watching a few instructional videos. The outer similarity of tools does not confer mastery of the discipline.
Bro, it's just an excuse to provide cheap (free) labour for the monestry to function as an economic unit, and to provide human networks for the procurement (think sisters, daughters, wives) of women to satisfy the sexual interests of the masters. Sex and Violence in Tibetan Buddhism: The Rise and Fall of Sogyal Rinpoche is an excellent case example of the actual practice of master-student relationship, ow the enterprise of teaching is actually conducted, and how dogma is the handmaiden of an exploitative model that rests on threats of magic curses and reincarnation in hell-worlds if the sexual appetite of the master is not satiated.
>>
>>25090452
> Bro, it's just an excuse to provide cheap (free) labour for the monestry to function as an economic unit, and to provide human networks for the procurement (think sisters, daughters, wives) of women to satisfy the sexual interests of the masters
That’s an immensely foolish thing to say and it isn’t even superficially plausible. For starters, Tibetan large monasteries often owned serfs or peasants who farmed for them and so they didnt need monks for that, they also employed local peasants as workers on the temple or monastery grounds, the schedule of monks prioritized study, prayer, debate, meditation etc with some basic duties to help maintain the monastery being squeezed in as an afterthought. And sexual tantric practices were the rare exception and not the rule, and the heads of religious institutions were under greater scrutiny and expected to uphold greater moral standards as a result. Moreover, the same importance of the guru-student relation is emphasized to the same degree even when Tibetan lineages are active in the west and initiating western students but without asking for any labor in exchange.

> The Rise and Fall of Sogyal Rinpoche is an excellent case example of the actual practice of master-student relationship
The opposite is true, that’s not typical at all but his abuse occurred during his interactions with western students and touring the west as some kind of quasi spiritual celebrity. In a traditional monastic centers authorities are held to certain standards and their teachings and interactions are expected to follow a certain structure. There are still instances of abusive behavior that occurs in traditional temples and monastic centers but the example of Sogyal was atypical and does not reflect the norms of Tibetan temples today or in the pre-modern era. What facilitated his abusive behaviors was being surrounded by clueless westerners who, compared to monks in traditional Tibetan centers, had much less understanding of the proper boundaries and expectations and what clear transgressions would be.

I can’t tell if you are just very ignorant and confused or if you are arguing in bad faith.
>>
Nothing Buddhist is genuine

I want forbidden books that reveal the secrets of the universe. I don't want books anyone has access to, such as some ghostwritten memoir on some politician's life written at a 1st grade level.
2 replies omitted. Click here to view.
>>
>>25089533
it's a man. 6'1 man.
>>25089453
you can't understand the secrets of the universe
>>
>>25089453
there is no secret knowledge, there is specially no secret knowledge waiting specifically for you to find it out.
>>
>>25089453
Read "Analysis and Assessment of Gateway Process"
Not necessarily a book but it's probably as close as you can get to "revealing the secrets of the universe"
>>
>>25089453
There’s no such thing, everything important is commonly available and known to the extent it can be
>>
>>25089723
And that is why people don't read. Anything that is commonly available is devalued in our minds.

File: G_cHtkIakAEWn7K.jpg (418 KB, 1536x2048)
418 KB
418 KB JPG
Ἀχαιῶν δερκόμεν' ὄσσε edition

>τὸ πρότερον νῆμα·
>>25006897

>Μέγα τὸ Ἑλληνιστί/Ῥωμαϊστί·
https://mega dot nz/folder/FHdXFZ4A#mWgaKv4SeG-2Rx7iMZ6EKw

>Mέγα τὸ ANE·
https://mega dot nz/folder/YfsmFRxA#pz58Q6aTDkwn9Ot6G68NRg

>Work in progress FAQ
https://rentry dot co/n8nrko

All Classical languages are welcome.
202 replies and 30 images omitted. Click here to view.
>>
>>25064706
Καλός
>>
Is there any text that talks about Athena having a shield? Does both her shiled and the Aegis feature the gorgon (?)
>>
>>25090336
>gorgon
this is the only specific text I can recall about it (paragraph 73)
71 Minerva apud Graecos Ἀθήνη dicitur, id est, femina. Apud Latinos autem Minervam vocatam quasi deam et munus artium variarum. Hanc enim inventricem multorum ingeniorum perhibent, et inde eam artem et rationem interpretantur, quia sine ratione nihil potest contineri. 72 Quae ratio, quia ex solo animo nascitur, animumque putant esse in capite et cerebro, ideo eam dicunt de capite Iovis esse natam, quia sensus sapientis, qui invenit omnia, in capite est. 73 In cuius pectore ideo caput Gorgonis fingitur, quod illic est omnis prudentia, quae confundit alios, et inperitos ac saxeos conprobat: quod et in antiquis Imperatorum statuis cernimus in medio pectore loricae, propter insinuandam sapientiam et virtutem.
liber VIII etymologiarum Isidori
>>
>>25090461
>paragraph
I mean line
>>
>>25090336
Apollodorus mentions it
>Having appointed Dictys king of Seriphus, he gave back the sandals and the wallet (kibisis) and the cap to Hermes, but the Gorgon's head he gave to Athena. Hermes restored the aforesaid things to the nymphs and Athena inserted the Gorgon's head in the middle of her shield.

File: 1761761046452153.jpg (123 KB, 1280x959)
123 KB
123 KB JPG
How do you reconcile philosophy with evolution?
9 replies omitted. Click here to view.
>>
>>25089995
this has never been a problem since the days of the ancient greeks
>>
>>25089995
what's there to reconcyle? The randomess of natural selection is already implied in early Greek atomistic system, and its entirely coherent with most materialist and nominalist philosophical systems.
I have read both the Origins of the Species and Voyage of the Beagle, and both are highly philosophical books - the second is also especially well written, so I'd recommend them to anyone. I do not see where do you imagine a contrast between evolution and philosophy - except for the fact that you have not read any philosophy or any text on evolution.
>>
>>25089995
You don't reconcile them as if they're rivals. They operate at different levels.
>>
>>25089995
There is no evolutionary explanation for consciousness, libtard.
>>
>>25090117
>The randomess of natural selection is already implied in early Greek atomistic system
Greek atomism is false you braindead NPC.

File: intlaw.jpg (84 KB, 1000x563)
84 KB
84 KB JPG
Best works on international law?
3 replies omitted. Click here to view.
>>
>>25089445
de civitate dei
>>
>>25089569
America Just used International Law to legally arrest Maduro. Try Again.
>>
>>25089839
Based and informed effortpost.
Listen to this guy OP, international law doesn't reflect the situation on the ground, Blumpf literally ordered the kidnapping of a head of state at the beginning of this year and yet he hasn't gone to trial for what is clearly a terrorist act. The rules based order is a sham, laws are arbitrarily applied on certain countries while others who break them go unpunished.
>>
>>25089569
Law and power are two sides of the same coin. Or perhaps more precisely, law is an opinion that you can't disagree with without consequences due to it being backed by power. As long as a hegemon has the might to enforce its opinions as normative rule outside of its borders...who's to say that there can be no such thing as international law? Power is international insofar that one is able to project it, and therefore so must be law.
>>
>>25089839
>>25089868
Thanks even though this is for a greater project

There are some strange summer mornings in the country, when he who is but a sojourner from the city shall early walk forth into the fields, and be wonder-smitten with the trance-like aspect of the green and golden world. Not a flower stirs; the trees forget to wave; the grass itself seems to have ceased to grow; and all Nature, as if suddenly become conscious of her own profound mystery, and feeling no refuge from it but silence, sinks into this wonderful and indescribable repose.
15 replies and 1 image omitted. Click here to view.
>>
File: GqCfm4eaIAA-05O.jpg (17 KB, 300x257)
17 KB
17 KB JPG
>>25087234
>>
File: G3dxr7EXoAAuDYY.jpg (25 KB, 765x547)
25 KB
25 KB JPG
Magnus es, Domine, et laudabilis valde.

the most chad of all
>>
>>25085113
>In the beginning the universe was created.
>This has made a lot of people very angry and has been widely regarded as a bad move.
>>
File: dgfyj.jpg (8 KB, 273x184)
8 KB
8 KB JPG
STATELY
>>
>>25085113
I don't feel like going and finding the book and typing it in but the opening to Wild Seed by Octavia Butler has always stood out in my mind.
It takes place in a fascinating pov (a millenia old immortal body changer sociopath slave breeder) and quickly ramps up the weirdness. He is very casual about dying, his plans unfold across generations.
Within like 2 pages this bro is my ride or die pov and I'm going to read anything from it.

File: 1712867152708446.jpg (390 KB, 1080x1779)
390 KB
390 KB JPG
Blood Meridian is about the horrors of white supremacy and American imperialism
183 replies and 17 images omitted. Click here to view.
>>
>>25087397
Right. And it is the most basic mammalian instinct for every group to see their group predominate. Let's just be honest. The question is really just the details. Just because of this, doesn't mean total outgroup genocide or anything. We can be civilized about it.
>>
>>25082674
>>25087342
Whites were the worse party, they were the aggressors and invaders. They also had absolutely no interest in cohabiting with the Indians, instead viewing them as pests who were in the way - needing to be exterminated or driven out.
>>
>>25082221
FATALITY. They literally have no counter argument about this. And keep in mind these are the same people who want to ban pitbulls because a tiny little fraction of kids will get mauled, but they then want you to think of them as these badasses who face the "real world".
>>
>>25089499
It's so dumb and wrong it's not even in missile range.
First of all, Republicans! = chuds. You are conflating the two
Second of all the idea of engineering violence or human nature out of the population is absolutely a left wing idea. ie New Soviet Man
>>
>>25081680
The Judge was the American Spirit and Glanton was the Spirit of the Frontier. The two met up and danced together, but in the end only the Judge remained. Then the Judge killed the Kid (who is the placeholder for the reader) so that there were no witnesses left to what happened. How many people today know what life was like at the frontier? Not that many. Because if there are no witnesses, it did not happen.

File: IMG_0360.jpg (53 KB, 649x1000)
53 KB
53 KB JPG
No it’s not difficult
No it’s not a meme
No it’s not pretentious
It’s FUN.
It’s probably the most through and through entertaining work of fiction there is. How many years will have to pass before this book can be discussed normally?
78 replies and 6 images omitted. Click here to view.
>>
>>25089625
That was Pemulis and he never told Hal about it
>>
>>25089077
>One question I had, how did Hal know that John Wayne was smashing his mom?
a priori but more realistically because
>>25089625
Pemulis witnessed it. We get a moment where an expelled Pemulis (maybe) wants to tell Hal but doesn't in the scene, but then Hal seems to know it later on anyway. So it's either become common knowledge or was already common knowledge or the person who has the not-so-common knowledge is of no consequence (a now expelled Boston street trash of a low class). There would be nothing stopping Pemulis from telling anyone he wanted to, though, immediately after realizing that knowing that didn't stop his expulsion, so it's probably safe to say that he did that on some level.
>>
Also, you have to know that Avril knows that the school's about to be inundated by murderous wheelchaired terrorists. She can absolutely fuck a co-conspirator terrorist without consequence, because any twerpy ETA who hears the rumor is just going to get slaughtered anyway - and she knows this.
>>
>>25088916
I don't play video games and I've read 15 books so far in 2026. How many books have you read? 0? Just IJ? there are better (and harder) books out there, thread spammer.
>>
>>25088916
bait, do not entry

File: art.jpg (114 KB, 1000x977)
114 KB
114 KB JPG
This is a group for the Great Course on art. You can find the coursebook on Anna's Archive but I will also be posting each lecture's pages each week in the thread. You can access all the videos for the course through Kanopy if you are an American and have a library card but I will also post a link for video for each lecture for those who cannot access Kanopy. There are 36 lectures in the course and we are going at a rate of one lecture per week in order to keep it relaxing make it easy for people to catch up who fall behind.

Pages and video to follow
188 replies and 26 images omitted. Click here to view.
>>
>>25090297
But 99% hardly says anything about me and what that is would be highly speculative and subjective for anyone who hadn't made quite a study of me
>>
>>25090302
If someone is any good of a writer at all, it will come out of them willy nilly. Novels teach you about the author - his own weaknesses and follies - and, since you must know that no failings are unique, you may be helped to acquire tolerance for them in others. If a novel comes off at all, the reader will accompany the writer in some parallel process of self-discovery.
>>
>>25090400
Writing takes a lot of practice and novels are only a chronologically brief portion of the history of writing.

What did you learn about Nabokov from reading Lolita? What did you learn about Bram Stocker from reading Dracula?
>>
>>25090424
>What did you learn about Nabokov
Don’t rate him
>Bram Stocker[sic]
He hated Henry Irving lol
>>
>>25090435
So nothing


[Advertise on 4chan]

Delete Post: [File Only] Style:
[1] [2] [3] [4] [5] [6] [7] [8] [9] [10]
[1] [2] [3] [4] [5] [6] [7] [8] [9] [10]
[Disable Mobile View / Use Desktop Site]

[Enable Mobile View / Use Mobile Site]

All trademarks and copyrights on this page are owned by their respective parties. Images uploaded are the responsibility of the Poster. Comments are owned by the Poster.